Logo

American Heart Association

  66
  0


Final ID: MP1333

Impact of New Heart Transplant Centers on Regional Transplant Volume and Outcomes

Abstract Body (Do not enter title and authors here): Introduction: Heart transplantation (HT) is a critical therapy for patients with end stage heart failure. HT volumes have increased since 2010, but the demand for this therapy continues to surpass the supply of donor organs. Although initiation of new transplant centers may increase access to HT, their impact on regional transplant volume and subsequent clinical outcomes remain unclear.

Research Question: What is the impact of starting a new or reactivating a closed HT center on regional transplant volume and patient outcomes of waitlist time, waitlist mortality, and 1-year post-transplant mortality?

Methods: Data from the Scientific Registry of Transplant Recipients (SRTR), which includes data on all transplant candidates and recipients in the United States, were analyzed. New centers and re-opened centers (defined as 2 years of no transplants before restarting) from 2010 to 2023 were included. We used multivariable-adjusted Poisson mixed effects, competing risk, and Cox models to assess associations between center activity and volume, waitlist outcomes, and post-transplant mortality.

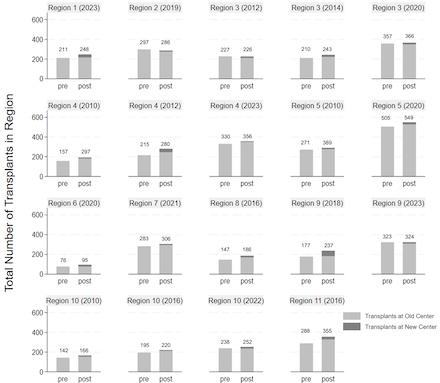
Results: Seventeen new centers launched and five re-opened from 2010-2023, representing all 11 OPTN regions. In a majority of new center openings, total regional transplant volume increased without decrease in existing center volume (Figure 1). Addition of a new center did not significantly increase regional transplant volume or decrease waitlist time in the year after initiation. Reactivated centers were associated with an increased chance of receiving a transplant (HR 1.20, 95% CI [1.11, 1.28]) and lower waitlist mortality (HR 0.88, 95% CI [0.81, 0.86]). New centers were associated with higher waitlist mortality (HR 1.03, 95% CI [1.01, 1.05]), although a higher percentage of these patients had been in ICU prior to transplant. There was no difference in 1-year post-transplant mortality with either new or re-opened centers.

