Logo

American Heart Association

  145
  0


Final ID: 071

Association Between Proximity to Hazardous Waste Sites and Cardiometabolic Diseases: Coronary Heart Disease, Stroke, Hypertension, and Diabetes

Abstract Body: Introduction:
Proximity to hazardous waste sites may increase cardiometabolic risk. However, differences in these associations by socioeconomic status and urban-rural residency is underexplored. We estimated the associations of proximity to hazardous waste sites with prevalence of coronary heart disease (CHD), stroke, hypertension, and diabetes, while exploring the moderating roles of the Social Vulnerability Index (SVI) and Rural-Urban status.
Hypothesis:
We hypothesized that neighborhoods closer in proximity to hazardous waste sites have an incrementally higher prevalence of the selected disease outcomes compared to neighborhoods furthest away.
Methods:
We used data from 57,845 (~70%) U.S. census tracts, creating a percentile-ranked score based on proximity to hazardous waste sites from the Environmental Justice Index, classified into quartiles (Q4 = closest). Prevalence of health outcomes were obtained from the Centers for Disease Control and Prevention (CDC) PLACES dataset, and SVI and Rural-Urban Commuting Area (RUCA) codes were obtained from the CDC and U.S. Department of Agriculture, respectively. A linear mixed-effects model assessed prevalence differences between quartiles, adjusting for percentages of uninsured, race/ethnicity minority, aged ≥65, and <17, with county-level random effects. We also evaluated the moderating role of SVI and urbanicity.
Results:
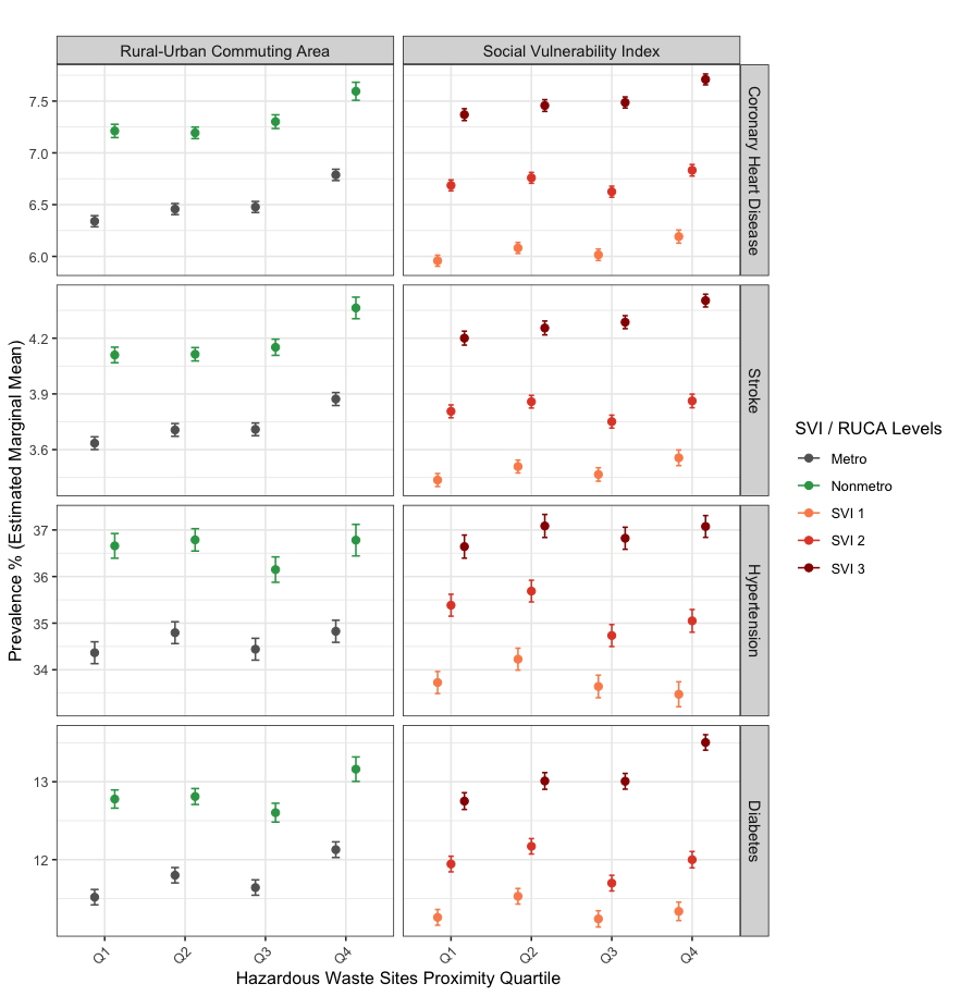
After adjustment, neighborhoods closest to hazardous waste sites (Q4) had a significantly higher prevalence of each of the cardiometabolic diseases when compared to Q1: CHD (0.35%; 95% CI, 0.33-0.38), Stroke (0.19%; 95% CI, 0.17-0.21), Hypertension (0.44%; 95% CI, 0.35-0.54) and Diabetes (0.48%; 95% CI, 0.43-0.53). The interaction term between SVI, RUCA, and our exposure was significant for all health outcomes (p<0.05), based on the Wald chi-square test. The magnitude of the associations were stronger in higher socially vulnerable neighborhoods (compared with low) (Figure 1). Although the prevalence of cardiometabolic diseases was higher in non-metro tracts, there was a weaker association with proximity to hazardous waste sites, compared to metropolitan tracts.
Conclusion:
These findings highlight the potential role of environmental factors in shaping community-level cardiometabolic health disparities. While individual inferences are limited by the study's ecological nature, the results emphasize addressing environmental and social vulnerabilities to promote health equity at a population level.
  • Abadi, Azar  ( University of Alabama at Birmingham , Birmingham , Alabama , United States )
  • Gabriel, Kelley  ( UAB P-Cards , Birmingham , Alabama , United States )
  • Wickliffe, Jeffrey  ( University of Alabama at Birmingham , Birmingham , Alabama , United States )
  • Levitan, Emily  ( UNIVERSITY ALABAMA AT BIRMINGHAM , Birmingham , Alabama , United States )
  • Hussaini, Qasim  ( University of Alabama at Birmingham , Birmingham , Alabama , United States )
  • Author Disclosures:
    Azar Abadi: DO NOT have relevant financial relationships | Kelley Gabriel: DO NOT have relevant financial relationships | Jeffrey Wickliffe: No Answer | Emily Levitan: DO have relevant financial relationships ; Research Funding (PI or named investigator):Amgen:Past (completed) ; Other (please indicate in the box next to the company name):University of Pittsburgh, DSMB member:Active (exists now) | Qasim Hussaini: No Answer
Meeting Info:
Session Info:

