Logo

American Heart Association

  12
  0


Final ID: TH821

Risk of All-cause and Cause-specific Mortality among Subtypes of Newly Diagnosed Type 2 Diabetes in a Nationally Representative Sample

Abstract Body: Introduction: Type 2 diabetes (T2D) is a heterogeneous condition. Prior studies suggest short-term differences in rates of microvascular and cardiovascular complications by T2D subtype, but the associations of T2D subtypes with mortality are less understood. Our objective is to assess all-cause and cause-specific mortality across adult subtypes of T2D in a nationally representative sample of U.S. adults.
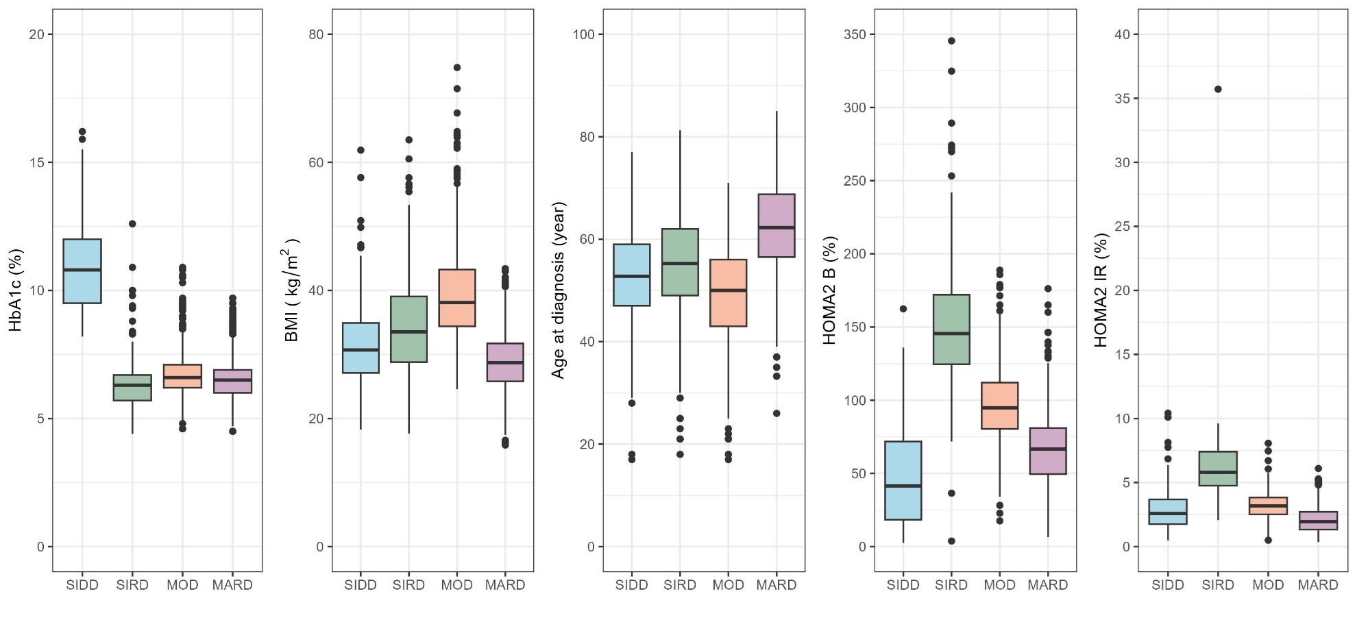
Methods: Data from 2,440 adults with newly diagnosed T2D (duration ≤1 year) and 26,281 adults (aged ≥40 years) without diabetes in the National Health and Nutrition Examination Survey, 1999–2018 were linked to the National Death Index. Four subtypes of T2D were defined using k-means clustering of age, BMI, HbA1c, HOMA2-%B, and HOMA2-IR): Severe Insulin Deficient Diabetes (SIDD), Severe Insulin Resistant Diabetes (SIRD), Mild Obesity-related Diabetes (MOD), and Mild Age-related Diabetes (MARD). Cox Proportional Hazards regressions were used to study rates of all-cause and cause-specific mortality (cardiovascular, cancer, and other), adjusting for socio-demographic and clinical covariates.
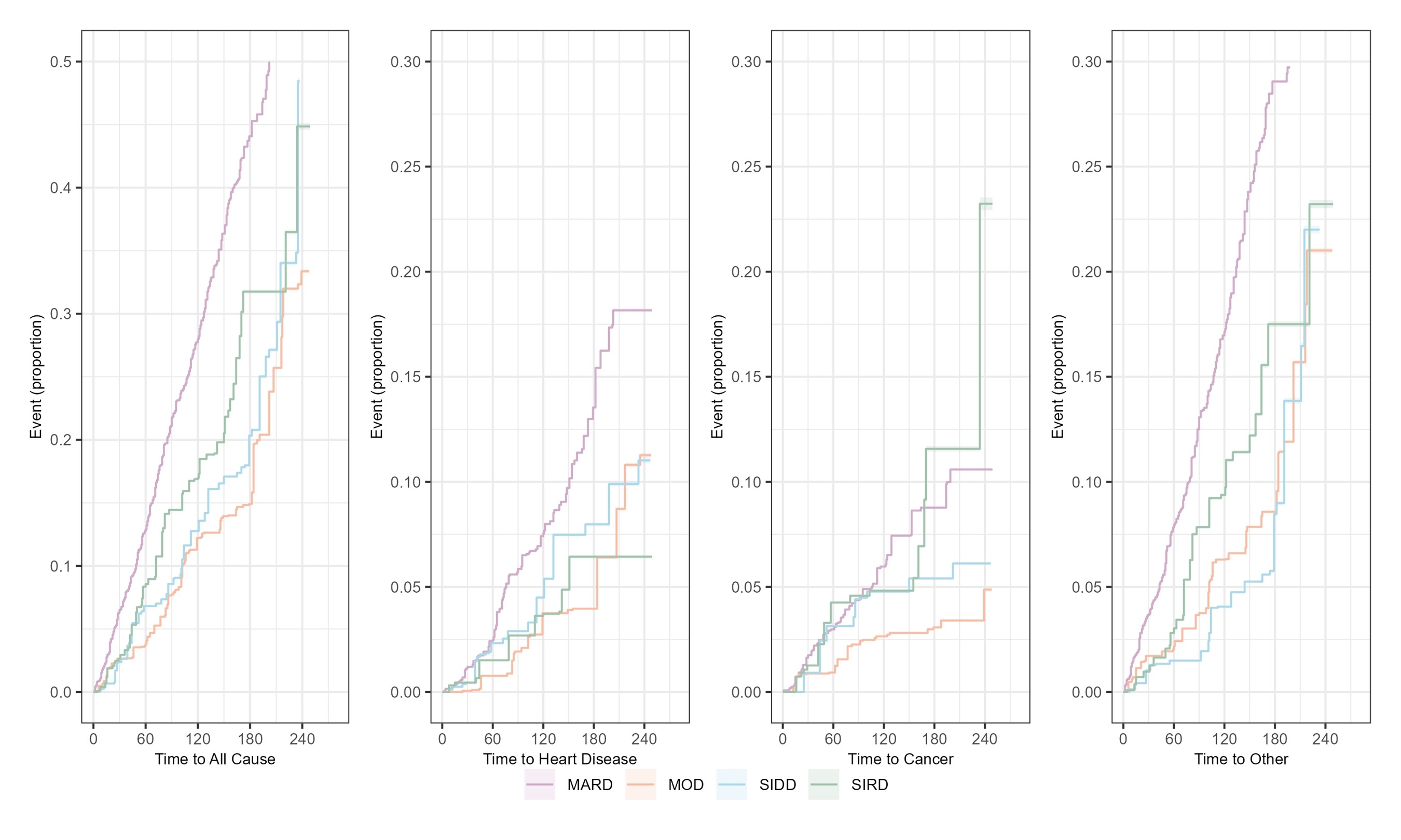
Results: Among the analytic sample, 52.5% were classified as MARD, 25.5% as MOD, 10.6% as SIDD, and 11.4% as SIRD (Figure 1). Relative to other subtypes, MARD was associated with the highest crude rates of mortality. Compared to those without diabetes, all subtypes had higher relative hazards of mortality (MARD: 1.66 [95% CI: 1.45-1.90], MOD: 2.51 [95% CI: 1.96-3.21], SIDD: 1.94 [95% CI: 1.39-2.71], SIRD: 1.64 [95% CI: 1.19-2.25]) after adjusting for covariates (Figure 2). However, there were no significant differences in all-cause or cause-specific mortality between subtypes (Figure 3).
Conclusions: Although all T2D subtypes had higher hazards of mortality than those without T2D, they did not differ in rates of all-cause or cause-specific mortality despite substantial clinical differences.
  • Varghese, Jithin Sam  ( Emory University , Atlanta , Georgia , United States )
  • Author Disclosures:
Meeting Info:

