Logo

American Heart Association

  52
  0


Final ID:

Effectiveness of High-Dose vs. Standard-Dose Inactivated Influenza Vaccine in Individuals with and without Atherosclerotic Cardiovascular Disease: A Pooled FLUNITY-HD Trial Analysis

Abstract Body (Do not enter title and authors here): Background and Aims:
The high-dose inactivated influenza vaccine (HD-IIV) results in a stronger serological response in older persons and in those with cardiovascular (CV) disease as compared with standard-dose vaccines (SD-IIV). The aim of this study was to evaluate the relative effectiveness of HD-IIV vs. SD-IIV on clinical respiratory and CV outcomes, in persons with or without pre-existing atherosclerotic cardiovascular disease (ASCVD).

Methods:
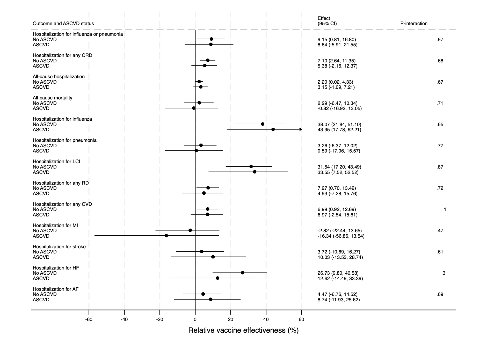
FLUNITY-HD comprised two pragmatic, open-label, individually randomized trials that compared HD-IIV vs. SD-IIV. DANFLU-2 was conducted in Denmark during the 3 most recent influenza seasons while GALFLU was conducted in Galicia, Spain during the 2 most recent influenza seasons. Both trials used the same harmonized protocol. The trials enrolled adults ≥65 years (65-79 in GALFLU), irrespectively of comorbidity, and randomized them 1:1 to HD-IIV or SD-IIV. Study data were obtained from registries. In each study season, participants were followed for outcomes from 14 days after vaccination through May 31 the following year. The primary outcome was the relative vaccine effectiveness (rVE) for HD-IIV vs. SD-IIV against hospitalization for pneumonia or influenza. Heterogeneity in rVE among participants with vs. without ASCVD was assessed using the Cochran-Mantel-Haenszel test. A two-sided p<0.05 was considered statistically significant.

Results:
A total of 466,320 participants (332,438 in DANFLU-2 and 133,882 in GALFLU) were randomized to HD-IIV (n=233,311) or SD-IIV (n=233,009); 56,886 (12.2%) had a history of ASCVD, i.e., 37,842 (8.1%) had ischemic heart disease, 19,460 (4.2%) had cerebrovascular disease, and 3,857 (0.8%) had peripheral artery disease. Baseline characteristics in participants with and without prevalent ASCVD are shown in Table 1. Persons with ASCVD were older, more often men, and had a higher prevalence of all reported comorbidities. The incidence of all reported outcomes was higher in participants with pre-existing ASCVD vs. those without (Table 2). However, the rVE for all outcomes were consistent regardless of ASCVD status, with no sign of heterogeneity (all p-interaction ≥0.05) (Figure 1).

