Logo

American Heart Association

  27
  0


Final ID: WE540

Associations of Accelerometer-derived Physical Activity with Chronic Kidney Disease Risk in Hypertensive Population: A Prospective Cohort Study

Abstract Body: Background:
Hypertension is a key risk factor for chronic kidney disease (CKD), but evidence on whether physical activity (PA) reduces CKD risk in hypertensive patients remains limited. This study investigates the association between PA intensity and CKD prevention in this high-risk group.
Method:
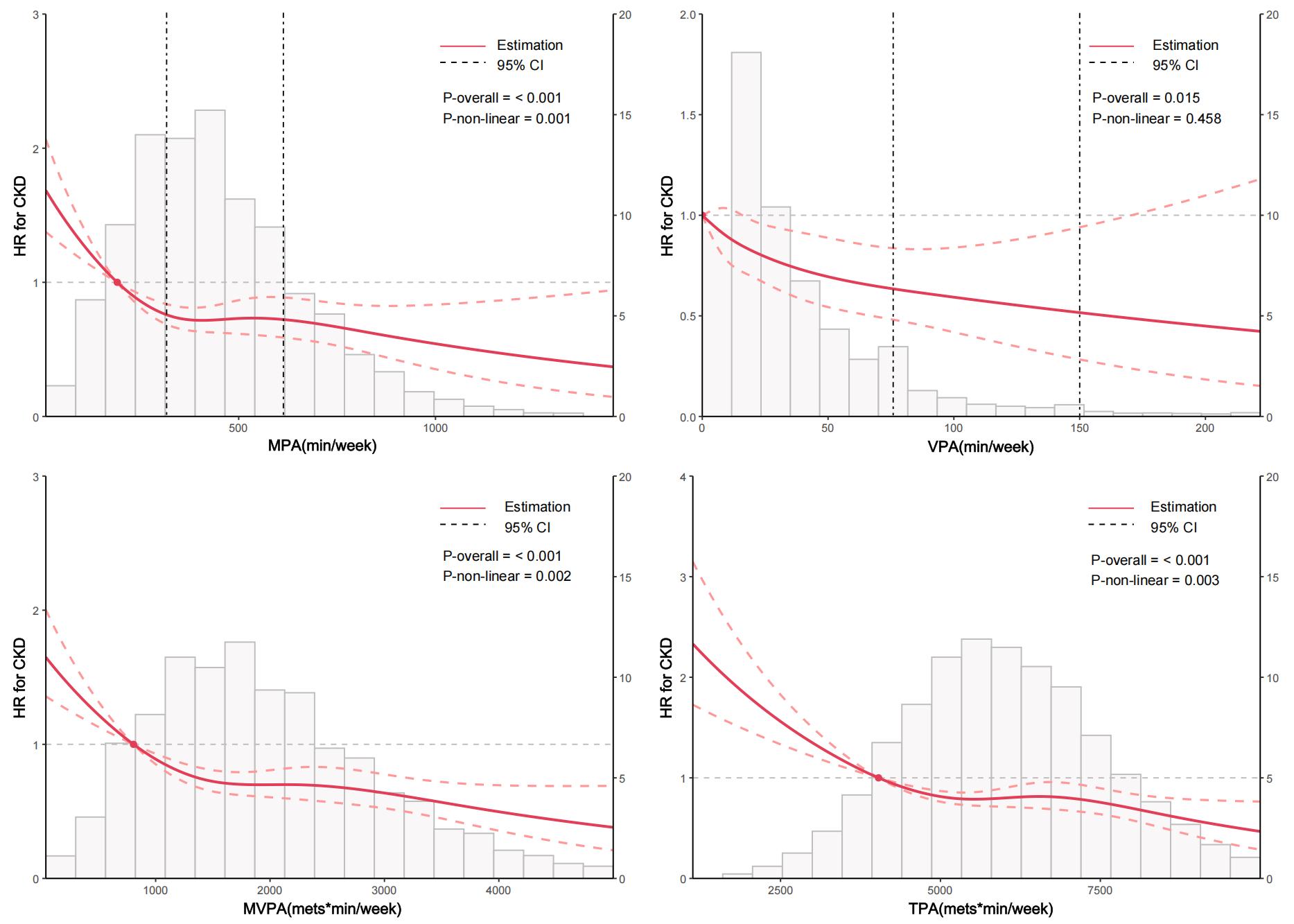
This prospective cohort study analyzed 37,908 hypertensive participants from the UK Biobank without pre-existing chronic kidney disease (CKD) who underwent accelerometer-based physical activity (PA) monitoring between 2013 and 2015. PA was classified into light (LPA), moderate (MPA), and vigorous (VPA) intensities, with weekly duration calculated for each. CKD incidents were determined via hospital admissions and death records. Polygenetic risk scores were used to evaluate genetic susceptibility. Cox proportional hazards models and restricted cubic splines were applied to examine associations between PA levels and CKD, adjusting for socioeconomic status, comorbidities, and genetic risk.
Result
During the median follow-up period of 7.71 years, 1,131 participants (2.98%) developed CKD. Our results indicate that the higher the metabolic equivalent of the weekly moderate-to-vigorous physical activity (MVPA), the lower the risk of CKD (the highest quartile vs the lowest quartile, Hazard Ratio 0.62, 95% Confidence Interval 0.50-0.77). It is notable that hypertensive patients with more than WHO recommended duration of MPA (>300 min/week) reduced about 65% risk of developing CKD, compared with those with the lowest active group (MPA<150 min/week and VPA<75 min/week), but no further benefits with VPA more than 150 minutes a week. LPA alone showed no preventive effect on CKD risk.
Conclusion:
