Logo

American Heart Association

  66
  0


Final ID: MP1822

The Predictive Utility of Serial Graded Cardiac Response on Survival in AL Cardiac Amyloidosis: Real-World Data from a Large Amyloidosis Center

Abstract Body (Do not enter title and authors here): Introduction
AL cardiac amyloidosis (AL-CA) is marked by extracellular deposition of misfolded immunoglobulin light chains, leading to cardiac dysfunction and increased mortality. The Revised Mayo staging system, incorporating cardiac biomarkers, is widely used to assess disease severity and guide treatment. Graded cardiac response to therapy, which reflects changes in cardiac biomarkers, has emerged as an effective prognostic tool beyond baseline staging. This study aims to describe clinical and cardiac biomarker profiles across Mayo stages and to validate the association between graded cardiac response at serial timepoints and survival after first-line therapy.

Methods
We retrospectively analyzed patients diagnosed with AL-CA at the Cleveland Clinic Foundation (CCF) between January 2012 and December 2022, excluding those with missing demographics or non-AL amyloidosis cases. The Overall Response Rate (ORR) was calculated as a composite outcome of the graded cardiac responses to front-line therapy as follows: complete response (CR) + very good partial response (VGPR) + partial response (PR)

Results
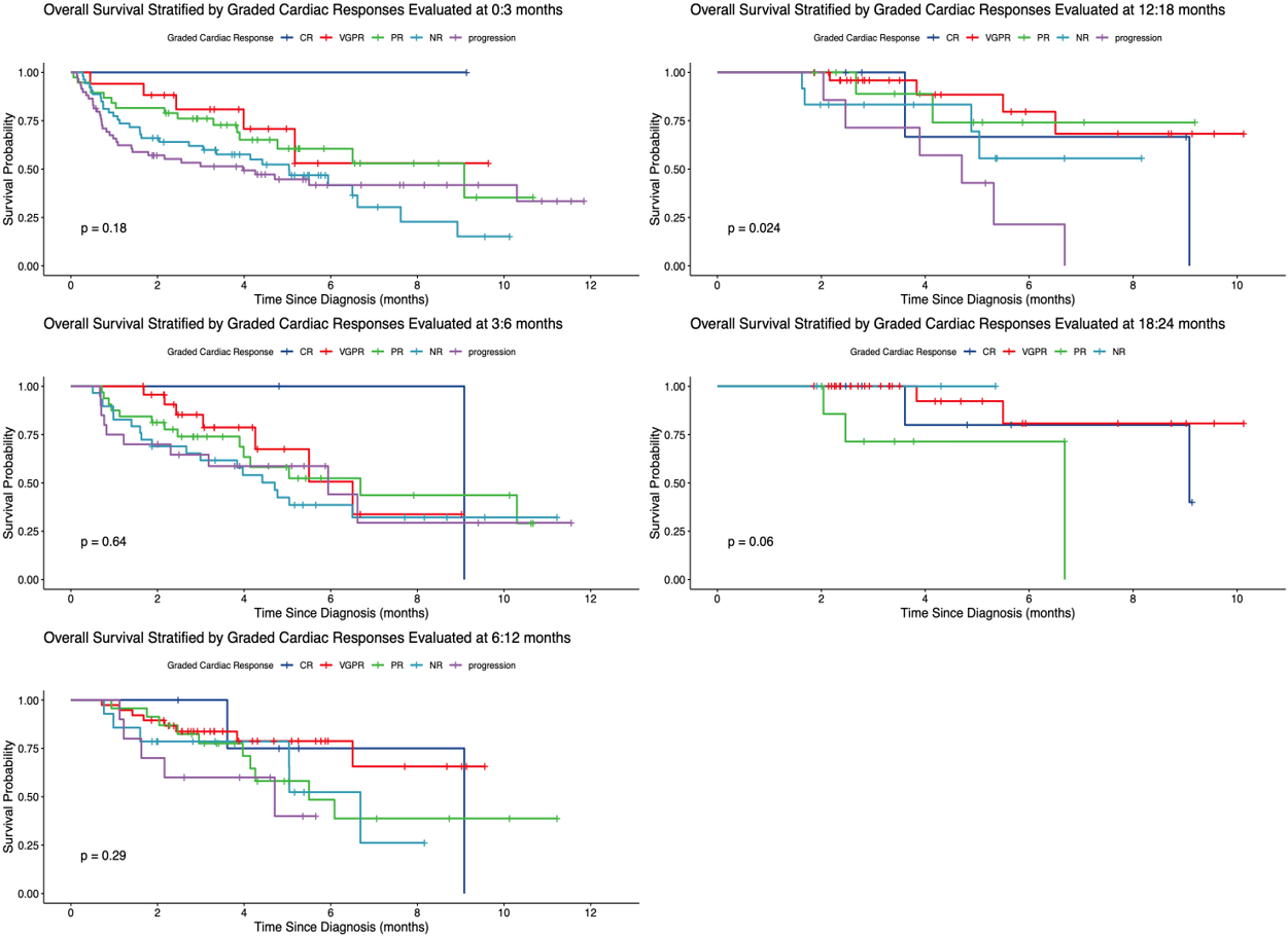
We included 411 patients (63.7% male, 78.6% white; median age 68 years (IQR: 31–92). Mayo stages distribution was stage I (3.6%), II (12%), III (27.7%), and IV (56%). NYHA class III was prevalent in Mayo stages III and IV (45.4% and 44.7%, respectively), whereas Mayo stage II patients were mostly NYHA class II (45%; p=0.007). NT-proBNP and Troponin T increased significantly with advancing stage (p<0.001). LVEF was highest at Mayo stage II (60%) and lowest at stage IV (52%; p<0.001) (Table 1). Treatment regimens included Dara CyBorD (19%), CyBorD (54%), Daratumumab alone (3.5%), and VD/RD (18%). ORR improved progressively from 32.4% at 3 months to 94% at 24 months (Figure 1). Survival analysis indicated a significant correlation between response rate at 12–18 months and improved survival (log-rank p=0.024). Response assessments at earlier (0–3 months, p=0.18; 3–6 months, p=0.64; 6–12 months, p=0.29) and later (18–24 months, p=0.06) intervals were not significantly associated with survival (Figure 2).