Conclusions:
In this pooled FLUNITY-HD analysis comprising 466,320 individuals ≥65 years of age, HD-IIV reduced the incidence of a wide range of clinical CV and respiratory outcomes compared with SD-IIV, regardless of pre-existing ASCVD. Patients with ASCVD may potentially derive greater absolute benefits from HD-IIV.
  • Pareek, Manan  ( Copenhagen University Hospital , Herlev , Denmark )
  • Chit, Ayman  ( Sanofi Vaccines , Swiftwater , Pennsylvania , United States )
  • Larsen, Carsten  ( Aarhus University Hospital , Aarhus , Denmark )
  • Larsen, Lykke  ( Odense University Hospital , Odense , Denmark )
  • Wiese, Lothar  ( Zealand University Hospital , Roskilde , Denmark )
  • Dalager-pedersen, Michael  ( Aalborg University Hospital , Aalborg , Denmark )
  • Claggett, Brian  ( Brigham and Women's Hospital , Boston , Massachusetts , United States )
  • Janstrup, Kira Hyldekær  ( Copenhagen University Hospital , Herlev , Denmark )
  • Duran Parrondo, Carmen  ( Dirección Xeral de Saúde Pública, Consellería de Sanidade , Xunta de Galicia , Spain )
  • Pineiro-sotelo, Marta  ( Galician Center for Disease Control and Prevention (CEGACE). Dirección Xeral de Saúde Pública , Xunta de Galicia , Spain )
  • Cribeiro-gonzalez, Martin  ( Department of Communicable Diseases, Dirección Xeral de Saúde Pública , Xunta de Galicia , Spain )
  • Johansen, Niklas  ( Copenhagen University Hospital , Herlev , Denmark )
  • Conde-pajaro, Monica  ( Dirección Xeral de Recursos Económicos, Servizo Galego de Saúde , Xunta de Galicia , Spain )
  • Miras-carballal, Susana  ( Galician Center for Disease Control and Prevention (CEGACE). Dirección Xeral de Saúde Pública , Xunta de Galicia , Spain )
  • Gonzalez Perez, Juan-manuel  ( Subdirección de Sistemas y Tecnologías de la Información , Xunta de Galicia , Spain )
  • Solomon, Scott  ( Brigham and Women's Hospital , Boston , Massachusetts , United States )
  • Sivapalan, Pradeesh  ( Copenhagen University Hospital , Herlev , Denmark )
  • Martel, Cyril  ( Epidemiological Infectious Disease Preparedness, Statens Serum Institut , Copenhagen , Denmark )
  • Jensen, Jens-ulrik Stæhr  ( Copenhagen University Hospital , Herlev , Denmark )
  • Martinon-torres, Federico  ( Instituto de Investigación Sanitaria de Santiago (IDIS) , Santiago de Compostela , Spain )
  • Biering-srensen, Tor  ( Copenhagen University Hospital , Herlev , Denmark )
  • Modin, Daniel  ( Copenhagen University Hospital , Herlev , Denmark )
  • Pardo-seco, Jacobo  ( Instituto de Investigación Sanitaria de Santiago (IDIS) , Santiago de Compostela , Spain )
  • Rodriguez-tenreiro, Carmen  ( Instituto de Investigación Sanitaria de Santiago (IDIS) , Santiago de Compostela , Spain )
  • Loiacono, Matthew  ( Sanofi Vaccines , Swiftwater , Pennsylvania , United States )
  • Harris, Rebecca  ( Sanofi Vaccines , Swiftwater , Pennsylvania , United States )
  • Dufournet, Marine  ( Sanofi Vaccines , Swiftwater , Pennsylvania , United States )
  • Van Aalst, Robertus  ( Sanofi Vaccines , Swiftwater , Pennsylvania , United States )
  • Author Disclosures:
    Manan Pareek: DO NOT have relevant financial relationships | Ayman Chit: No Answer Lykke Larsen: DO NOT have relevant financial relationships | Lothar Wiese: DO NOT have relevant financial relationships | Michael Dalager-Pedersen: DO NOT have relevant financial relationships | Brian Claggett: No Answer | Kira Hyldekaer Janstrup: DO NOT have relevant financial relationships | Carmen DURAN PARRONDO: DO NOT have relevant financial relationships | Marta Pineiro-Sotelo: No Answer | Martin Cribeiro González: DO NOT have relevant financial relationships | Niklas Johansen: DO NOT have relevant financial relationships | Monica Conde-Pajaro: No Answer | Susana Miras-Carballal: No Answer | Juan-Manuel Gonzalez Perez: No Answer | Scott Solomon: DO have relevant financial relationships ; Research Funding (PI or named investigator):Alexion, Alnylam, Applied Therapeutics, AstraZeneca, Bellerophon, Bayer, BMS, Boston Scientific, Cytokinetics, Edgewise, Eidos/BridgeBio, Gossamer, GSK, Ionis, Lilly,NIH/NHLBI, Novartis, NovoNordisk, Respicardia, Sanofi Pasteur, Tenaya, Theracos, US2.AI:Active (exists now) ; Consultant:Abbott, Action, Akros, Alexion, Alnylam, Amgen, Arena, Askbio, AstraZeneca, Bayer, BMS, Cardior, Cardurion, Corvia, Cytokinetics, GSK, Intellia, Lilly, Novartis, Roche, Theracos, Quantum Genomics, Tenaya, Sanofi-Pasteur, Dinaqor, Tremeau, CellProThera, Moderna, American Regent, Sarepta, Lexicon, Anacardio, Akros, Valo, Synhale, Recordati:Active (exists now) | Pradeesh Sivapalan: DO NOT have relevant financial relationships | Cyril Martel: DO NOT have relevant financial relationships | Jens-Ulrik Stæhr Jensen: No Answer | Federico Martinon-Torres: DO have relevant financial relationships ; Consultant:Sanofi:Active (exists now) ; Advisor:Biofabri:Active (exists now) ; Consultant:Pfizer:Active (exists now) ; Researcher:Pfizer:Active (exists now) ; Advisor:MSD:Active (exists now) ; Researcher:MSD:Active (exists now) ; Speaker:Astra Zeneca:Active (exists now) ; Researcher:Astra Zeneca:Active (exists now) ; Consultant:Moderna:Active (exists now) ; Researcher:Moderna:Active (exists now) ; Speaker:GSK:Active (exists now) ; Consultant:GSK:Active (exists now) ; Researcher:GSK:Active (exists now) ; Speaker:Sanofi:Active (exists now) ; Researcher:Sanofi:Active (exists now) | Tor Biering-Srensen: No Answer | Daniel Modin: DO NOT have relevant financial relationships | Jacobo Pardo-Seco: DO NOT have relevant financial relationships | Carmen Rodriguez-Tenreiro: DO NOT have relevant financial relationships | Matthew Loiacono: DO have relevant financial relationships ; Employee:Sanofi:Active (exists now) ; Individual Stocks/Stock Options:Sanofi:Active (exists now) | Rebecca Harris: DO have relevant financial relationships ; Employee:Sanofi:Active (exists now) ; Individual Stocks/Stock Options:Sanofi:Active (exists now) | Marine Dufournet: No Answer | Robertus van Aalst: No Answer
Meeting Info:

Scientific Sessions 2025

2025

New Orleans, Louisiana

Session Info:

Influenza and COVID Science

Monday, 11/10/2025 , 01:30PM - 02:45PM

Featured Science

More abstracts on this topic:
Association Between Arthritis and Heart Failure Among People with Hypertension in United States

Kookanok Chutawat, Lertsakulbunlue Sethapong, Wanichwecharungruang Nisha, Rochanaroon Voramol, Rodsom Kamonluk, Tantisattamo Ekamol, Poochanasri Methavee, Kulthamrongsri Narathorn, Kanthajan Tatchaya, Bhuriveth Varathpavee, Wareesawetsuwan Nicha, Sodsri Tulaton, Sripusanapan Adivitch, Siramongkholkarn Smuch

Comparing Combined Pneumococcal and Influenza Vaccines to Influenza Vaccine Alone in Coronary Artery Disease Patients: A Propensity Matched Analysis

Jaiswal Vikash, Hanif Muhammad, Jaiswal Akash, Sundas Fnu, Danisha Fnu, Deb Novonil, Bytyci Ibadete

More abstracts from these authors:
High-Dose vs. Standard-Dose Influenza Vaccine and Cardiovascular Outcomes: The FLUNITY-HD Pooled Analysis

Johansen Niklas, Larsen Carsten, Larsen Lykke, Wiese Lothar, Dalager-pedersen Michael, Claggett Brian, Janstrup Kira Hyldekær, Duran Parrondo Carmen, Pineiro-sotelo Marta, Cribeiro-gonzalez Martin, Conde-pajaro Monica, Modin Daniel, Miras-carballal Susana, Gonzalez Perez Juan-manuel, Solomon Scott, Sivapalan Pradeesh, Martel Cyril, Jensen Jens-ulrik Stæhr, Martinon-torres Federico, Biering-srensen Tor, Pardo-seco Jacobo, Rodriguez-tenreiro Carmen, Loiacono Matthew, Harris Rebecca, Dufournet Marine, Van Aalst Robertus, Chit Ayman

Influenza vaccination and risk of cardiovascular events: An instrumental variable analysis of >600,000 participants from the NUDGE-FLU-CHRONIC 1 and 2 trials

Modin Daniel, Janstrup Kira Hyldekær, Larsen Carsten, Larsen Lykke, Wiese Lothar, Dalager-pedersen Michael, Kober Lars, Solomon Scott, Sivapalan Pradeesh, Jensen Jens-ulrik Stæhr, Martel Cyril, Johansen Niklas, Krause Tyra Grove, Biering-srensen Tor, Angrist Joshua D., Yeh Robert, Wadhera Rishi, Vaduganathan Muthiah, Bhatt Ankeet, Chatur Safia, Claggett Brian

You have to be authorized to contact abstract author. Please, Login
Not Available