Logo

American Heart Association

  182
  0


Final ID: P-371

Prevalence, Timing, and Location of Falls in an Older Population with Treated Hypertension

Abstract Body: Background: Falls are common among older adults and predict subsequent morbidity and mortality. There is a dearth of knowledge about the timing and location of falls in community-based populations of older adults.

Methods: We identified members of Kaiser Permanente Southern California aged ≥65 years diagnosed with hypertension enrolled in the AMBulatoRy blOod preSsure In older Adults (AMBROSIA) study. Demographic and clinical characteristics were obtained from electronic health records while self-administered surveys captured social history and presence of functional impairment. Participants submitted 12 monthly falls calendars recording the time and location of each fall, and whether the fall resulted in medical care. Fisher’s exact test was used to compare participant characteristics between those who reported a fall vs. no fall.

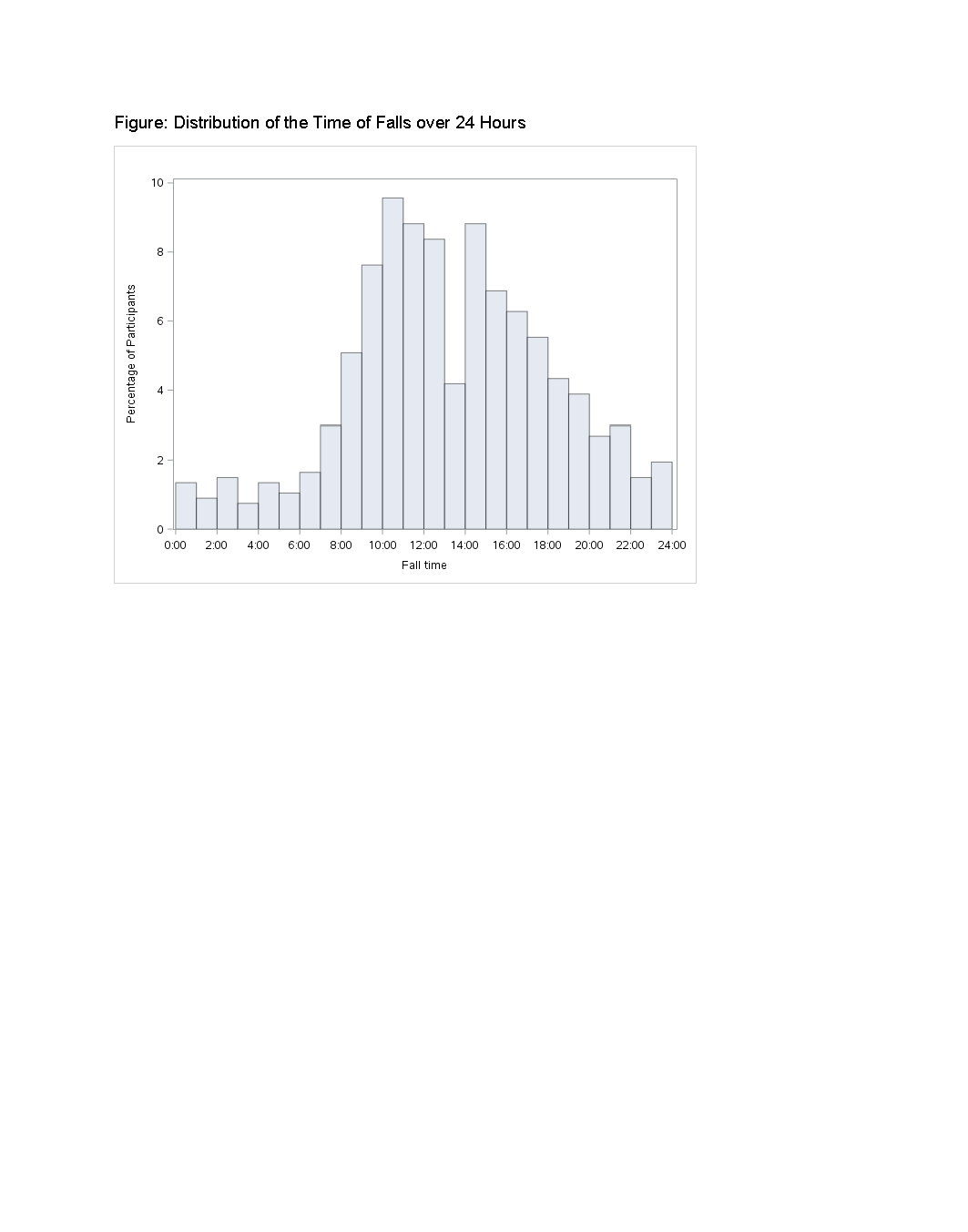
Results: We included 632 participants (mean age 74.6 years [range 65-95]; 57% female; 44% non-Hispanic White, 23% non-Hispanic Black, 18% Hispanic, and 13% Asian/Pacific Islander). Overall, 240 participants (38%) reported 680 falls during follow-up with 9% of falls requiring medical care. Those who reported a fall were older, more likely to be White, have a history of self-reported falls, have consumed alcoholic beverages in the past year and have ≥1 functional impairment (all p-values <.05) compared to those who reported no falls. Over a 24-hour period, 41%, 35%, and 24% of the falls occurred between 6am-12pm, 12pm-6pm, and 6pm-6am, respectively. Further, 59% of falls occurred at an indoor location.

