Logo

American Heart Association

  30
  0


Final ID: TH954

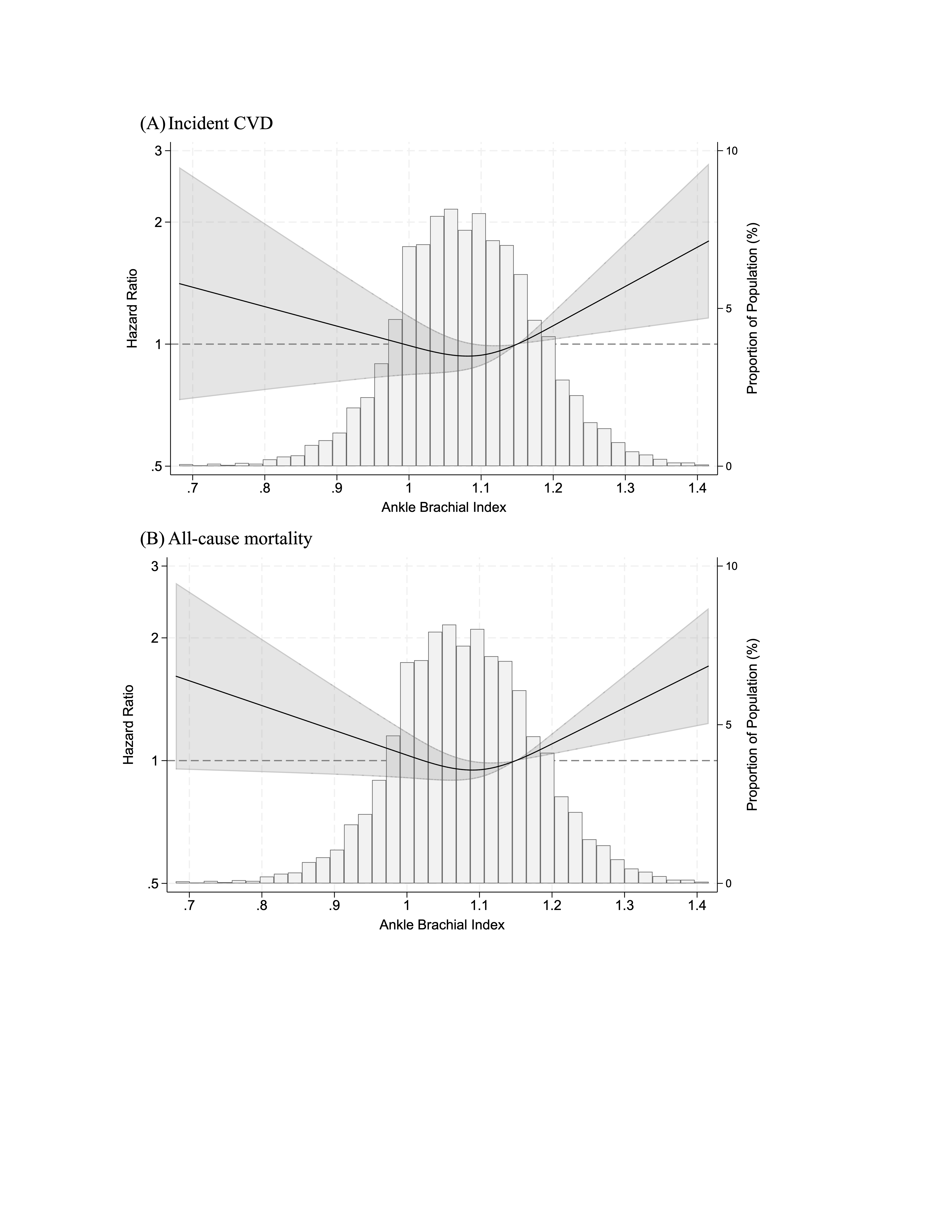
High, even more than low, ankle-brachial index (ABI) associated with elevated risk of incident cardiovascular disease and all-cause mortality: The Hispanic Community Health Study/Study of Latinos (HCHS/SOL).

