Logo

American Heart Association

  16
  0


Final ID: Mo4088

Eicosapentaenoic Acid (EPA) Limits Lipoprotein(a) Oxidation and its Related Effects on Endothelial Cell Stress Response Protein Expression

Abstract Body (Do not enter title and authors here): Background: Elevated lipoprotein(a) (Lp(a)) levels are causally and independently associated with increased cardiovascular (CV) risk. EPA administered as icosapent ethyl (IPE) reduced CV events in high-risk, statin-treated patients (REDUCE-IT), including those with elevated Lp(a) levels. The mechanism of action may be related to reduced lipoprotein oxidation, including Lp(a), resulting in endothelial cell (EC) stress reduction.
Hypothesis: We hypothesized that EPA attenuates Lp(a) oxidation – possibly by scavenging free radicals – leading to reduced EC stress response and related protein expression.
Methods: Lp(a) was enriched to >50% of total ApoB-containing (LDL) particles in plasma from patients with elevated levels following isopycnic centrifugation. Lp(a)-enriched fractions were incubated with EPA (Lp(a) + EPA, 50 µM) or equivolume vehicle (Lp(a) + veh) at 37°C for 30 min followed by oxidation with CuSO4 (20 µM). After 2 h, human umbilical vein ECs (HUVECs) were incubated with Lp(a) + EPA or Lp(a) + veh for 8 h. Cell lysate samples were then analyzed by global LC/MS-based proteomics. Between group protein changes >1-fold and a false discover rate (FDR)-adjusted p<0.05 were considered significant. Lp(a) oxidation levels were characterized by both lipid hydroperoxide (LOOH) formation and malondialdehyde (MDA) using colorimetric assays.
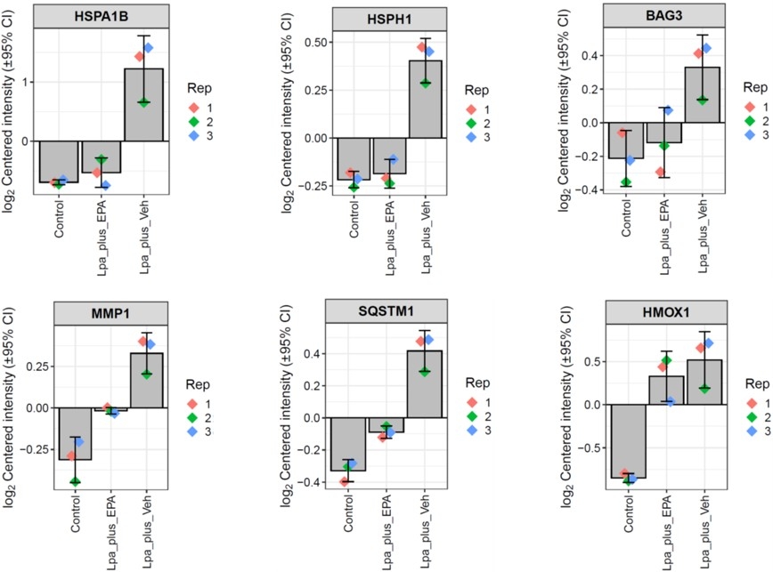
Results: EPA significantly attenuated Lp(a)-enriched oxidation through 2 h compared with vehicle-treated control, including 8% and 61% reduction of LOOH and MDA, respectively, both p<0.001. A total of 20 proteins were significantly modulated by Lp(a) + veh relative to control. Among these, Lp(a) + veh induced increased expression of heat shock protein (HSP) 70 kDa (3.8-fold) along with its co-chaperones HSP 105/110 kDa (1.5-fold) and Bcl-2-associated athanogene 3 (BAG3, 1.5-fold). Lp(a) + veh also increased expression of matrix metalloproteinase-1 (MMP-1, 1.6-fold) and antioxidant response proteins heme oxygenase-1 (HO-1, 2.6-fold) and p62 (1.7-fold). EPA treatment of Lp(a) prior to oxidation limited these protein changes as none were significantly modulated relative to control.
Conclusions: EPA attenuated Lp(a)-enriched oxidation over time, which resulted in differential expression of proteins involved in HUVEC inflammatory responses. Inhibition of Lp(a) oxidation by EPA, administered as IPE, may reduce vascular dysfunction and inflammation, thereby contributing to lower CV risk in patients with elevated Lp(a) levels.
  • Sherratt, Samuel  ( Mount Sinai Fuster Heart Hospital , Scarsdale , New York , United States )
  • Libby, Peter  ( Brigham and Womens Hospital , Beverly , Massachusetts , United States )
  • Dunbar, Richard  ( Amarin Pharma Inc. , Bridgewater , New Jersey , United States )
  • Bhatt, Deepak  ( Mount Sinai Fuster Heart Hospital , Scarsdale , New York , United States )
  • Mason, Preston  ( Brigham and Womens Hospital , Beverly , Massachusetts , United States )
  • Author Disclosures:
    Samuel Sherratt: DO have relevant financial relationships ; Employee:Elucida Research:Active (exists now) ; Speaker:Novartis:Past (completed) | Peter Libby: DO have relevant financial relationships ; Advisor:Amgen:Active (exists now) ; Research Funding (PI or named investigator):Novartis, Novo Nordisk, Genentech:Past (completed) ; Executive Role:XBiotech, Inc:Active (exists now) ; Executive Role:Soley Thereapeutics - financial interest:Active (exists now) ; Other (please indicate in the box next to the company name):TenSixteen Bio - financial interest:Active (exists now) ; Advisor:Polygon Therapeutics:Active (exists now) ; Advisor:PlaqueTec:Active (exists now) ; Advisor:Novartis:Active (exists now) ; Advisor:Olatec