Logo

American Heart Association

  122
  0


Final ID: 076

Risk of Atherosclerotic Cardiovascular Disease and Heart Failure by Type 2 Diabetes Subtypes

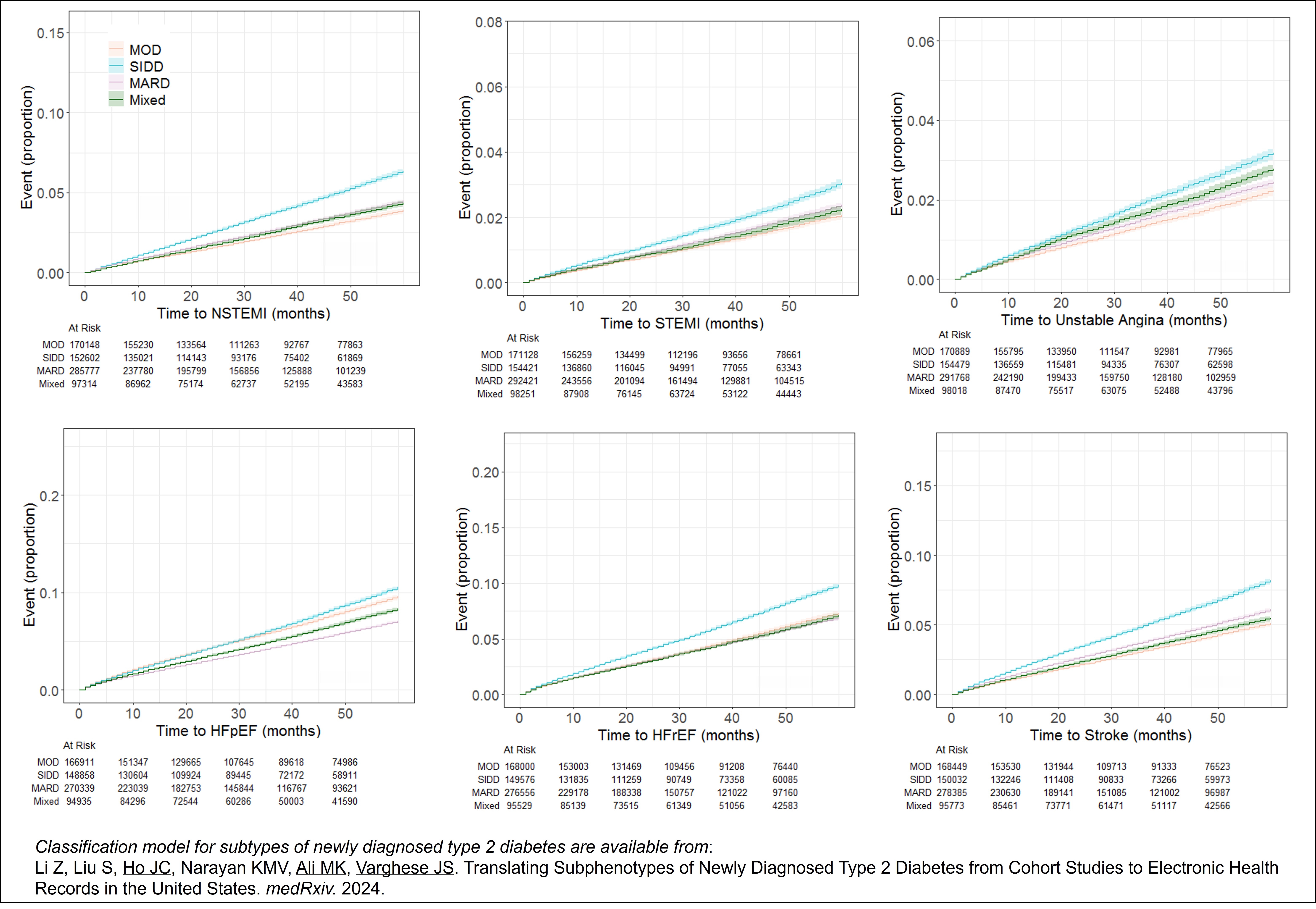
Abstract Body: Introduction: Type 2 diabetes (T2D) appears to have subtypes with different trajectories of health. Compared to the mild obesity-related (MOD) and mild age-related (MARD) subtypes, the severe insulin-deficient (SIDD) subtype has higher HbA1c, reduced beta-cell function, younger age at diagnosis, and is consistently associated with a higher risk of diabetic retinopathy and neuropathy. However, little is known about the heterogeneity in risk for types of atherosclerotic cardiovascular disease (ASCVD) and heart failure (HF) by T2D subtype (Figure 1).