Conclusion: Falls among community-dwelling, older adults with hypertension were common with few requiring medical care. Although most falls occurred during daytime hours, approximately one fourth occurred during nighttime hours. Further, the majority of falls occurred at an indoor location. Providers should be informed that many falls occur among older adults without presentation to a healthcare facility, and strategies should include prevention of falls indoors and during the daytime.
  • Harrison, Teresa  ( Kaiser Permanente So. California , Pasadena , California , United States )
  • Reynolds, Kristi  ( Kaiser Permanente So. California , Pasadena , California , United States )
  • Wei, Rong  ( Kaiser Permanente So. California , Pasadena , California , United States )
  • Cannavale, Kimberly  ( Kaiser Permanente So. California , Pasadena , California , United States )
  • Qian, Lei  ( Kaiser Permanente So. California , Pasadena , California , United States )
  • Perez, Rossy  ( Kaiser Permanente So. California , Pasadena , California , United States )
  • Calderon, Raul  ( Kaiser Permanente So. California , Pasadena , California , United States )
  • Shimbo, Daichi  ( Columbia University , New York , New York , United States )
  • Schwartz, Joseph  ( Stony Brook University , New York , New York , United States )
  • Bowling, Barrett  ( Duke University , Durham , North Carolina , United States )
  • Author Disclosures:
    Teresa Harrison: DO NOT have relevant financial relationships | Kristi Reynolds: DO have relevant financial relationships ; Research Funding (PI or named investigator):Merck & Co:Past (completed) | Rong Wei: DO NOT have relevant financial relationships | Kimberly Cannavale: DO NOT have relevant financial relationships | Lei Qian: DO have relevant financial relationships ; Research Funding (PI or named investigator):GlaxoSmithKline (unrelated to this study):Active (exists now) ; Research Funding (PI or named investigator):AstraZeneca (unrelated to this study):Active (exists now) ; Research Funding (PI or named investigator):Moderna (unrelated to this study):Active (exists now) | Rossy Perez: No Answer | Raul Calderon: DO NOT have relevant financial relationships | Daichi Shimbo: DO NOT have relevant financial relationships | Joseph Schwartz: No Answer | Barrett Bowling: No Answer
Meeting Info:
Session Info:

Poster Session 2

Friday, 09/06/2024 , 09:00AM - 10:30AM

Poster Session

More abstracts on this topic:
2 Dimensional Echocardiography versus 3 Dimentional Echocardiography to Assess Right Ventricular Function in Pulmonary Hypertension: A Systematic Review

Chaudhry Waleed Razzaq, Hajj Fatima, Bathula Satyamedha, Meghji Mohammed Askari, Pasupuleti Hemalatha, Kiyani Madiha, Shah Syeda Simrah, Neelakantan Ramaswamy Sanathanan, Mirzaeidizaji Nakisa, St. Jacques Jahnoy, Khan Khalil Ullah, Veluchamy Elakkiya, Jesse Joshanna

A machine learning model for individualized risk prediction of ischemic heart disease in people with hypertension in Thailand

Sakboonyarat Boonsub, Poovieng Jaturon, Rangsin Ram

More abstracts from these authors:
Association Between Postprandial Hypotension Determined by Ambulatory Blood Pressure Monitoring and Falls Among Older Adults with Hypertension Who Are Taking Antihypertensive Medication: Results from the AMBROSIA Study

Narita Keisuke, Schwartz Joseph, Sim John, Shimbo Daichi, Reynolds Kristi, Wei Rong, Harrison Teresa, Cannavale Kimberly, Qian Lei, Bowling Barrett, Fang Chloe, Muntner Paul

Home Blood Pressure Monitoring and Risk of Falls in Older Adults with Hypertension: the AMBROSIA-HOME Cohort Study

Poudel Bharat, Bowling Barrett, Levitan Emily, Shimbo Daichi, Schwartz Joseph, Reynolds Kristi, Wang Zhixin, Harrison Teresa, Cannavale Kimberly, Wei Rong, Muntner Paul

You have to be authorized to contact abstract author. Please, Login
Not Available