Therapeutics:Active (exists now) ; Advisor:Kowa Pharmaceuticals:Active (exists now) ; Advisor:Kancera:Active (exists now) ; Advisor:Elucid Bioimaging:Active (exists now) ; Advisor:CSL Behring:Active (exists now) ; Advisor:Caristo Diagnostics:Active (exists now) | Richard Dunbar: No Answer | Deepak Bhatt: DO have relevant financial relationships ; Advisor:Advisory Board: Angiowave, Antlia Bioscience, Bayer, Boehringer Ingelheim, CellProthera, Cereno Scientific, E-Star Biotech, High Enroll, Janssen, Level Ex, McKinsey, Medscape Cardiology, Merck, NirvaMed, Novo Nordisk, Repair Biotechnologies, Stasys, Tourmaline Bio:Active (exists now) ; Individual Stocks/Stock Options:Angiowave (stock options), Bristol Myers Squibb (stock), DRS.LINQ (stock options), High Enroll (stock);:Active (exists now) ; Other (please indicate in the box next to the company name):Site Co-Investigator: Cleerly.:Active (exists now) ; Royalties/Patent Beneficiary:Royalties: Elsevier (Editor, Braunwald’s Heart Disease);:Active (exists now) ; Researcher:Research Funding: Abbott, Acesion Pharma, Afimmune, Alnylam, Amarin, Amgen, AstraZeneca, Atricure, Bayer, Boehringer Ingelheim, Boston Scientific, CellProthera, Cereno Scientific, Chiesi, Cleerly, CSL Behring, Faraday Pharmaceuticals, Fractyl, Idorsia, Janssen, Javelin, Lexicon, Lilly, Medtronic, Merck, MiRUS, Moderna, Novartis, Novo Nordisk, Pfizer, PhaseBio, Regeneron, Reid Hoffman Foundation, Roche, Sanofi, Stasys, 89Bio;:Active (exists now) ; Royalties/Patent Beneficiary:Patent: Sotagliflozin (named on a patent for sotagliflozin assigned to Brigham and Women's Hospital who assigned to Lexicon; neither I nor Brigham and Women's Hospital receive any income from this patent);:Active (exists now) ; Other (please indicate in the box next to the company name):Other: Clinical Cardiology (Deputy Editor); Progress in Cardiovascular Diseases (Deputy Editor);:Active (exists now) ; Other (please indicate in the box next to the company name):Honoraria: American College of Cardiology (Senior Associate Editor, Clinical Trials and News, ACC.org; Chair, ACC Accreditation Oversight Committee), Arnold and Porter law firm (work related to Sanofi/Bristol-Myers Squibb clopidogrel litigation), Baim Institute for Clinical Research (AEGIS-II executive committee funded by CSL Behring), Belvoir Publications (Editor in Chief, Harvard Heart Letter), Canadian Medical and Surgical Knowledge Translation Research Group (clinical trial steering committees), CSL Behring (AHA lecture), Duke Clinical Research Institute, Engage Health Media, HMP Global (Editor in Chief, Journal of Invasive Cardiology), Medtelligence/ReachMD (CME steering committees), MJH Life Sciences, Oakstone CME (Course Director, Comprehensive Review of Interventional Cardiology), Philips (Becker's Webinar on AI), Population Health Research Institute, WebMD (CME steering committees), Wiley (steering committee);:Active (exists now) ; Other (please indicate in the box next to the company name):Data Monitoring Committees: Acesion Pharma, Assistance Publique-Hôpitaux de Paris, Baim Institute for Clinical Research, Boston Scientific (Chair, PEITHO trial), Cleveland Clinic, Contego Medical (Chair, PERFORMANCE 2), Duke Clinical Research Institute, Mayo Clinic, Mount Sinai School of Medicine (for the ABILITY-DM trial, funded by Concept Medical; for ALLAY-HF, funded by Alleviant Medical), Novartis, Population Health Research Institute; Rutgers University (for the NIH-funded MINT Trial);:Active (exists now) ; Consultant:Consultant: Alnylam, Altimmune, Broadview Ventures, Corcept Therapeutics, Corsera, GlaxoSmithKline, Hims, SERB, SFJ, Summa Therapeutics, Worldwide Clinical Trials:Active (exists now) ; Other (please indicate in the box next to the company name):Board of Directors: American Heart Association New York City, Angiowave (stock options), Bristol Myers Squibb (stock), DRS.LINQ (stock options), High Enroll (stock);:Active (exists now) | Preston Mason: No Answer
Meeting Info:

Scientific Sessions 2025

2025

New Orleans, Louisiana

Session Info:

Emerging Topics In Cardiometabolic and Vascular Diseases

Monday, 11/10/2025 , 01:00PM - 02:00PM

Abstract Poster Board Session

More abstracts on this topic:
A prognostic molecular signature of hepatic steatosis is spatially heterogeneous and dynamic in human liver

Perry Andrew, Huang Shi, Martens Liesbet, Kendall Timothy, Thone Tinne, Amancherla Kaushik, Bailin Samuel, Gabriel Curtis, Koethe John, Carr John, Terry James, Hadad Niran, Vaitinadin Nataraja Sarma, Freedman Jane, Tanriverdi Kahraman, Alsop Eric, Van Keuren-jensen Kendall, Sauld John, Mahajan Gautam, Khan Sadiya, Colangelo Laura, Nayor Matthew, Chatterjee Emeli, Fisher-hoch Susan, Mccormick Joseph B, North Kari, Below Jennifer, Wells Quinn, Abel Dale, Kalhan Ravi, Scott Charlotte, Guilliams Martin, Gamazon Eric, Jimenez Ramos Maria, Fallowfield Jonathan, Banovich Nicholas, Das Saumya, Shah Ravi, Farber-eger Eric, Roshani Rashedeh, Stolze Lindsey, Betti Michael, Zhao Shilin

A Novel Role for Lipoprotein(a) in Potentiating Neutrophil Extracellular Trap Formation

Mouawad Sahar, Boffa Michael, Koschinsky Marlys

You have to be authorized to contact abstract author. Please, Login
Not Available