EPI-Lifestyle Scientific Sessions 2026

2026

Boston, Massachusetts

Session Info:

Poster Session 3

Thursday, 03/19/2026 , 05:00PM - 07:00PM

Poster Session

More abstracts on this topic:
Antisense Oligonucleotide Treatment of Calmodulinopathy

Bortolin Raul, Yoshinaga Daisuke, Pavlaki Nikoleta, Cavazzoni Cecilia B., T. Sage Peter, D. Whitehill Robert, Abrams Dominic, Carreon Chrystalle, Putra Juan, Alexandrescu Sanda, Guo Shuai, Nawar Farina, Tsai Owen, Rubart Michael, Kubli Dieter, Mullick Adam, Bezzerides Vassilios, Pu William, Trembley Michael, Prondzynski Maksymilian, Sweat Mason, Wang Peizhe, Chaehyoung Park, Lu Fujian, Keating Erin

3D Chromatin Architectures and Transcription Regulation in Diabetic Endothelial Dysfunction

Feng Yuliang, Cai Liuyang, Wang Yigang, Huang Wei, Jiang Lei

More abstracts from these authors:
Risk of Atherosclerotic Cardiovascular Disease and Heart Failure by Type 2 Diabetes Subtypes

Varghese Jithin Sam, Li Zhongyu, Soniwala Aamna, Ali Mohammed

You have to be authorized to contact abstract author. Please, Login
Not Available