Logo

American Heart Association

  52
  0


Final ID:

Coronary CT Angiography Plaque as a Predictor of Death, Cardiovascular Death and Myocardial Infarction

Abstract Body (Do not enter title and authors here): Background
Coronary CT Angiography (CCTA) is an effective diagnostic test, which can inform prognosis through the severity of stenosis and the number of vessels with disease. Artificial Intelligence Coronary Plaque Analysis (AI-CPA) provides quantitation of coronary plaque volume offering the opportunity to improve risk assessment.
Methods
Symptomatic patients investigated with CCTA from 2 English centers were included. AI-CPA (Heartflow Inc, Mountain View, CA, USA) was performed using thresholds to categorise plaque burden [total plaque volume (TPV, mm3) Group 1: 0, Group 2: 1-100, Group 3: 101-250, Group 4: 251-750, Group 5: >750]. Clinical outcomes were all-cause death, cardiovascular (CV) death, myocardial infarction (MI) and revascularization. Cox-regression, adjusted for degree coronary stenosis, FFRCT, age, gender, hypertension, hypercholesterolaemia and diabetes, determined risk over time.
Results
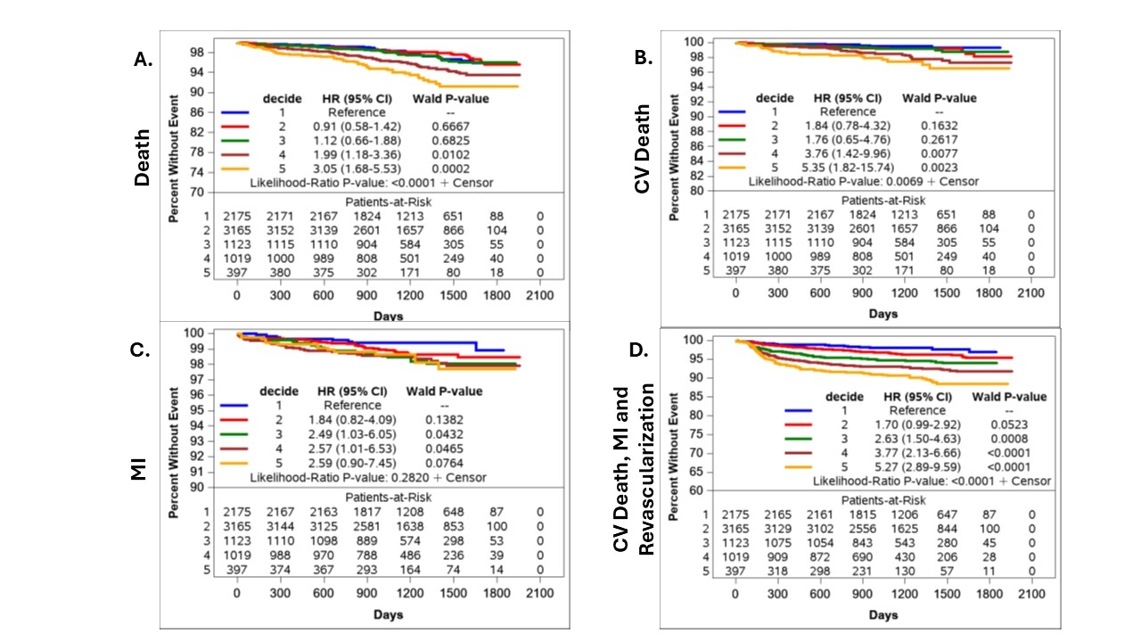
Of 7879 patients, average age was 57.4±12.3, 51.4% were male, and 2943 (37.4%) had obstructive coronary artery disease. Average TPV was 31mm3 [0-160], with 2539 (32%) patients in the moderate-extensive (stage 3-5) plaque categories. Over 3.3 years (IQR1.4)) of follow up there were 253 (3.2%) deaths, 95 (1.2%) CV deaths, 107 (1.4%) MI and 467 (5.9%) revascularizations. TPV stages 4-5 independently predicted all-cause (p<0.001) and CV death (p=0.007). TPV stage was a significant independent risk predictor for MI, CV death, or late revascularization (HR5.27(2.89-9.59)), p<0.0001), Figure 1.
Conclusion
TPV measured by AI-CPA predicts all-cause death, CV death and a composite of CV death, MI and late revascularization independently of anatomical coronary stenosis, FFRCT and patient risk factors.
  • Fairbairn, Timothy  ( Liverpool Heart and Chest Hospital , Lymm , United Kingdom )
  • Jonathan, Weir-mccall  ( Kings College London , London , United Kingdom )
  • Nicol, Ed  ( Chelsea and Westminster Hospital , London , Ukraine )
  • Mullen, Liam  ( Liverpool Heart and Chest Hospital , Lymm , United Kingdom )
  • Bell, Jack  ( Liverpool Heart and Chest Hospital , Lymm , United Kingdom )
  • Agrawal, Bobby  ( Papworth Hospital , Cambridge , United Kingdom )
  • Mullen, Sarah  ( Heartflow , San Carlos , California , United States )
  • Ng, Nicholas  ( Heartflow , San Carlos , California , United States )
  • N?rgaard, Bjarne  ( Aarhus University Hospital , Aarhus , Denmark )
  • Leipsic, Jonathon  ( University British Columbia , Vancouver , British Columbia , Canada )
  • Author Disclosures:
    timothy fairbairn: DO NOT have relevant financial relationships | Weir-McCall Jonathan: DO NOT have relevant financial relationships | Ed Nicol: No Answer | liam mullen: DO NOT have relevant financial relationships | Jack Bell: DO NOT have relevant financial relationships | Bobby Agrawal: No Answer | Sarah Mullen: DO have relevant financial relationships ; Employee:Heartflow:Active (exists now) | Nicholas Ng: DO have relevant financial relationships ; Employee:Heartflow:Active (exists now) | Bjarne N?rgaard: DO have relevant financial relationships ; Research Funding (PI or named investigator):Novo Nordisk:Active (exists now) | Jonathon Leipsic: DO have relevant financial relationships ; Consultant:Heartflow:Active (exists now) ; Consultant:Circle CVI:Active (exists now)
Meeting Info:

