Logo

American Heart Association

  32
  0


Final ID: MPWE27

Weekday Temporal Step Accumulation Patterns and Hypertensive Disorders of Pregnancy

Abstract Body: Introduction: Physical Activity (PA) during pregnancy is known to reduce the risk of hypertensive disorders of pregnancy (HDP). However, little is known regarding how daily PA patterns, particularly the timing of step accumulation, affect HDP risk. Given the growing interest in PA timing, this study aims to examine weekday step accumulation patterns during pregnancy and their associations with HDP.
Hypothesis: We hypothesize that pregnant individuals who accumulate steps later in the day will have a greater reduction of HDP risk compared to those who accumulate steps earlier, relative to those with the low overall step counts.
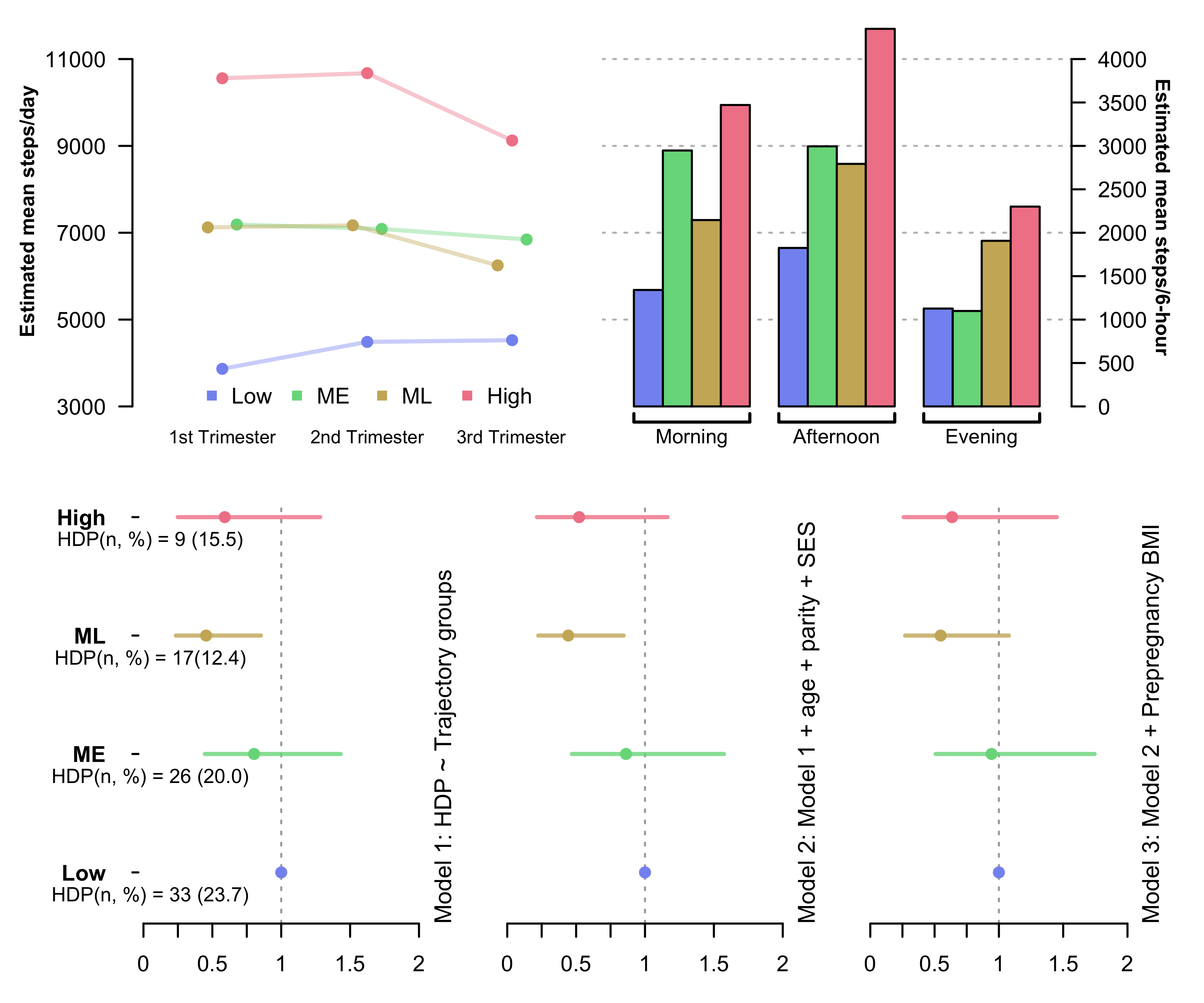
Methods: A total of 500 women participated in the Pregnancy 24/7 multi-site cohort study. Demographics (age, parity, socioeconomic status) were collected via questionnaire. Pre-pregnancy BMI was calculated using measured height and pre-pregnancy weight abstracted from medical charts. HDP diagnoses were abstracted from medical charts and confirmed by the study obstetricians. Step counts were recorded using thigh-worn accelerometers worn continuously for 7 full days during each trimester. Daily steps were grouped into morning (6 am – 12 pm), afternoon (12 – 6 pm), and evening (6 pm – 12 am). Group-based multivariable trajectory modeling identified four weekday step patterns: Low (n = 143), Middle-Early day (n = 130; ME), Middle-Later day (n = 139; ML), and High (n = 59). Multivariable logistic regression estimated HDP odds ratios using the low pattern as the referent group, sequentially adjusting for demographics and pre-pregnancy BMI.
Results: Of 464 participants (mean age: 30.7 ± 4.5 years; mean pre-pregnancy BMI: 27.2 ± 6.5 kg/m2), estimated mean daily steps across trajectory groups were 4,293 (Low), 7,041 (ME), 6,847 (ML), and 10,119 (High). The estimated means of weekday temporal step counts by trajectory group are illustrated in the Figure. Compared to the Low group, the odds of HDP were lower in all groups (OR [95% CI], ME: 0.861 [0.469 – 1.573]; ML: 0.443 [0.225 – 0.845]; and High: 0.522 [0.216 – 1.164]). All associations were attenuated after adjusting for pre-pregnancy BMI (Figure).
Conclusions: Weekday step accumulation patterns during pregnancy were associated with reduced odds of HDP, particularly among those with steps accumulated later in the day. Further research is encouraged to investigate the associations between the timing of PA and various pregnancy health outcomes.
  • Kim, Jaemyung  ( University of Iowa , Iowa City , Iowa , United States )
  • Barone Gibbs, Bethany  ( West Virginia University , Morgantown , West Virginia , United States )
  • Paluch, Amanda  ( University of Massachusetts Amherst , Amherst , Massachusetts , United States )
  • Whitaker, Kara  ( University of Iowa , Iowa City , Iowa , United States )
  • Author Disclosures:
Meeting Info:

EPI-Lifestyle Scientific Sessions 2026

2026

Boston, Massachusetts

Session Info:

Pregnancy and Women's Health

Wednesday, 03/18/2026 , 05:00PM - 07:00PM

Moderated Poster Session

More abstracts on this topic:
A multifaceted family intervention for blood pressure management in rural China: an open label, parallel group, cluster randomized trial (Healthy Family Program)

Jiang Chao, Dong Jianzeng, Cai Jun, Anderson Craig, Du Xin, Tang Yangyang, Han Rong, Song Yanna, Wang Chi, Lin Xiaolei, Yi Yang, Rodgers Anthony, Ma Changsheng

Access to exercise opportunities, physical inactivity and cardiovascular mortality: A nationwide study in the U.S.

Wang Xiaowen, Gu Yongshi, Wang Ying, Chiu Yuching, C Tl, Hopke Philip K., Zhang Kai, Hao Yuantao, Zhang Wangjian

More abstracts from these authors:
Influence of the 5-minute Rest Period on Home Blood Pressure Monitoring in Postpartum Women

Kim Jaemyung, Barone Gibbs Bethany, Whitaker Kara

Sedentary and Lighter-Intensity Activity Patterns across Trimesters of Pregnancy: the Pregnancy 24/7 Cohort

Barone Gibbs Bethany, Whitaker Kara, Catov Janet, Feghali Maisa, Gallagher Jacob, Kim Jaemyung, Kline Christopher, Santillan Mark, Santillan Donna, Zimmerman M Bridget

You have to be authorized to contact abstract author. Please, Login
Not Available