Logo

American Heart Association

  16
  0


Final ID: MP959

Prediction of Pulmonary Arteriosclerosis and Elevated Pulmonary Arterial Systolic Pressure Using Effective Atomic Numbers and Electron Density of Focal Peri-Pulmonary Arterial Adipose Tissue on Spectral CT in Patients without Coronary Arterial, Myocardial, and Valvular Diseases

Abstract Body (Do not enter title and authors here): Introduction: Inflammation in pericoronary adipose tissue may occur focally at adjacent plaque sites in the coronary arterial system. Similarly, inflammation in peri-pulmonary arterial (PA) adipose tissue may occur focally at pulmonary arterial (PA) system.
Hypothesis: Using effective atomic numbers (EANs) and electron density (ED) determined by spectral CT as new parameters, the focal characteristics of peri-PA adipose tissue is useful to predict PA wall calcification or thickened PA wall or elevated PA systolic pressure.
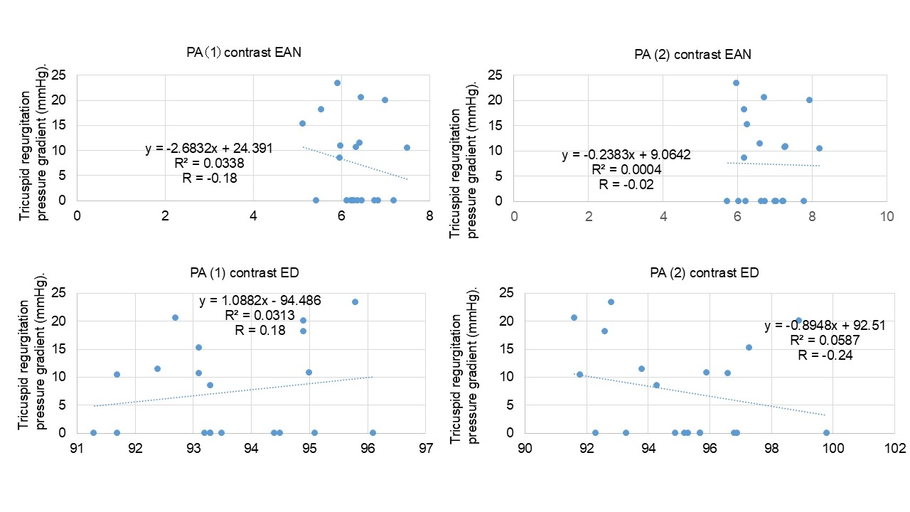
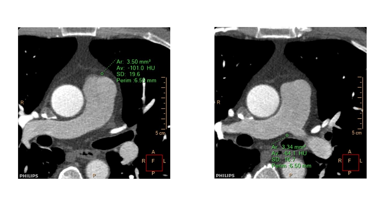
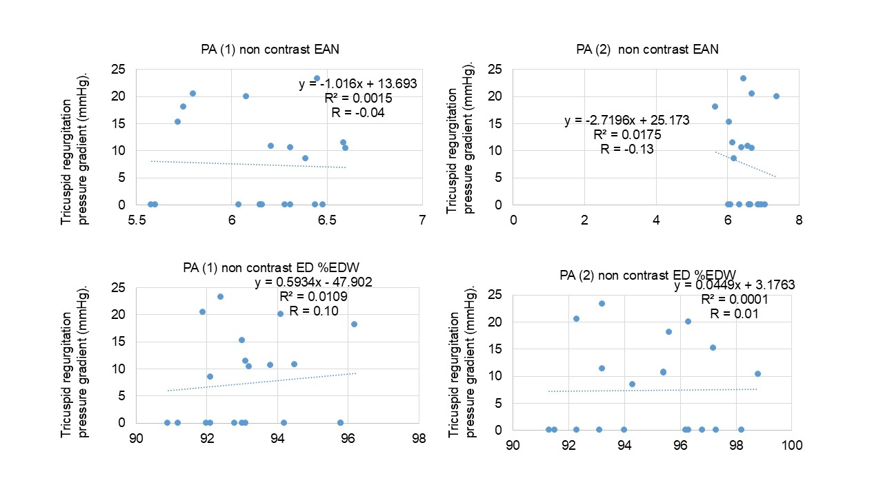
Methods: This is a retrospective analysis of 20 patients (7 male, mean age 54 year old) who underwent dual energy CT (7500, Philips) because of clinically suspected coronary artery diseases, but no significant stenosis in the coronary arteries on CT, and with normal ECG and transthoracic echocardiogram findings. From non-contrast and contrast data, presence of PA wall calcification, PA wall thickness in pulmonary trunk and proximal right PA. Furthermore, EANs and EDs (% electron density relative to water) of peri-PA adipose tissue were determined at two sites in each patient as represented in Figure 1. We compared tricuspid regurgitation pressure gradient (mmHg).
Results: On CT,no one showed PA wall calcification and mean PA wall thickness in pulmonary trunk and proximal right PA was 1.2±0.1mm. Mean EANs, and EDs of peri-PA adipose tissue at corresponding sites, were 6.15, and 6.52 (EANs), and 93.2 and 94.9 at in site 1 and 2, respectively in non-contrast phase, and 6.32, and 6.82 (EANs) in site 1 and 2, respectively in early phase. Correlation coefficients of each EAN and ED against tricuspid regurgitation pressure gradient on transthoracic echocardiogram were -0.04 and -0.13 (EANs), and 0.10 and 0.01 at in site 1 and 2, respectively in non-contrast phase, and -0.18 and -0.02 (EANs), and 0.18 and -0.24 at in site 1 and 2, respectively in early phase (Figure 2 and 3).
Conclusion: This is the first study to evaluate focal peri-PA adipose tissue by EANs, and EDs and its relationship to presence of PA wall calcification, thickening of PA wall, and estimated PA systolic pressure. Right sided heart is low pressure system and there were no PA wall calcification nor PA wall thickening, but EANs, and EDs may be useful to predict future occurrence of pulmonary hypertension, which is related to peri-PA adipose tissue inflammation.
  • Funabashi, Nobusada  ( IUHW Ichikawa Hospital , Ichikawa , Japan )
  • Kaneko, Aya  ( Chibanishi General Hospital , Matsudo , Japan )
  • Sakaguchi, Yamato  ( Chibanishi general hospital , Chiba prefecture , Japan )
  • Author Disclosures:
    Nobusada Funabashi: DO NOT have relevant financial relationships | aya kaneko: DO NOT have relevant financial relationships | Yamato Sakaguchi: DO NOT have relevant financial relationships
Meeting Info:

Scientific Sessions 2025

2025

New Orleans, Louisiana

Session Info:

Visualizing Pulmonary Hypertension: Exploring the Role of Imaging in Disease Understanding

Saturday, 11/08/2025 , 01:45PM - 03:00PM

Moderated Digital Poster Session

More abstracts on this topic:
Adipose tissue plasticity in response to early pathological stress on the heart and mediation by adipose thermogenic activation

James Natasha Maria, Stanford Kristin, Challa Azariyas, Vidal Souza Pablo, Pardeshi Parth, Maurya Santosh, Wang Yang, Baer Lisa, Carley Andrew, Lewandowski E Douglas

Association Between Bovine Aortic Arch Anatomy and Carotid Artery Stenosis

Kalina Samuel, Mahmoudi Hamidabad Negin, Benson John, Nogami Kai, Mahmoudi Elham, Saba Luca, Lanzino Giuseppe, Nardi Valentina, Lerman Amir

You have to be authorized to contact abstract author. Please, Login
Not Available