Abstract Body: Background: Low and high ankle-brachial index (ABI) values are associated with increased cardiovascular disease (CVD) risk, yet their prognostic value in Hispanics/Latinos has not been specifically studied, despite having unique vascular risk factor profiles compared to other races/ethnicities.
Aim: We aimed to assess the prospective association of ABI with incident CVD and all-cause mortality in Hispanics/Latinos.
Methods: We analyzed data from 8,000 adults (mean age 56, years; range, 45–74 years, 56% female) from the Hispanic Community Health Study/Study of Latinos (HCHS/SOL). The ABI was calculated from relevant extremity systolic blood pressures obtained at baseline (2008–2011) and modeled both continuously (cubic splines) and categorically (≤0.90, 0.91–1.00, 1.01–1.10 1.11–1.20 [reference], 1.21–1.30, and >1.30). Incident fatal and nonfatal CVD events (myocardial infarction, stroke, or heart failure) and all-cause mortality were assessed through 2021. Hazard ratios (HRs) were estimated using Cox models adjusting for confounders. We also conducted subgroup analysis by age, sex, smoking, diabetes, systolic blood pressure and kidney function.
Results: Over a median follow-up of 11.6 years, there were 312 CVD events and 601 deaths. The average ABI was 1.08. High ABI (>1.30) vs. ABI 1.11–1.20 was significantly associated with an increased risk of incident CVD and all-cause mortality independently of potential confounders (HR 3.00, [95%CI: 1.40–6.44] and 2.70 [1.57–4.63], respectively). In contrast, low ABI (≤0.9) was significantly associated with all-cause mortality (HR 1.62 [1.04–2.54] but not with incident CVD. The results were largely similar when ABI was modeled continuously (Figure) with lowest risk at approximately ABI 1.10. The results were generally consistent across subgroups.
Conclusion: High ABI was more strongly associated with mortality and incident CVD than low ABI in this Hispanic/Latino cohort. These findings have implications for interpreting ABI in this underrepresented population.
  • Bansah, Eyram  ( Johns Hopkins BSPH , Baltimore , Maryland , United States )
  • Mok, Yejin  ( Johns Hopkins University , Baltimore , Maryland , United States )
  • Martinez-amezcua, Pablo  ( Johns Hopkins BSPH , Baltimore , Maryland , United States )
  • Gao, Yumin  ( Johns Hopkins BSPH , Baltimore , Maryland , United States )
  • Hua, Simin  ( Albert Einstein College of Medicine , Bronx , New York , United States )
  • Salameh, Maya  ( Johns Hopkins , Washington , District of Columbia , United States )
  • Qi, Qibin  ( ALBERT EINSTEIN COLLEGE OF MEDICINE , Bronx , New York , United States )
  • Williams-nguyen, Jessica  ( Fred Hutch Cancer Research Center , Seattle , Washington , United States )
  • Pester, Mollie  ( University of Miami , Miami , Florida , United States )
  • Garcia-bedoya, Olga  ( University of Illinois at Chicago , Chicago , Illinois , United States )
  • Sotres-alvarez, Daniela  ( UNC Chapel Hill , Chapel Hill , North Carolina , United States )
  • Daviglus, Martha  ( UNIVERSITY ILLINOIS CHICAGO , Chicago , Illinois , United States )
  • Mossavar-rahmani, Yasmin  ( Albert Einstein College of Medicine , Bronx , New York , United States )
  • Schrack, Jennifer  ( Johns Hopkins University , Baltimore , Maryland , United States )
  • Allison, Matthew  ( University of California San Diego , La Jolla , California , United States )
  • Kaplan, Robert  ( ALBERT EINSTEIN COLLEGE OF MEDICINE , Bronx , New York , United States )
  • Matsushita, Kunihiro  ( JOHNS HOPKINS UNIVERSITY , Baltimore , Maryland , United States )
  • Author Disclosures:
Meeting Info:

EPI-Lifestyle Scientific Sessions 2026

2026

Boston, Massachusetts

Session Info:

Poster Session 3

Thursday, 03/19/2026 , 05:00PM - 07:00PM

Poster Session

More abstracts on this topic:
A Meta-analysis of Folic Acid Supplementation Efficacy in Cardiovascular Diseases Prevention.

Calderon Martinez Ernesto, Camacho Davila Karen Fabiola, Pinto-colmenarez Rafael, Arruarana Victor, Arvelaez Pascucci Joanne, Castillo Jaqueline Livier, Alonso Ramirez Angie Carolina, Ghattas Patricia, Giron De Marza Maria, Sosaya Zuñiga Briggitte Solange, Martinez Lilan Jonathan David, Paredes Romero Enrique

A Meta-Analysis of Prospective Studies Comparing Short and Longterm Outcomes of Trans-Catheter Aortic Valve Replacement in Patient with and without Cancer:

Khan Muhammad Aslam, Haider Adnan, Haider Taimoor, Bhattarai Shraddha, Khan Bilal, Lamichhane Bikal, Shafique Nouman, Rahman Hammad, Aafreen Asna, Muhammad Anza, Bhatia Hitesh, Khan Abid Nawaz Khan, Akbar Usman, Khan Alamzaib

More abstracts from these authors:
Prevalence and Risk Factors of Peripheral Artery Disease Identified by Multimodalities in Hispanics

Salameh Maya, Gonzalez Franklyn, Allison Matthew, Kaplan Robert, Matsushita Kuni, Liu Hairong, Ballew Shoshana, Martinez-amezcua Pablo, Schrack Jennifer, Garcia-bedoya Olga, Talavera Gregory, Daviglus Martha, Sotres-alvarez Daniela

Peripheral Artery Disease Identified by Multi-Modalities and Accelerometry-Derived Physical Activity in the community: the Hispanic Community Health Study/Study of Latinos (HCHS/SOL)

Martinez-amezcua Pablo, Matsushita Kuni, Kaplan Robert, Allison Matthew, Salameh Maya, Gonzalez Franklyn, Sotres-alvarez Daniela, Ding Yimin, Mok Yejin, Schrack Jennifer

You have to be authorized to contact abstract author. Please, Login
Not Available