More MPA duration than now recommendation could benefits more for hypertensive population, but recommended VPA is enough.
  • Wu, Hongguang  ( Guangdong Provincial People’s Hospital (Guangdong Academy of Medical Sciences), Southern Medical University , Guangzhou , China )
  • Li, Xiaoyan  ( Guangdong Provincial People’s Hospital (Guangdong Academy of Medical Sciences), Southern Medical University , Guangzhou , China )
  • Hu, Juda  ( Guangdong Provincial People’s Hospital (Guangdong Academy of Medical Sciences), Southern Medical University , Guangzhou , China )
  • Li, Peiyao  ( Guangdong Provincial People’s Hospital (Guangdong Academy of Medical Sciences), Southern Medical University , Guangzhou , China )
  • Luo, Songyuan  ( Guangdong Cardiovascular Institute , Guangzhou , China )
  • Dong, Haojian  ( Guangdong Cardiovascular Institute , Guangzhou , China )
  • Yanqiu, Ou  ( Guangdong Provincial People’s Hospital (Guangdong Academy of Medical Sciences), Southern Medical University , Guangzhou , China )
  • Author Disclosures:
Meeting Info:

EPI-Lifestyle Scientific Sessions 2026

2026

Boston, Massachusetts

Session Info:

Poster Session 2

Wednesday, 03/18/2026 , 05:00PM - 07:00PM

Poster Session

More abstracts on this topic:
A major uremic toxin indoxyl sulfate impairs macrophage efferocytosis and accelerates atherogenesis: a potential mechanism for cardiovascular risk in chronic kidney disease

Jha Prabhash, Kasai Taku, Vromman Amelie, Holden Rachel, Libby Peter, Tabas Ira, Singh Sasha, Aikawa Elena, Aikawa Masanori, Lupieri Adrien, Sonawane Abhijeet, Le Thanh-dat, Becker-greene Dakota, Chelvanambi Sarvesh, Turner Mandy, Nakamura Yuto, Passos Livia

A cerebrovascular longitudinal atlas: different rates of morphological change in aneurysm patients associated with hypertension and diabetes

Chien Aichi, Salamon Noriko, Vinuela Fernando, Szeder Viktor, Colby Geoffrey, Jahan Reza, Boyle Noel, Villablanca Juan, Duckwiler Gary

More abstracts from these authors:
You have to be authorized to contact abstract author. Please, Login
Not Available