Methods: To describe the risks of ASCVD and HF by T2D subtypes, we analyzed electronic health records (EHRs) of newly diagnosed T2D from USA (2012-2023), defined using the SUPREME-DM phenotype, in the Epic Cosmos Research Platform (n = 727,076; 64.4 years [SD:13.3] and 52% female). Using previously validated models to identify subtypes in EHRs (AUC: 0.81-0.99, F1 score: 0.87-0.90), we classified T2D cases as SIDD (21.6%), MOD (23.8%), MARD (40.9%), and Mixed (13.7%). Six outcomes were defined using ICD-10-CM codes within five years after T2D diagnosis and included: severe ASCVD (non-ST [NSTEMI] and ST [STEMI] elevation myocardial infarction, unstable angina, stroke) and Heart Failure (preserved [HFpEF] and reduced [HFrEF] ejection fraction). We reported hazard ratios [HR] from Cox Proportional Hazards models adjusting for age, sex, and medications (statin, ACE/ARB, beta blockers).

Results: Compared to MOD, SIDD was associated with higher hazards of NSTEMI (HR,1.68 [95%CI,1.61-1.75]), STEMI (HR, 1.48 [95%CI,1.40-1.56]), unstable angina (HR,1.41 [95%CI,1.34-1.48]), stroke (HR, 1.62 [95%CI,1.57-1.68]), HFrEF (HR, 1.36 [95%CI,1.32-1.41]) and HFpEF (HR, 1.10 [95%CI,1.07-1.13]) (Figure 2). MARD had elevated hazards for NSTEMI (HR, 1.16 [95%CI,1.11-1.21]), STEMI (HR, 1.13 [95%CI,1.07-1.21]), stroke (HR, 1.20 [95%CI,1.16-1.25]) and angina [HR,1.07 [95%CI,1.01-1.13]), but lower hazards of HFpEF (HR, 0.72 [95%CI, 0.70-0.74]) and HFrEF (HR, 0.94 [95%CI, 0.91-0.97]) relative to MOD. The Mixed subtype had hazards similar to MARD for all outcomes.

Conclusions: SIDD was associated with the highest risk of cardiovascular complications, relative to milder subtypes. These findings highlight the need to evaluate targeted prevention and treatment strategies tailored to this high-risk T2D subtype to reduce the burden of cardiovascular disease.
  • Varghese, Jithin Sam  ( Emory University , Atlanta , Georgia , United States )
  • Li, Zhongyu  ( Emory University , Atlanta , Georgia , United States )
  • Soniwala, Aamna  ( Emory University , Atlanta , Georgia , United States )
  • Ali, Mohammed  ( Emory University , Atlanta , Georgia , United States )
  • Author Disclosures:
    Jithin Sam Varghese: DO NOT have relevant financial relationships | Zhongyu Li: No Answer | Aamna Soniwala: DO NOT have relevant financial relationships | Mohammed Ali: DO NOT have relevant financial relationships
Meeting Info:
Session Info:

11.B Diabetes

Sunday, 03/09/2025 , 01:30PM - 03:00PM

Oral Abstract Session

More abstracts on this topic:
Accuracy of Rule-based Natural Language Processing Models for Identification of Pulmonary Embolism

Rashedi Sina, Jimenez David, Monreal Manuel, Secemsky Eric, Klok Erik, Hunsaker Andetta, Aghayev Ayaz, Muriel Alfonso, Hussain Mohamad, Appah-sampong Abena, Aneja Sanjay, Krishnathasan Darsiya, Mojibian Hamid, Goldhaber Samuel, Wang Liqin, Zhou Li, Krumholz Harlan, Piazza Gregory, Bikdeli Behnood, Khairani Candrika, Bejjani Antoine, Lo Ying-chih, Zarghami Mehrdad, Mahajan Shiwani, Caraballo Cesar, Jimenez Ceja Jose Victor

A Cross-scale Causal Machine Learning Framework Pinpoints Mgl2+ Macrophage Orchestrators of Balanced Arterial Growth

Han Jonghyeuk, Kong Dasom, Schwarz Erica, Takaesu Felipe, Humphrey Jay, Park Hyun-ji, Davis Michael E

More abstracts from these authors:
Metabolic Measures and Incident Cardiovascular Disease and Mortality: A Pooled Analysis of Multi-ethnic NHLBI Cohorts

Oguntade Ayodipupo, Varghese Jithin Sam, Carrillo-larco Rodrigo, Ali Mohammed, Narayan K

You have to be authorized to contact abstract author. Please, Login
Not Available