Logo

American Heart Association

  52
  0


Final ID: MP1922

Artificial Intelligence-based screening for Hypertrophic Cardiomyopathy from Single-lead Electrocardiograms: A Multinational Development and Validation Study

Abstract Body (Do not enter title and authors here): Background: Hypertrophic cardiomyopathy (HCM) is a leading cause of sudden death in young and middle-aged adults and frequently goes undiagnosed due to the absence of accessible and scalable screening strategies. Artificial intelligence (AI) applied to single-lead electrocardiograms (ECGs) from portable devices offers a promising approach for large-scale screening. However, noisy signals can substantially compromise diagnostic accuracy.
Aim: We developed and validated a noise-adapted AI-ECG model specifically designed to detect HCM from noisy single-lead ECGs.

Methods: We developed an AI-ECG model using lead I from 160,396 unique 12-lead ECGs of 85,967 individuals in the Yale New Haven Health System (YNHHS) and augmented the ECG signal with real-world noises to develop noise-resilient models. A held-out test including 38,426 ECGs from unique individuals (mean age of 53.9 ± 19.3 years, 20,309 [53%] women) was used for internal validation. There were 59 (0.2%) HCM cases, adjudicated by expert clinicians using cardiac magnetic resonance (CMR) imaging. External validation was performed in manually validated MIMIC-IV (n=995, 66 HCM cases) and the UK Biobank (n=57,963, 53 HCM cases). To assess model fairness, we conducted stratified analyses by age, sex, race/ethnicity, and key ECG features.

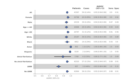
Results: The model demonstrated robust discrimination in internal validation with an area under the receiver operating curve (AUROC) of 0.95 (95% CI 0.93-0.97), sensitivity of 0.90 and specificity op 0.90 (Fig. 1). The performance remained consistent in external validation in MIMIC-IV (AUROC 0.92 [0.89-0.95]) and UK Biobank (AUROC 0.88 [0.82-0.93]). Stratified analyses demonstrated stable model performance across all demographic subgroups, including age (≥60,> 60 and <60), sex (men vs. women), and racial/ethnic subgroups. (Fig. 2) However, diagnostic accuracy was lower in patients with left bundle branch block or atrial fibrillation.

Conclusion: Our findings demonstrate that a noise-adapted AI-ECG model can effectively detect HCM from noisy, single-lead ECGs. This approach has the potential to enable scalable, automated, and accessible screening using wearable or portable ECG devices for the earlier identification of HCM in community settings.
  • Croon, Philip  ( Yale , New Haven , Connecticut , United States )
  • Aminorroaya, Arya  ( Yale University , New Haven , Connecticut , United States )
  • Pedroso, Aline  ( Yale School of Medicine , New Haven , Connecticut , United States )
  • Dhingra, Lovedeep  ( Yale School Of Medicine , New Haven , Connecticut , United States )
  • Khera, Rohan  ( Yale School of Medicine , New Haven , Connecticut , United States )
  • Author Disclosures:
    Philip Croon: DO NOT have relevant financial relationships | Arya Aminorroaya: DO NOT have relevant financial relationships | Aline Pedroso: DO NOT have relevant financial relationships | Lovedeep Dhingra: DO NOT have relevant financial relationships | Rohan Khera: DO have relevant financial relationships ; Research Funding (PI or named investigator):Bristol-Myers Squibb:Active (exists now) ; Research Funding (PI or named investigator):NovoNordisk:Active (exists now) ; Research Funding (PI or named investigator):BridgeBio:Active (exists now)
Meeting Info:

Scientific Sessions 2025

2025

New Orleans, Louisiana

Session Info:

Deep Learning and Enhancing Risk Evaluation

Monday, 11/10/2025 , 01:45PM - 02:35PM

Moderated Digital Poster Session

More abstracts on this topic:
A Case Report of Cardiac Tamponade due to Mycoplasma Pneumoniae-induced Pericarditis - A Rare Complication of a Commonly seen Bacterial Infection

Patel Vidhi, Maharjan Reeju, Okan Tetyana, Singh Bhupinder, Colasacco Joseph

A large-scale multi-view deep learning-based assessment of left ventricular ejection fraction in echocardiography

Jing Linyuan, Metser Gil, Mawson Thomas, Tat Emily, Jiang Nona, Duffy Eamon, Hahn Rebecca, Homma Shunichi, Haggerty Christopher, Poterucha Timothy, Elias Pierre, Long Aaron, Vanmaanen David, Rocha Daniel, Hartzel Dustin, Kelsey Christopher, Ruhl Jeffrey, Beecy Ashley, Elnabawi Youssef

You have to be authorized to contact abstract author. Please, Login
Not Available