11. A Preventive Cardiology

Sunday, 03/09/2025 , 02:00PM - 03:00PM

Oral Abstract Session

More abstracts on this topic:
Anticoagulation versus antiplatelet for secondary prevention in embolic stroke of undetermined source: The Cardiac Abnormalities in Stroke Prevention and Risk of Recurrence Study

Siegler James, Aboul-nour Hassan, De Havenon Adam, Culbertson Collin, Melkumova Emiliya, Jillella Dinesh, Dumitrascu Oana, Doolittle Charles, Yahnke Ian, Sathya Anvitha, Brown Samantha, Penckofer Mary, Kang Jieun, Bowman Anna, Brorson James, Shahrivari Mahan, Elangovan Cheran, Sloane Kelly, Alvi Muhammad, Krishnaiah Balaji, Kam Wayneho, Farooqui Mudassir, Badillo Goicoechea Elena, Nahab Fadi, Rojas-soto Diana, Sharma Richa, Thottempudi Neeharika, Nedelcu Simona, Smith Matthew, Herpich Franziska, Glover Patrick, Chahien Dalia, Sehgal Siddharth, Eklund Kelsey, Liebeskind David, Linares Guillermo, Daniel Jean-philippe, Al Kasab Sami, Singh Eesha, D'souza Marissa, Gaudio Elizabeth, Aziz Yasmin, Yaghi Shadi, Salehi Omran Setareh, Stretz Christoph, Thon Jesse, Lineback Christina, Khasiyev Farid, Kerrigan Deborah, Ali Hamid

Age-Varying Implications of Recalibration of Cardiovascular Disease Risk Prediction in a New England-Based Healthcare System

Cho So Mi, Natarajan Pradeep, Rivera Rachel, Koyama Satoshi, Kim Min Seo, Honigberg Michael, Bhattacharya Romit, Paruchuri Kaavya, Allen Norrina, Hornsby Whitney

More abstracts from these authors:
Descriptive Analysis of Geographic and Sociodemographic Patterns in Poor Cardiovascular Health Across U.S. Census Tracts

Abadi Azar, Flores Melissa, Hailu Elleni, Ghosh Arnab, Wickliffe Jeffrey, Dooley Erin, Gabriel Kelley, Levitan Emily

Agreement between sleep blood pressure on home blood pressure monitoring versus ambulatory blood pressure monitoring: Findings from Better BP study

Ghazi Lama, Levitan Emily, Alanaeme Chibuike, Wen Ying, Schwartz Joseph, Muntner Paul, Shimbo Daichi

You have to be authorized to contact abstract author. Please, Login
Not Available