Logo

American Heart Association

  21
  0


Final ID: MP2409

Handgrip Strength, Obesity, and Outcomes in Heart Failure with Preserved Ejection Fraction

Abstract Body (Do not enter title and authors here): Background
Obesity is paradoxically associated with better outcomes in adults with heart failure with preserved ejection fraction (HFpEF). Handgrip strength is a simple validated measure of systemic muscle strength and serves as a proxy for sarcopenia and frailty—conditions that are clinically relevant in HFpEF. The prognostic value of handgrip strength, particularly in relation to body habitus, is unknown in this population.

Goals/Aims
This study aimed to examine the relationship between low handgrip strength, body habitus, and clinical outcomes in adults with HFpEF.

Methods
We examined 255 ambulatory patients with HFpEF seen at Weill Cornell Medicine from June 2018 – November 2023. Handgrip strength was measured with a dynomanomter using the average handgrip strength from both hands. Low handgrip strength was defined as values < 29.0 kg for men and < 18.0 kg for women. Cox proportional-hazard model analysis was used to examine the association between low handgrip strength and the composite endpoint (a 1-year composite of all-cause mortality and all-cause hospitalization) adjusting for race, the MAGGIC prognostic risk score and malnutrition: this was conducted among the entire cohort, and also among those with and without obesity (based on BMI ≥ 30 and < 30).

Results
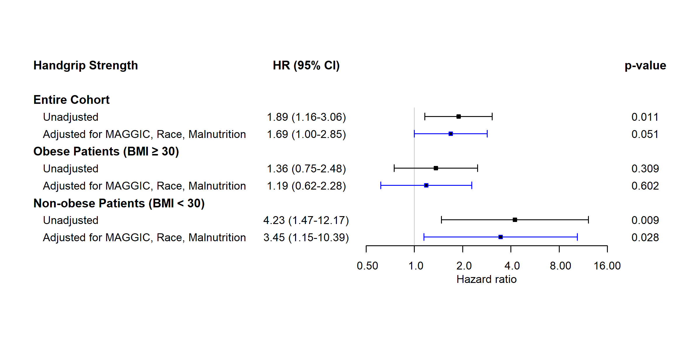
The median age was 77.0 years (IQR [69.0-84.0]), LVEF was 63.0 (IQR [59.0-67.0]), BMI was 29.9 (IQR [25.90 – 36.59]) and MAGGIC risk score was 24.0 (IQR [19.0-28.0]). The prevalence of low handgrip strength was 66.3% overall (n=169), 43.2% in obese (n=73) and 56.8% in non-obese (n=96) patients. Figure 1 shows results of the cox poportional hazard models. Among the entire cohort, low handgrip strength was associated with the composite endpoint in a crude model, but not after adjusting for covariates. Among the obesity strata, low handgrip strength was associated with the composite endpoint in non-obese patients with HFpEF, but not in obese patients with HFpEF.

Conclusion
Low handgrip strength is associated with adverse outcomes in non-obese patients with HFpEF. This data supports the value of handgrip strength as an incrementally valuable prognostic tool in patients with HFpEF.
  • Zainul, Omar  ( Weill Cornell Medicine , New York , New York , United States )
  • Chau, Kristi  ( Weill Cornell Medicine , New York , New York , United States )
  • Lapenna, Kyle  ( Weill Cornell Medicine , New York , New York , United States )
  • Hashemi, Ashkan  ( Weill Cornell Medicine , New York , New York , United States )
  • Reich, Alexandra  ( Weill Cornell Medicine , New York , New York , United States )
  • Marshall, Dylan  ( Columbia University Medical Center , New York , New York , United States )
  • Zarzuela, Kate  ( Weill Cornell Medicine , New York , New York , United States )
  • Goyal, Parag  ( Weill Cornell Medicine , New York , New York , United States )
  • Author Disclosures:
    Omar Zainul: DO NOT have relevant financial relationships | Kristi Chau: DO NOT have relevant financial relationships | Kyle LaPenna: No Answer | Ashkan Hashemi: DO NOT have relevant financial relationships | Alexandra Reich: No Answer | Dylan Marshall: No Answer | Kate Zarzuela: No Answer | Parag Goyal: DO have relevant financial relationships ; Consultant:Axon therapies:Active (exists now) ; Consultant:Pfizer:Active (exists now) ; Consultant:Bridgebio:Active (exists now) ; Consultant:Bayer HealthCare:Active (exists now)
Meeting Info:

Scientific Sessions 2025

2025

New Orleans, Louisiana

Session Info:

Stiff Hearts, Big Questions: HFpEF from Molecules to Management

Monday, 11/10/2025 , 12:15PM - 01:30PM

Moderated Digital Poster Session

More abstracts on this topic:
A short version of HFD/L-NAME mouse model enabling time-effective proof of concept studies to evaluate drugs targeting the cardiometabolic and mild hypertension associated HFpEF phenotype.

Assaly Rana, Dubroca Caroline, Waget Aurelie, Perrier Kevin, Sulpice Thierry

A Randomized Placebo-Controlled Trial of Pitavastatin Calcium to Treat Combined Dyslipidemia of Obesity in Adolescents – The Pediatric Heart Network Dyslipidemia of Obesity Intervention in Teens (DO IT!) Trial

De Ferranti Sarah, Cartoski Mark, Brothers Julie, San Giovanni Christine, Zachariah Justin, Pena Sandra, Mahle William, Peterson Amy, Magge Sheela, Raghuveer Geetha, Sharma Binu, Arslanian, Md Silva, Kazlova Valiantsina, Sponseller Craig, Freemon Dandrea, Stylianou Mario, Mccrindle Brian, Mietus-snyder Michele, Urbina Elaine, Ware Adam, Teng Jessica, Trachtenberg Felicia, Russell Mark, Shah Amy

More abstracts from these authors:
Primary prevention with statins for older adults: Con

Goyal Parag

Comparison of Six Physical Frailty Assessments in Adults with Heart Failure with Preserved Ejection Fraction

Zainul Omar, Marshall Dylan, Lau Jennifer, Kelly Brooke, Zarzuela Kate, Damluji Abdulla, Pandey Ambarish, Pastva Amy, Goyal Parag

You have to be authorized to contact abstract author. Please, Login
Not Available