Conclusions
Advanced Mayo stages correlate with higher biomarker burden, reduced LVEF, and greater diastolic dysfunction. Although cardiac response rates generally improve over time, only responses assessed at mid-term intervals (12–18 months) significantly predict improved survival outcomes, highlighting the importance of achieving early therapeutic response in AL-CA
  • Mohamed, Ahmed  ( Charleston Area Medical Center , Charleston , West Virginia , United States )
  • Anwer, Faiz  ( Cleveland Clinic Foundation , Cleveland , Ohio , United States )
  • Hanna, Mazen  ( Cleveland Clinic Foundation , Cleveland , Ohio , United States )
  • Basali, Diana  ( Cleveland Clinic Foundation , Cleveland , Ohio , United States )
  • Zou, Yan  ( Cleveland Clinic Foundation , Cleveland , Ohio , United States )
  • Wang, Xiaofeng  ( Cleveland Clinic Foundation , Cleveland , Ohio , United States )
  • Martyn, Trejeeve  ( Cleveland Clinic Foundation , Cleveland , Ohio , United States )
  • Carmona Rubio, Andres  ( Cleveland Clinic Foundation , Cleveland , Ohio , United States )
  • Finet, J. Emanuel  ( Cleveland Clinic Foundation , Cleveland , Ohio , United States )
  • Elbahloul, Mohammed A.  ( Kafr El-Shaikh Faculty of Medicine , Kafr El-Shaikh , Egypt )
  • Valent, Jason  ( Cleveland Clinic Foundation , Cleveland , Ohio , United States )
  • Author Disclosures:
    Ahmed Mohamed: DO NOT have relevant financial relationships | Faiz Anwer: DO have relevant financial relationships ; Advisor:BMS:Active (exists now) ; Consultant:Poseida Therapeutics:Active (exists now) ; Consultant:Caribou biosciences:Active (exists now) ; Research Funding (PI or named investigator):Caribou biosciences:Active (exists now) ; Advisor:Bristol Myers Squibb:Active (exists now) | Mazen Hanna: DO have relevant financial relationships ; Advisor:Pfizer:Active (exists now) ; Advisor:Alnylam:Active (exists now) ; Advisor:ATTRALUS:Active (exists now) ; Advisor:Alexion:Active (exists now) ; Advisor:Ionis:Active (exists now) ; Advisor:Bridge Bio:Active (exists now) | Diana Basali: No Answer | Yan Zou: DO NOT have relevant financial relationships | Xiaofeng Wang: DO NOT have relevant financial relationships | Trejeeve Martyn: DO have relevant financial relationships ; Consultant:AstraZeneca:Active (exists now) ; Research Funding (PI or named investigator):HFSA:Active (exists now) ; Research Funding (PI or named investigator):Ionis Therapeutics:Past (completed) ; Research Funding (PI or named investigator):AstraZeneca:Active (exists now) ; Consultant:BridgeBio:Past (completed) ; Consultant:Prolaio:Past (completed) ; Consultant:Fire1:Past (completed) ; Advisor:Apricity Robotics :Active (exists now) ; Advisor:Kilele Health:Active (exists now) ; Consultant:Pfizer:Past (completed) ; Consultant:Boehringer Ingelheim:Past (completed) ; Consultant:Novo Nordisk:Past (completed) | Andres Carmona Rubio: No Answer | J. Emanuel Finet: No Answer | Mohammed A. Elbahloul: DO NOT have relevant financial relationships | Jason Valent: No Answer
Meeting Info:

Scientific Sessions 2025

2025

New Orleans, Louisiana

Session Info:

Contemporary Cardiac Amyloidosis Research

Sunday, 11/09/2025 , 03:15PM - 04:30PM

Moderated Digital Poster Session

More abstracts on this topic:
Association of Race with Disease Expression and Clinical Outcomes among Patients with Mitral Valve Prolapse

Desai Aishwary, Shalaby Alaa, Estes Nathan, Saba Samir, Jain Sandeep, Bhonsale Aditya, Thoma Floyd, Naniwadekar Aditi, Singla Virginia, Wong Timothy, Kancharla Krishna, Mulukutla Suresh, Katz William, Voigt Andrew

Aggressive Risk factor REduction STudy for Atrial Fibrillation (ARREST-AF) implications for ablation outcomes: A Randomized Clinical Trial

Pathak Rajeev, Mahajan Rajiv, Abhayaratna Walter, Kalman Jonathan, Sanders Prashanthan, Elliott Adrian, Lau Dennis, Middeldorp Melissa, Linz Dominik, Fitzgerald John, Ariyaratnam Jonathan, Malik Varun, Noubiap Jean Jacques

More abstracts from these authors:
Reappraising left ventricular wall thickness in transthyretin cardiac amyloidosis: A survey of the diagnostic journeys of patients with normal posterior wall thickness

Patolia Harsh, Jaber Wael, Klein Allan, Popovic Zoran, Collier Patrick, Hanna Mazen, Manaila Alexandra, Massad Faysal, Kassab Joseph, El Dahdah Joseph, Finet J. Emanuel, Carmona Rubio Andres, Martyn Trejeeve, Kwon Deborah

Ten-Year Survival in AL Cardiac Amyloidosis: Does Mayo Staging still matter in the Recent era?

Mohamed Ahmed, Anwer Faiz, Hanna Mazen, Basali Diana, Zou Yan, Wang Xiaofeng, Martyn Trejeeve, Carmona Rubio Andres, Finet J. Emanuel, Mansour Ahmed, Valent Jason

You have to be authorized to contact abstract author. Please, Login
Not Available