Conclusions: Regional volume of transplants was higher following initiation of a new or reactivation of a closed HT center but this increase was not statistically significant after controlling for important variables. Similar post-transplant outcomes were observed, allaying concerns that center addition might negatively impact outcomes. Notably, re-opened centers were associated with improvement in wait time and waitlist mortality.
  • Zhang, Amy  ( Beth Israel Deaconess Medical Center , Boston , Massachusetts , United States )
  • Zhang, Cancan  ( Beth Israel Deaconess Medical Center , Boston , Massachusetts , United States )
  • Quintero, Pablo  ( Beth Israel Deaconess Medical Center , Boston , Massachusetts , United States )
  • Grandin, Edward  ( Beth Israel Deaconess Medical Center , Boston , Massachusetts , United States )
  • Oseran, Andrew  ( Beth Israel Deaconess Medical Center , Boston , Massachusetts , United States )
  • Ho, Jennifer  ( Beth Israel Deaconess Medical Center , Boston , Massachusetts , United States )
  • Hyland, Patrick  ( Beth Israel Deaconess Medical Center , Boston , Massachusetts , United States )
  • Upshaw, Jenica  ( Beth Israel Deaconess Medical Center , Boston , Massachusetts , United States )
  • Sabe, Marwa  ( Beth Israel Deaconess Medical Center , Boston , Massachusetts , United States )
  • Fleming, Lisa  ( Beth Israel Deaconess Medical Center , Boston , Massachusetts , United States )
  • Guardino, Cara  ( Beth Israel Deaconess Medical Center , Boston , Massachusetts , United States )
  • Wadhera, Rishi  ( Beth Israel Deaconess Medical Center , Boston , Massachusetts , United States )
  • Tsukioka, Yusuke  ( Beth Israel Deaconess Medical Center , Boston , Massachusetts , United States )
  • Aguilar, Laura  ( Beth Israel Deaconess Medical Center , Boston , Massachusetts , United States )
  • Delgado, Alvaro  ( Beth Israel Deaconess Medical Center , Boston , Massachusetts , United States )
  • Maffioletti Goncalves, Lucas  ( Beth Israel Deaconess Medical Center , Boston , Massachusetts , United States )
  • Kai, Masashi  ( Beth Israel Deaconess Medical Center , Boston , Massachusetts , United States )
  • Garan, Arthur Reshad  ( Beth Israel Deaconess Medical Center , Boston , Massachusetts , United States )
  • Author Disclosures:
    Amy Zhang: DO NOT have relevant financial relationships | lisa fleming: DO NOT have relevant financial relationships | Cara Guardino: No Answer | Rishi Wadhera: DO have relevant financial relationships ; Consultant:Abbott Vascular:Past (completed) | Yusuke Tsukioka: No Answer | Laura Aguilar: DO NOT have relevant financial relationships | Alvaro Delgado: DO NOT have relevant financial relationships | Lucas Maffioletti Goncalves: DO NOT have relevant financial relationships | Masashi Kai: No Answer | Arthur Reshad Garan: DO have relevant financial relationships ; Consultant:NuPulseCV:Active (exists now) ; Other (please indicate in the box next to the company name):Maquet/Getinge:Past (completed) ; Advisor:Boston Scientific:Active (exists now) ; Advisor:Abiomed:Active (exists now) | Cancan Zhang: DO NOT have relevant financial relationships | Pablo Quintero: No Answer | Edward Grandin: No Answer | Andrew Oseran: DO have relevant financial relationships ; Consultant:Agilon Health:Active (exists now) | Jennifer Ho: DO have relevant financial relationships ; Individual Stocks/Stock Options:Pfizer:Active (exists now) ; Consultant:Lilly:Active (exists now) | Patrick Hyland: DO NOT have relevant financial relationships | Jenica Upshaw: DO NOT have relevant financial relationships | Marwa Sabe: DO have relevant financial relationships ; Advisor:NovoNordisk:Active (exists now)
Meeting Info:

Scientific Sessions 2025

2025

New Orleans, Louisiana

Session Info:

Heart Transplant Highlights: Challenges, Triumphs, and New Horizons

Sunday, 11/09/2025 , 09:15AM - 10:25AM

Moderated Digital Poster Session

More abstracts on this topic:
Analysis of 30-Day Readmission Rates and Costs Post-Heart Transplant: A 12-Year Retrospective Study Using Nationwide Readmission Database(NRD) : 2010-2021

Pinninty Dheeraj, Mogga Phanidhar, Raol Karanrajsinh, Pillai Ashwin, Mudduluru Prathyusha, Singh Kerry, Jedeon Zeina, Jaiswal Abhishek

4D Cardiac Magnetic Resonance Identifies Differences in Regional Strain Patterns Among Pediatric Heart Transplant Patients with Acute Rejection or Cardiac Allograft Vasculopathy

Henderson Christopher, Starnes Joseph, Samyn Margaret, Damon Bruce, Hernandez Lazaro, Goergen Craig, Soslow Jonathan, Prado Marco Aurélio, Earl Conner, Georgedurrett Kristen, Lee Simon, Nandi Deipanjan, Chan Kak-chen, Shugh Svetlana, Kikano Sandra

More abstracts from these authors:
Early Partial ECMO Flow Is Associated With Higher Survival in Patients With Cardiogenic Shock With Reduced and Preserved Systemic Pulse Pressure: An ELSO Registry Analysis

Delgado Alvaro, Rali Aniket, Garan Arthur Reshad, Grandin E. Wilson, Aguilar Laura, Maffioletti Goncalves Lucas, Ho Jennifer, Oseran Andrew, Hyland Patrick, Quintero Pinzon Pablo, Upshaw Jenica, Sabe Marwa

Comparison of Patient Demographics between New and Existing Heart Transplant Centers

Zhang Amy, Fleming Lisa, Guardino Cara, Wadhera Rishi, Tsukioka Yusuke, Aguilar Laura, Delgado Alvaro, Maffioletti Goncalves Lucas, Kai Masashi, Garan Arthur Reshad, Zhang Cancan, Quintero Pablo, Grandin E. Wilson, Oseran Andrew, Ho Jennifer, Hyland Patrick, Upshaw Jenica, Sabe Marwa

You have to be authorized to contact abstract author. Please, Login
Not Available