Logo

American Heart Association

  17
  0


Final ID: TU206

Multimorbidity and Obesity-related Associations with Variations in 24-hour Movement Cycles in Adults: The Dallas Heart and Minds 24-Hour Rest-Activity Cycle Study (DHS 24-REACT)

Abstract Body: Introduction: Multimorbidity (MM) increases healthcare costs and worsens quality of life. Obesity can further complicate care. The 24-h movement cycle (e.g., physical activity [PA] and sleep) is associated with health, but less is known about how MM and MM with obesity (MMxobesity) is related to differences in cycle composition.

Hypotheses: MM and obesity are independently associated with less PA and sleep compared to no chronic disease and MMxobesity would have stronger associations compared to either condition alone.

Methods: Data are from 1273 Dallas Heart & Minds participants (age 60.5±10.6 yrs; 59% women; 7% Asian; 45% Black; 13% Hispanic; 33% White) that wore an ActiGraph GT9X Link on the wrist for 24-h for 7 days between 2019-24. GGIR was used to process data using the sleep algorithm and Hildebrand cutpoints. Valid wear was ≤30 h in the wake-sleep window with ≥10 h waking and ≥1 to ≤17 h of sleep. MM included ≥2 conditions of reported: diabetes, hypertension, heart failure, transient ischemic attack, peripheral artery disease, kidney problems, hepatitis, cancer, Major Depressive Disorder, Seasonal Affective Disorder, or schizophrenia. Linear mixed effects models were used to examine differences in daily minutes of sleep, sedentary behavior (SED), light intensity PA (LIPA), and moderate to vigorous intensity PA (MVPA) by MM and obesity status controlling for covariates. An interaction term (MMxobesity) was included to assess whether the effect of MM on 24-h movement cycle components varied by weight status.

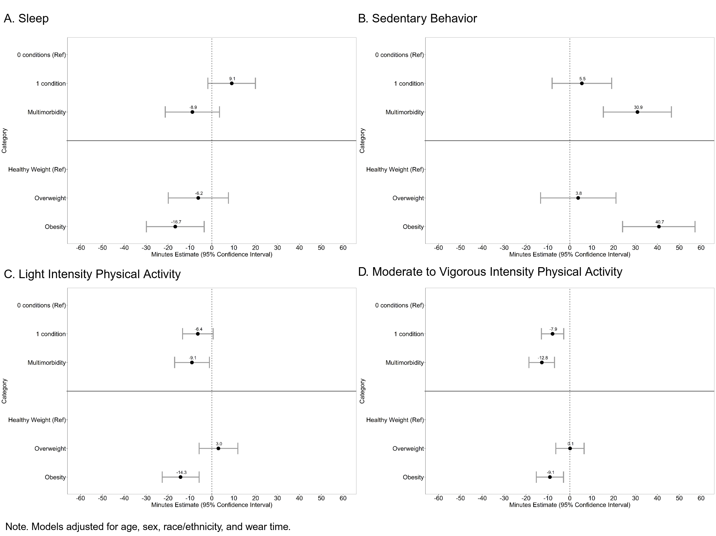
Results: On average (±SD), participants (28.4% had MM and 30.2% with obesity) spent 7.3±2.1 h in sleep, 13.1±2.5 h in SED, 2.5±1.1 h in LIPA, and 62.0±48.8 min in MVPA per day. For sleep (Fig. A), SED (Fig. B), LIPA (Fig. C) and MVPA (Fig. D), MM and obesity were both independently associated, however their combined effects (MMxobesity) did not modify the strength of these associations (all p > .05). Those with MM had had more minutes in SED (β: 30.9, 95% CI: 15.3, 46.4) to the expense of less LIPA (β: -9.1, 95% CI: -17.0, -1.1) and MVPA (β: -12.8, 95% CI: -18.7, -7.0). Those with obesity had more minutes in SED (β: 40.7, 95% CI: 24.1, 57.2) to the expense of less sleep (β: -16.7, 95% CI: -29.9, -3.5), LIPA (β: -14.3, 95% CI: -22.7, -5.8), and MVPA (β: -9.1, 95% CI: -15.3, -2.9).

Conclusions: Variations in the 24-h movement cycle across both MM and obesity highlight the importance of targeted interventions to combat inadequate movement profiles.
  • Dooley, Erin  ( University of Alabama at Birmingham , Birmingham , Alabama , United States )
  • Hornikel, Bjoern  ( University of Alabama at Birmingham , Birmingham , Alabama , United States )
  • Lee, Minjae  ( UTHealth Houston , Houston , Texas , United States )
  • Thomas, Stephen  ( University of Alabama at Birmingham , Birmingham , Alabama , United States )
  • Raj, Deepa  ( UT Southwestern Medical Center , Dallas , Texas , United States )
  • Shah, Amil  ( UT Southwestern Medical Center , Dallas , Texas , United States )
  • Gabriel, Kelley  ( University of Alabama at Birmingham , Birmingham , Alabama , United States )
  • Author Disclosures:
Meeting Info:

EPI-Lifestyle Scientific Sessions 2026

2026

Boston, Massachusetts

Session Info:

Poster Session 1

Tuesday, 03/17/2026 , 05:00PM - 07:00PM

Poster Session

More abstracts on this topic:
Disparities in Cardiovascular Multimorbidity and Mortality among Dual Medicare-Medicaid Beneficiaries: A Nationwide Cohort Study of >2 Million Patients

Lusk Jay, Kalapura Cheryl, Mentz Robert, Greene Stephen, Hammill Bradley, Mac Grory Brian, Li Fan, Xian Ying, Obrien Emily

Association Between Circadian Rest/Activity Rhythms and Incident Dementia in Older Adults: The Atherosclerosis Risk in Communities (ARIC) Study

Wang Wendy, Crainiceanu Ciprian, Spira Adam, Schrack Jennifer, Chen Lin, Wanigatunga Amal, Etzkorn Lacey, Rabinowitz Jill, Palta Priya, Pike James, Dougherty Ryan, Zipunnikov Vadim, Marino Francesca

More abstracts from these authors:
Achieving Guidelines within a 24-Hour Movement Paradigm and Risk of Cardiovascular Disease and All-Cause Mortality in United States Adults

Boudreaux Benjamin, Xu Chang, Dooley Erin, Hornikel Bjoern, Munson Alexandra, Shechter Ari, Palta Priya, Gabriel Kelley, Diaz Keith

Patterns of Physical Activity from Midlife to Late Life: The Multi-Ethnic Study of Atherosclerosis (MESA)

Hornikel Bjoern, Dooley Erin, Munson Alexandra, Boudreaux Benjamin, Jacobs David, Diaz Keith, Palta Priya, Gabriel Kelley

You have to be authorized to contact abstract author. Please, Login
Not Available