Logo

American Heart Association

  30
  0


Final ID: MP305

Prostate Cancer Imposes Significant Risk for Cardiovascular Events: Insights from the CLARIFY Registry

Abstract Body (Do not enter title and authors here): Background:
Prostate cancer tends to be a slow-growing malignancy, and oftentimes patient mortality is the result of non-cancerous disease processes. Recent studies have identified an increased risk of cardiovascular disease (CVD) in prostate cancer (PCa) patients—this may relate to increased cardiovascular susceptibility compared to the average population.

Hypothesis:
We hypothesized that prostate cancer patients had a higher propensity for major adverse cardiac events (MACE) than patients with similar cardiovascular risk factors.

Aims:
Our study aimed to assess CVD susceptibility in PCa patients by evaluating MACE rates in PCa and non-PCa patients within similar baseline cardiovascular risk categories, as determined by coronary artery calcium (CAC) score.

Methods:
Using data obtained from the CLARIFY registry (Clinicaltrials.gov NCT04075162), a large prospective study of no-charge CAC testing, we identified 1,942 patients with PCa and 50,511 non-PCa patients over 9 years of the program (January 2014-September 2023). Patients were divided by CAC group (CAC = 0, 1-99, 100-399, ≥ 400) and followed for MACE (myocardial infarction, stroke, heart failure admission, revascularization, and death). Cohort analyses compared cumulative MACE probability using Kaplan-Meier and Mantel-Cox test and hazard ratios (HR) from Cox-proportional hazard regression adjusted for race, hypertension, diabetes, hyperlipidemia, and obesity.

Results:
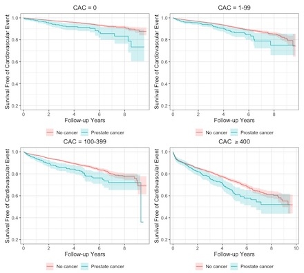
Median follow-up time was 1.7 years with 289 MACE (15%) in PCa and 2930 MACE (6%) in non-PCa patients. PCa was associated with significantly increased MACE (p < .01) in all CAC groups (Figure). PCa patients had significantly increased hazard for MACE compared to non-PCa patients in CAC = 0 (HR 1.63 [1.14, 2.35], p < .01), CAC = 100-399 (HR 1.53 [1.20, 1.95], p < .01), and CAC ≥ 400 (HR 1.25 [1.04, 1.50], p = 0.02).

Conclusion:
PCa patients with no prior history of MACE are at a significantly increased risk for MACE in almost all CAC groups after adjustment for multiple factors. These data suggest mechanisms unique to PCa and/or its treatment that confers higher CVD events. Thus, there should be a lower threshold to implement cardiac risk reduction measures, including lifestyle modifications, statins, and other medical therapy, in PCa patients.
  • Shamsa, El Hussain  ( University Hospitals - Case Western , Cleveland , Ohio , United States )
  • Neeland, Ian  ( University Hospitals - Case Western , Cleveland , Ohio , United States )
  • Deo, Salil  ( Case Western Reserve University , Cleveland , Ohio , United States )
  • Rajagopalan, Sanjay  ( University Hospitals - Case Western , Cleveland , Ohio , United States )
  • Sirasapalli, Santosh  ( University Hospitals - Case Western , Cleveland , Ohio , United States )
  • Okyere, Robert  ( University Hospitals - Case Western , Cleveland , Ohio , United States )
  • Khawaja, Tasveer  ( University Hospitals - Case Western , Cleveland , Ohio , United States )
  • Chen, Zhuo  ( University Hospitals - Case Western , Cleveland , Ohio , United States )
  • Dazard, Jean-eudes  ( University Hospitals - Case Western , Cleveland , Ohio , United States )
  • Ponnana, Sai Rahul  ( Case Western Reserve University , Cleveland , Ohio , United States )
  • Sivanantham, Kanimozhi  ( University Hospitals CMC-CWRU , Ada , Michigan , United States )
  • Zhang, Tong  ( Case Western Reserve University , Cleveland , Ohio , United States )
  • Author Disclosures:
    El Hussain Shamsa: DO NOT have relevant financial relationships | Ian Neeland: DO have relevant financial relationships ; Consultant:Boehringer Ingelheim:Past (completed) ; Advisor:MJH Life Sciences:Active (exists now) ; Advisor:Novo Nordisk:Past (completed) ; Speaker:Bayer:Active (exists now) ; Speaker:Eli Lilly:Active (exists now) ; Consultant:Eli Lilly:Past (completed) ; Speaker:Boehringer Ingelheim:Active (exists now) | Salil Deo: DO NOT have relevant financial relationships | Sanjay Rajagopalan: DO NOT have relevant financial relationships | Santosh Sirasapalli: No Answer | Robert Okyere: DO NOT have relevant financial relationships | Tasveer Khawaja: DO NOT have relevant financial relationships | Zhuo Chen: DO NOT have relevant financial relationships | Jean-Eudes Dazard: No Answer | Sai Rahul Ponnana: DO NOT have relevant financial relationships | Kanimozhi Sivanantham: DO NOT have relevant financial relationships | Tong Zhang: DO NOT have relevant financial relationships
Meeting Info:

Scientific Sessions 2025

2025

New Orleans, Louisiana

Session Info:

Imaging Insights from Multicenter Clinical Trials

Saturday, 11/08/2025 , 10:45AM - 11:55AM

Moderated Digital Poster Session

More abstracts on this topic:
A Comparison Between Global Longitudinal Strain (GLS) Derived with CMR Feature-Tracking (CMR-FT) and 2D Speckle-Tracking Echocardiography (2D-STE) to Monitor Cancer Therapy-Related Cardiac Dysfunction (CTRCD)

Kar Julia, Cohen Michael, Revere Cherie, Mcquiston Samuel, Malozzi Christopher

Age-Related Differences in Aortic Valve Calcium Progression and the Risk for Aortic Stenosis: Multi-Ethnic Study of Atherosclerosis

Marrero Natalie, Thanassoulis George, Rotter Jerome, Blaha Michael, Whelton Seamus, Jha Kunal, Grant Jelani, Razavi Alexander, Budoff Matthew, Shah Sanjiv, Blumenthal Roger, Post Wendy, Shaw Leslee

More abstracts from these authors:
Green Space Engagement and Chronic Disease Prevalence Across Urban and Rural U.S. Communities: A Nationwide Analysis Using Mobility Data

Zhang Tong, Okyere Robert, Al-kindi Sadeer, Deo Salil, Chen Zhuo, Rajagopalan Sanjay, Narang Yuvraj, Ponnana Sai Rahul, Dazard Jean-eudes, Sirasapalli Santosh, Dong Weichuan, Sivanantham Kanimozhi, Glidden Michael, Shamsa El Hussain

A Machine Learning-Derived Socio-Environmental Risk Score More Accurately Predicts Cardiovascular Events and Better Addresses Health Inequities than Social Deprivation Index

Chen Zhuo, Nasir Khurram, Al-kindi Sadeer, Rajagopalan Sanjay, Ponnana Sai Rahul, Dazard Jean-eudes, Zhang Tong, Dong Weichuan, Okyere Robert, Sirasapalli Santosh, Deo Salil, Khraishah Haitham

You have to be authorized to contact abstract author. Please, Login
Not Available