Logo

American Heart Association

  150
  0


Final ID: P1064

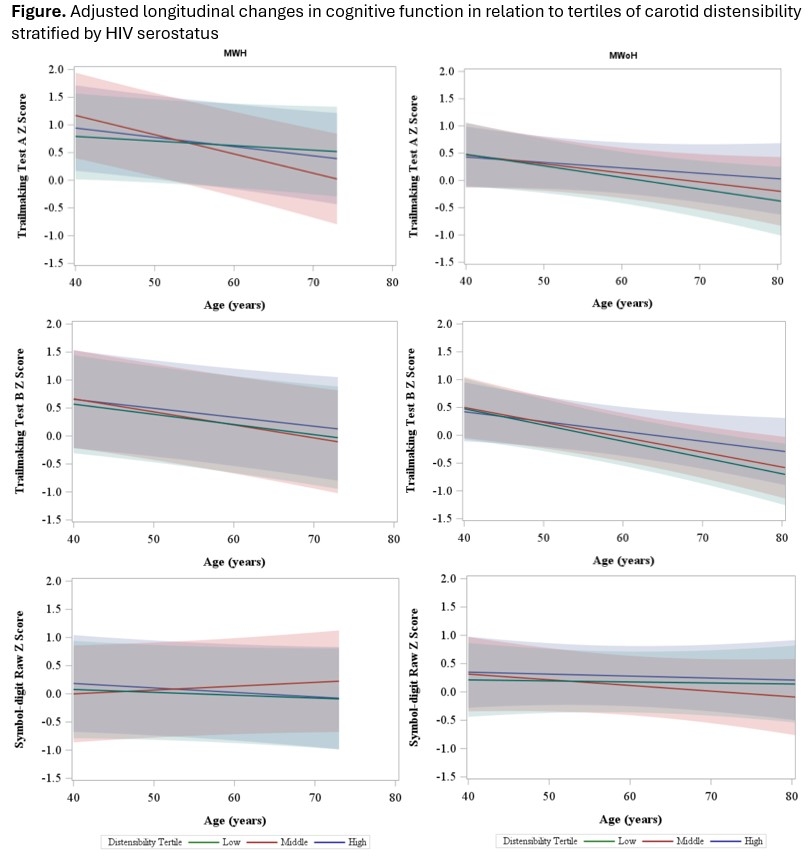
Central Vascular Implication in Neurocognitive Functioning among Men Living with and without HIV

