Logo

American Heart Association

  218
  0


Final ID: P2129

A scoping review comparing individual and multi-level physical activity interventions in rural women in the United States

Abstract Body:
Purpose The aim of this review is to summarize physical activity interventions in rural women in the United States using the socio-ecological model of health framework.
Methods We conducted a scoping review of peer-reviewed literature in Medline, CINAHL Complete, Web of Science, and PsychINFO in August 2023. We narratively synthesized the evidence and, in studies with a comparison group, calculated pooled estimates to compare intervention effects by levels of the socio-ecological model. We used an adapted GRADE approach to assess study quality.
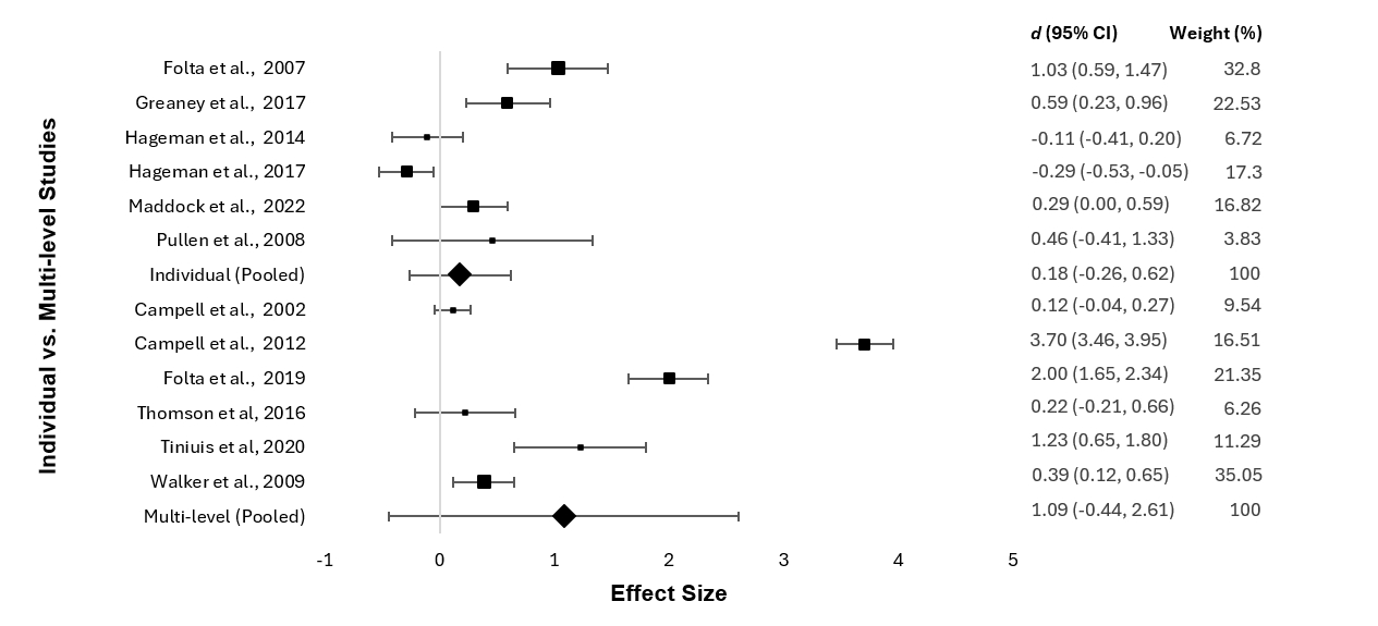
Findings Our search yielded 41 reports of 38 different interventions that met our eligibility criteria (24 individual and 17 multi-level). Nineteen individual (83%) and eight multi-level (73%) interventions increased physical activity. Pooled estimates indicated that multi-level interventions increased physical activity to a greater extent (1.09 [-0.44, 2.16]) than individual-level interventions (0.18 [-0.26, 0.62]). Limited studies included measurements of feasibility, acceptability, strengths, and barriers or clearly defined rurality. Special considerations for intervention design included ensuring that participants feel supported, training and supporting strong interventionists using new technology, and assessing cost-effectiveness.
Conclusion Our findings suggest individual-level interventions often increased physical activity in rural women, but multi-level interventions yielded larger effects. More high-quality, multi-level interventions that track key implementation factors (feasibility, acceptability, strengths, barriers) and define rurality are needed
Figure 2. Individual vs. Multi-level Intervention Effects.
  • Wilhite, Katrina  ( West Virginia University , Morgantown , West Virginia , United States )
  • Thrower, Alexis  ( West Virginia University , Morgantown , West Virginia , United States )
  • Modlin, Sarah  ( West Virginia University , Morgantown , West Virginia , United States )
  • Zheng, Meiling  ( West Virginia University , Morgantown , West Virginia , United States )
  • Williamson, Carly  ( University of Pittsburgh , Pittsburgh , Pennsylvania , United States )
  • Marshall, Elly  ( West Virginia University , Morgantown , West Virginia , United States )
  • Desouky, Virginia  ( West Virginia University , Morgantown , West Virginia , United States )
  • Abildso, Christiaan  ( West Virginia University , Morgantown , West Virginia , United States )
  • Perry, Cynthia  ( Science University Portland , Portland , Oregon , United States )
  • Umstattd Meyer, M Renee  ( Baylor University , Waco , Texas , United States )
  • Barone Gibbs, Bethany  ( West Virginia University , Morgantown , West Virginia , United States )
  • Author Disclosures:
    Katrina Wilhite: DO NOT have relevant financial relationships | M Renee Umstattd Meyer: No Answer | Bethany Barone Gibbs: DO NOT have relevant financial relationships | Alexis Thrower: No Answer | Sarah Modlin: No Answer | Meiling Zheng: No Answer | Carly Williamson: No Answer | Elly Marshall: DO NOT have relevant financial relationships | Virginia Desouky: No Answer | Christiaan Abildso: DO NOT have relevant financial relationships | Cynthia Perry: No Answer
Meeting Info:
Session Info:

PS02.15 Physical Activity and Sedentary Behavior 2

Friday, 03/07/2025 , 05:00PM - 07:00PM

Poster Session

More abstracts on this topic:
A 60-fold increase in SCA risk in the last kilometer of endurance races : Final sprint, fatal outcome.

Chocron Richard, Levy Bernard, Beganton Franckie, Bougouin Wulfran, Empana Jean-philippe, Jouven Xavier, Laurenceau Thomas, Chabrol Marion, Mignot Soline, Meli Ugo, Langlois Camille, Cezard Pierre, Schwartz Peter, Kaab Stefan

Feasibility and Acceptability of Behavioral Weight Loss Programs for Men in Trade and Labor Occupations

Crane Melissa, Feit Catherine, Yeh Chen, Gonzalez Mariangeline, Appelhans Brad

More abstracts from these authors:
Concordance of prenatal tobacco smoking, vaping, and cannabis use between electronic health records and self-administered research surveys

Henggeler Waylon, Umer Amna, Marshall Elly, Baus Adam, Barone Gibbs Bethany

Associations Between Rurality and Early Pregnancy Cardiovascular Health Behaviors in a Central Appalachian Cohort

Marshall Elly, Umer Amna, Whitaker Kara, Rowan Shon, Olfert Ivan, Lilly Christa, Barone Gibbs Bethany

You have to be authorized to contact abstract author. Please, Login
Not Available