Logo

American Heart Association

  54
  0


Final ID: MP655

Beyond the Octogenarian Threshold: A Nationwide, Multicenter Three-Year Analysis of Post-Ablation Safety Outcomes in Elderly Atrial Fibrillation Patients

Abstract Body (Do not enter title and authors here): Background
Evidence on the safety of atrial fibrillation (AF) catheter ablation in U.S. patients over 80 years old remains limited. With growing life expectancy, more elderly individuals are being considered for this intervention, underscoring the need for age-specific safety data to guide clinical decision-making.
Hypothesis
Elderly age is associated with increased procedural complications and mortality, suggesting a higher-risk profile and reduced safety.
Aim
To provide critical insights into the real-world risks and complications.
Methods
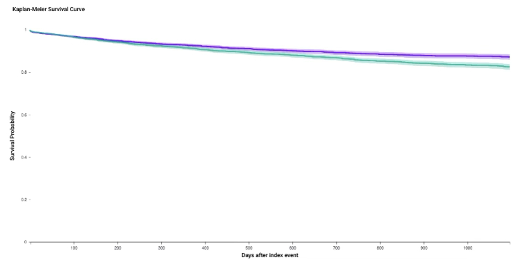
In this U.S.-based multicenter cohort study using the TriNetX dataset, we identified adults (≥ 60 years old) with new-onset AF and underwent catheter ablation within 6 months. Patients were categorized by age into first AF between 60 to 79 years old (defined as older adults), and first AF older than 80 years old (defined as elderly adults). Propensity score matching (1:1) balanced groups by demographics, comorbidities, and medications. The primary end point was the risk of repeat AF ablation at 3-year intervals. Secondary endpoints included new or ongoing antiarrhythmic (AAD) use, ischemic stroke, safety outcomes including heart failure (HF) exacerbations, composite pericardial complications, new venous thromboembolism (VTE), cardiac arrest, vascular access complications and all-cause hospitalizations, and all-cause death. Falsification outcomes included urinary tract infections (UTI) and herpes zoster. Kaplan-Meier analysis and log-rank tests compared outcomes; hazard ratios (HRs) with 95% CI were calculated using Cox regression.
Results
After propensity score matching into well-balanced groups (N= 5,032 per group at 3-year follow-up), elderly adults were more likely to receive repeat catheter ablation. There were no differences between groups in AAD, VTE outcomes. Elderly adults were at higher risk of ischemic stroke (HR = 1.75, 95% CI = 1.52-2.02, p=0.002), new HF exacerbation (HR=1.75, 95% CI = 1.52-2.02, p<0.01), and new complete heart block or sick sinus syndrome (HR=1.85, 95% CI =1.59-2.16, p<0.01). Elderly adults were also more likely to encounter all-cause hospitalizations (HR=1.39-1.48, p<0.01) and all-cause death (HR=1.98, 95%CI=1.71-2.30, p<0.01).
Conclusion
Elderly adults (≥80 years) undergoing AF ablation had significantly higher risk of complications than older adults (60-79 years). This underscore the importance of further investigations to ascertain the risk factors and potential development of screening tool.
  • Wang, Yu-chiang  ( John A Burn School of Medicine, University of Hawaii , Honolulu , Hawaii , United States )
  • Hsieh, Rebecca  ( Danbury Hospital , Danbury , Connecticut , United States )
  • Ahuja, Rahul  ( John A Burn School of Medicine, University of Hawaii , Honolulu , Hawaii , United States )
  • Fu, Yiwen  ( John A Burn School of Medicine, University of Hawaii , Honolulu , Hawaii , United States )
  • Sarcon, Annahita  ( University of Southern California , Los Angeles , California , United States )
  • Rattanawong, Pattara  ( Massachusetts General Hospital , Boston , Massachusetts , United States )
  • Author Disclosures:
    Yu-Chiang Wang: DO NOT have relevant financial relationships | Rebecca Hsieh: DO NOT have relevant financial relationships | Rahul Ahuja: No Answer | Yiwen Fu: DO NOT have relevant financial relationships | Annahita Sarcon: No Answer | Pattara Rattanawong: No Answer
Meeting Info:

Scientific Sessions 2025

2025

New Orleans, Louisiana

Session Info:

What Drives Success? Trends and Predictive Factors in AF Ablation Outcomes

Saturday, 11/08/2025 , 09:15AM - 10:30AM

Moderated Digital Poster Session

More abstracts on this topic:
A novel risk score predicts the prevalence of left atrial low-voltage areas and rhythm outcome in patients undergoing long-standing persistent atrial fibrillation ablation

Ooka Hirotaka, Nakao Sho, Kusuda Masaya, Ariyasu Wataru, Kudo Satoshi, Fujii Subaru, Mano Toshiaki, Matsuda Yasuhiro, Masuda Masaharu, Okamoto Shin, Ishihara Takayuki, Nanto Kiyonori, Tsujimura Takuya, Hata Yosuke, Uematsu Hiroyuki

Association of thrombectomy with clinical outcomes in elderly patients presenting beyond 24 hours of last known well – A secondary analysis of SELECT LATE study

Pujara Deep, Sitton Clark, Wu Teddy, Blasco Jordi, Sangha Navi, Arenillas Juan, Opaskar Amanda, Mccullough-hicks Margy, Wallace Adam, Arthur Adam, Grotta James, Kleinig Timothy, Parsons Mark, Ribo Marc, Albers Gregory, Campbell Bruce, Sarraj Amrou, Hassan Ameer, Cardona Pedro, Ortega-gutierrez Santiago, Abraham Michael, Manning Nathan, Goyal Nitin, Blackburn Spiros

More abstracts from these authors:
Is Age Just a Number? A Nationwide Multicenter Analysis of Post-Ablation Safety in Elderly Atrial Fibrillation Patients

Wang Yu-chiang, Hsieh Rebecca, Lee Pei-lun, Chi Kuan Yu, Kumar Agara, Ahuja Rahul, Rattanawong Pattara

Silent Fibrosis, Loud Signals: Early-Onset Atrial Arrhythmias as the Sentinel of Familial Restrictive Cardiomyopathy

Wang Yu-chiang, Tanoue Michael, Suri Ranjit, Sarcon Annahita, Shah Parthav, Park Charlotte, Ahuja Rahul, Fu Yiwen, Hsieh Rebecca, Yinadsawaphan Thanaboon, Abdul-ghani Sarah, Kwong Helaine

You have to be authorized to contact abstract author. Please, Login
Not Available