Scientific Sessions 2025

2025

New Orleans, Louisiana

Session Info:

Pan Vascular Interventions: Anatomy and Interventions Across Various Vascular Beds

Sunday, 11/09/2025 , 11:50AM - 01:05PM

Featured Science

More abstracts on this topic:
Association between ipsilateral stroke and non-stenotic (<50%) carotid disease – Analysis from the Alteplase compared to Tenecteplase Trial

Ignacio Katrina, Tkach Aleksander, Sajobi Tolulope, Buck Brian, Menon Bijoy, Almekhlafi Mohammed, Ganesh Aravind, Singh Nishita, Nagendra Shashank, Bala Fouzi, Alhabli Ibrahim, Baguley Elizabeth, Poulin Therese, Sjonnesen Kirsten, Swartz Richard, Catanese Luciana

Atherosclerotic features of plaque instability are transmitted via gut microbial transplantation

Nieri Riccardo, Pedicino Daniela, Russo Matteo, Liuzzo Giovanna, Limana Federica, Foglio Eleonora, De Maio Flavio, Severino Anna, Masucci Luca, D Aiello Alessia, Grimaldi Maria Chiara, Gervasoni Jacopo, Santoni Daniele

More abstracts from these authors:
AI-enabled Plaque Phenotype Analysis of Coronary Computed Tomography Angiography Findings in Patients with Nonacute Chest Pain using FFRCT: Results from the PRECISE Trial

Jukema Ruurt, Chow Benjamin, Kelsey Michelle, Nanna Michael, Vemulapalli Sreekanth, Mark Daniel, Leipsic Jonathon, Douglas Pamela, Ferencik Maros, Curzen Nick, Weir-mccall Jonathan, Stone Gregg, Rogers Campbell, Mullen Sarah, Ng Nicholas

Cost-Effectiveness of AI-Enabled Coronary Plaque Analysis for Management of Stable Coronary Artery Disease

Baron Suzanne, Rogers Campbell, D'attilio Daniel, Sengupta Souma, Fairbairn Timothy

You have to be authorized to contact abstract author. Please, Login
Not Available