Abstract Body: Background: Neurocognitive impairment is linked to aging, vascular stiffness, and HIV infection. The role of vascular stiffness in neurocognitive functioning among men with HIV (MWH) remains unclear. This study examined the relationship between carotid artery distensibility and neurocognitive decline in MWH and men without HIV (MWoH), while exploring whether HIV serostatus and age influenced the association.
Methods: Baseline vascular and cognitive assessments (2004-2013) were measured in the Multicenter AIDS Cohort Study. Carotid distensibility was measured using B-mode ultrasound. Neurocognitive function was assessed via executive function (Trail Making B) and psychomotor/information processing speed (Trail Making A, Symbol Digit Modalities Test) over a 6.5-year follow-up. Mixed effects linear regression was used to evaluate the association between baseline stiffness and the progression of neurocognitive function, with time operationalized as participant age. Models were adjusted for demographic, behavioral, and cardiometabolic risk factors.
Results: Among 717 men, (mean age 49.9 years, 62.9% non-Hispanic White), 459 (64%) were MWH. In MWH, lower distensibility (higher stiffness) at baseline was associated with greater neurocognitive decline with increasing age in Trail Making A (β=-0.03, p<0.001) and Trail Making B (β=-0.02, p=0.02), but not in Symbol Digit Modalities Test. Among MWoH, lower distensibility at baseline was associated with greater neurocognitive decline with increasing age in Trail Making B (β=-0.03, p=0.002) only. The longitudinal association of distensibility with neurocognition only differed by HIV serostatus for Trail Making A (p<0.05), when assessing the three-way interaction of serostatus, age, and distensibility.
Conclusions: Increased vascular stiffness was linked to significant neurocognitive decline in both MWH and MWoH after adjusting for confounding factors. Addressing cardiovascular risk factors may help prevent neurocognitive decline in this population.
  • Jones, Ray  ( University of Alabama at Birmingham , Birmingham , Alabama , United States )
  • Palella, Frank  ( Northwestern University , Chicago , Illinois , United States )
  • Mimiaga, Matthew  ( University of California Los Angeles , Los Angeles , California , United States )
  • Witt, Mallory  ( Harbor-UCLA , Torrance , California , United States )
  • Peven, Jamie  ( University of Pittsburgh , Pittsburgh , Pennsylvania , United States )
  • Haberlen, Sabina  ( Johns Hopkins University , Baltimore , Maryland , United States )
  • Aziz, Mariam  ( Rush University , Chicago , Illinois , United States )
  • Thorpe, Roland  ( Johns Hopkins University , Baltimore , Maryland , United States )
  • Levitan, Emily  ( University of Alabama at Birmingham , Birmingham , Alabama , United States )
  • Buford, Thomas  ( University of Alabama at Birmingham , Birmingham , Alabama , United States )
  • Blair, Jessica  ( University of Alabama at Birmingham , Birmingham , Alabama , United States )
  • Causey Pruitt, Zenoria  ( University of Alabama at Birmingham , Birmingham , Alabama , United States )
  • Hankes, Michael  ( University of Alabama at Birmingham , Birmingham , Alabama , United States )
  • Vance, David  ( University of Alabama at Birmingham , Birmingham , Alabama , United States )
  • Willig, Amanda  ( University of Alabama at Birmingham , Birmingham , Alabama , United States )
  • Huck, Daniel  ( Brigham and Women's Hospital, Harvard Medical School , Boston , Massachusetts , United States )
  • Post, Wendy  ( Johns Hopkins University , Baltimore , Maryland , United States )
  • Masters, Mary  ( Northwestern University , Chicago , Illinois , United States )
  • Author Disclosures:
    Ray Jones: DO NOT have relevant financial relationships | Frank Palella: No Answer | Matthew Mimiaga: DO NOT have relevant financial relationships | Mallory Witt: DO NOT have relevant financial relationships | Jamie Peven: No Answer | Sabina Haberlen: No Answer | Mariam Aziz: No Answer | Roland Thorpe: No Answer | Emily Levitan: DO have relevant financial relationships ; Research Funding (PI or named investigator):Amgen:Past (completed) ; Other (please indicate in the box next to the company name):University of Pittsburgh, DSMB member:Active (exists now) | Thomas Buford: DO NOT have relevant financial relationships | Jessica Blair: DO NOT have relevant financial relationships | Zenoria Causey Pruitt: No Answer | Michael Hankes: DO NOT have relevant financial relationships | David Vance: DO NOT have relevant financial relationships | Amanda Willig: DO have relevant financial relationships ; Consultant:WW International:Past (completed) | Daniel Huck: No Answer | Wendy Post: No Answer | Mary Masters: DO have relevant financial relationships ; Research Funding (PI or named investigator):Merck:Past (completed)
Meeting Info:
Session Info:

PS01.06 COVID 19, HIV and Other Infections

Thursday, 03/06/2025 , 05:00PM - 07:00PM

Poster Session

More abstracts on this topic:
Alterations in Heart Rate Variability After Ischemic Stroke in Rats: Heart-Brain Connectivity

Alavi Rashid, Dai Wangde, Li Jiajun, Carreno Juan, Pahlevan Niema, Arakaki Xianghong, Gharib Morteza, Kloner Robert

Association between Age and the Change in Cognition after Stroke- A Pooled Cohort Analysis of ARIC, REGARDS, and FOS

Springer Mellanie, Gottesman Rebecca, Hayward Rodney, Howard Virginia, Koton Silvia, Lazar Ronald, Sussman Jeremy, Ye Wen, Levine Deborah, Chen Bingxin, Whitney Rachael, Briceno Emily, Gross Alden, Aparicio Hugo, Beiser Alexa, Burke James, Giordani Bruno

More abstracts from these authors:
Effect of Allostatic Load on Prevalence of Atrial Fibrillation and Associated Stroke: Insights from the REGARDS Study

Saleem Danial, Blair Jessica, Clarkson Stephen, Bittner Vera, Brown Todd, Judd Suzanne, Goyal Parag, Levitan Emily

Assessment of the Sarcopenia Index for Detecting Sarcopenia in the REasons for Geographic And Racial Differences in Stroke (REGARDS) Study

Alanaeme Chibuike, Huang Lei, Levitan Emily, Bowling Barrett, Buford Thomas, Gutierrez Orlando, Safford Monika, Potok O. Alison, Colantonio Lisandro

You have to be authorized to contact abstract author. Please, Login
Not Available