Logo

American Heart Association

  39
  0


Final ID: MP494

Disparities in Major Adverse Cardiovascular Outcomes Based on Body Mass Index and Estimated Glomerular Filtration Rate in Glucagon-like Peptide-1 Receptor Agonists Users Among Patients With and Without Diabetes Mellitus: A Meta-analysis of 9 Randomized Controlled trials.

Abstract Body (Do not enter title and authors here):
Background
Glucagon-like peptide-1 receptor agonists (GLP-1 RAs) reduce major adverse cardiovascular events (MACE) in patients with type 2 diabetes mellitus (T2DM) and high cardiovascular risk. However, disparities in MACE outcomes based on body mass index (BMI) and estimated glomerular filtration rate (eGFR) in patients with and without T2DM remain underexplored.
Objective
To evaluate the association between GLP-1 RA use and MACE in patients with or without T2DM, stratified by BMI (more then 30 and less or equal to 30 kg/m2), and eGFR ( more then 60 and less or equal to 60 mL/min/1.73 m2).
Methods
We performed a systematic literature search on PubMed, Scopus, and Clinicaltrial.gov for relevant randomized controlled trials (RCTs) from inception until June 4th, 2025. Studies were eligible for inclusion if they were having two arms, in one with GLP-1 RA and another with a placebo. Only cardiovascular outcomes reporting phase III trials were included in the analysis. Odds ratios (OR) and 95% confidence intervals (CI) were pooled using a random-effect model, and a p-value of <0.05 was considered statistically significant.
Results
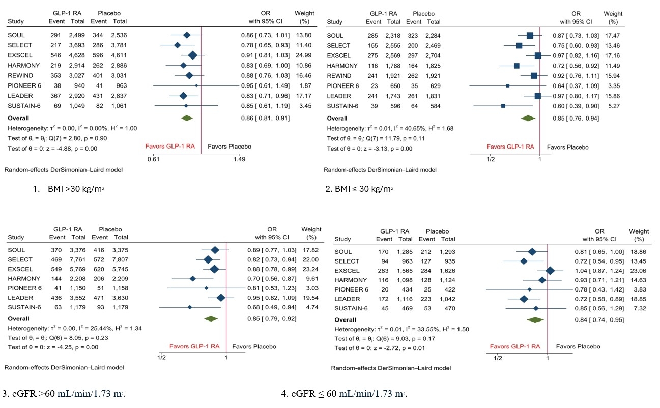
Eight RCTs involving 77,190 patients (38,571 receiving GLP-1 RA and 38,619 receiving placebo) were included in the analysis. The mean age of patients was 64 years. Compared with placebo, GLP-1 RA significantly reduced the risk of MACE in both BMI >30 group of patients (OR, 0.86 (95%CI: 0.82–0.92), p<0.001), and in BMI ≤ 30 group (OR, 0.85(95%CI: 0.76-0.94), p<0.001). Across eGFR groups, GLP-1 RA significantly reduced the risk of MACE in both groups of patients with eGFR >60 (OR, 0.85(95%CI: 0.79-0.92), p<0.001), and in eGFR ≤ 60 (OR, 0.84(95%CI: 0.74-0.95), p=0.01) when comparing with placebo.
Conclusion
This most comprehensive meta-analysis of Nine RCTs demonstrates consistent cardiovascular benefits observed across BMI and eGFR. It also highlights the broad applicability of GLP-1 RAs in diverse patient populations at high cardiovascular risk.
  • Jaiswal, Vikash  ( JCCR Cardiology Research , Jaunpur , India )
  • Jaiswal, Akash  ( AIIMS , New Delhi , India )
  • Author Disclosures:
    Vikash Jaiswal: DO NOT have relevant financial relationships | Akash Jaiswal: DO NOT have relevant financial relationships
Meeting Info:

Scientific Sessions 2025

2025

New Orleans, Louisiana

Session Info:

Next-Gen Therapies, Real-World Impact: Advancing Cardiovascular Outcomes Through Innovation and Insight

Saturday, 11/08/2025 , 01:45PM - 02:55PM

Moderated Digital Poster Session

More abstracts on this topic:
30-day and one-year outcomes of patients with severe aortic stenosis after TAVI using Myval : A Meta-analysis

Hasabo Elfatih A., Sultan Sherif, Soliman Osama, A. Aboali Amira, Hemmeda Lina, Salah Alaa, Alrawa Salma S., Elgadi Ammar, Abdalmotalib Malaz, Yasir H Eissa Abdullatif, Mahmmoud Fadelallah Eljack Mohammed

A Multimodality Education Model Improves Healthcare Professionals' Competency in Managing Cardiovascular Risk Factors in Type 2 Diabetes: A Mixed-Methods Study

Madhusudhan Divya, Pressley Alyssa, El Sayed Nuha, Okeke Oge, Bradley Sarah, Blanco Caroline, Perla Esteban, Jennings Ruby, Picou Kylie, Mcweeny Patrick, Crabill Carrianne

You have to be authorized to contact abstract author. Please, Login
Not Available