Logo

American Heart Association

  17
  0


Final ID: MP1254

Association Between Physical Activity Intensity and Chronic Kidney Disease Risk in Hypertension Population: An Accelerometer-Based Study

Abstract Body (Do not enter title and authors here): Background:
Hypertension is closely linked to kidney disease development. However, research on how to prevent chronic kidney disease (CKD) in individuals with hypertension remains limited. This study aims to investigate whether different levels of physical activity (PA) can help reduce CKD risk in this population, thereby providing evidence-based exercise recommendations for hypertension management.
Method:
This study included 54,657 participants with hypertension from the UK Biobank. All participants underwent accelerometer-based physical activity (PA) monitoring between 2013-2015 and had no pre-existing chronic kidney disease (CKD). PA intensities were categorized into light (LPA), moderate (MPA), and vigorous (VPA) physical activity, with weekly minutes calculated for each intensity level. CKD events were identified through hospital admission records and death registries. We calculated polygenic risk scores to assess the influence of genetic susceptibility on CKD development in this hypertensive population. Cox proportional hazards models and restricted cubic splines were employed for analyses, with adjustments for socioeconomic factors and comorbidities.
Result
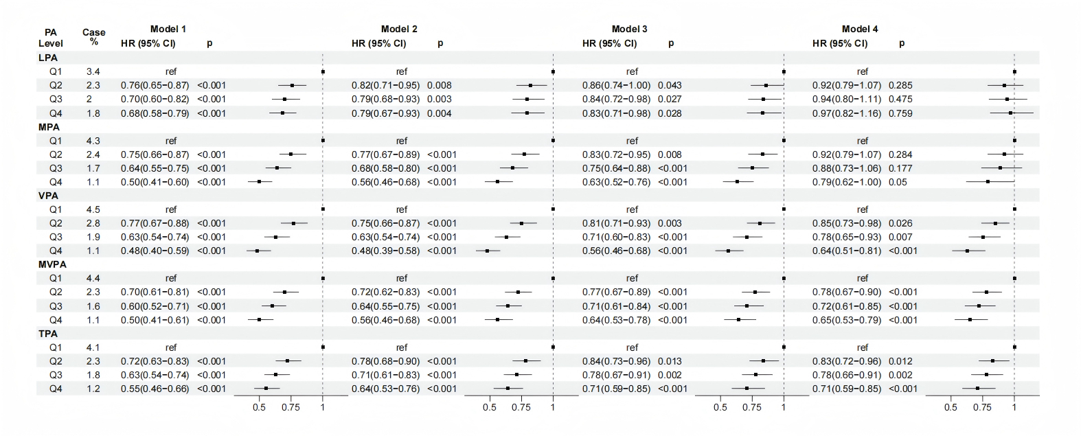
During the median follow-up period of 7.73 years, 1,287 participants (2.4%) developed CKD. Our research results indicate that for individuals with hypertension, increased time spent in LPA alone showed no preventive effect on CKD risk(the highest quartile vs the lowest quartile, HR 0.97, 95% CI 0.82-1.16). In contrast, the higher the metabolic equivalent of the weekly MVPA, the lower the risk of CKD(the highest quartile vs the lowest quartile, HR 0.65, 95% CI 0.53-0.79). It is notable that compared with hypertensive patients with the lowest moderate to vigorous exercise levels, hypertensive patients with MPA≥300 minutes/week and VPA≥150 minutes/week had a significantly reduced risk of CKD (HR 0.44, 95% CI 0.21-0.90). However, increasing the duration of VPA alone to ≥75min/week only offers limited additional benefits.
Conclusion:
Hypertension population benefit most from combined moderate-vigorous PA, while light activity alone shows no protective effect. These findings support tailored exercise guidelines for CKD prevention in high-risk populations.
  • Wu, Hongguang  ( Southern Medical University Affiliated Guangdong Provincial People's Hospital , Guangzhou , Guangdong , China )
  • Hu, Juda  ( Southern Medical University Affiliated Guangdong Provincial People's Hospital , Guangzhou , Guangdong , China )
  • Li, Peiyao  ( Southern Medical University Affiliated Guangdong Provincial People's Hospital , Guangzhou , Guangdong , China )
  • Li, Xiaoyan  ( Southern Medical University Affiliated Guangdong Provincial People's Hospital , Guangzhou , Guangdong , China )
  • Chen, Jing  ( Guangdong Provincial People's Hospital , Guangzhou , Guangdong , China )
  • Yanqiu, Ou  ( Guangdong Provincial People's Hospital , Guangzhou , Guangdong , China )
  • Author Disclosures:
    HONGGUANG WU: DO NOT have relevant financial relationships | Juda Hu: DO NOT have relevant financial relationships | Peiyao Li: No Answer | Xiaoyan Li: No Answer | Jing Chen: No Answer | Ou Yanqiu: DO NOT have relevant financial relationships
Meeting Info:

Scientific Sessions 2025

2025

New Orleans, Louisiana

Session Info:

Change is in the Air! New Discoveries in Hypertension Treatment

Sunday, 11/09/2025 , 09:15AM - 10:25AM

Moderated Digital Poster Session

More abstracts on this topic:
A scoping review comparing individual and multi-level physical activity interventions in rural women in the United States

Wilhite Katrina, Umstattd Meyer M Renee, Barone Gibbs Bethany, Thrower Alexis, Modlin Sarah, Zheng Meiling, Williamson Carly, Marshall Elly, Desouky Virginia, Abildso Christiaan, Perry Cynthia

A Culturally Tailored mHealth Lifestyle Intervention Improves Diet and Physical Activity Self-Regulation Among African Americans

Lalika Mathias, Jenkins Sarah, Hayes Sharonne, Jones Clarence, Burke Lora, Cooper Lisa, Patten Christi, Brewer Laprincess

More abstracts from these authors:
Physical activity, cardiorenal metabolic diseases and multimorbidity: a prospective study of UK Biobank

Hu Juda, Wu Hongguang, Li Peiyao, Li Xiaoyan, Chen Jing, Yanqiu Ou

You have to be authorized to contact abstract author. Please, Login
Not Available