Logo

American Heart Association

  22
  0


Final ID: MP2511

Finerenone and liver fibrosis assessed by fibrosis-4 (FIB-4) index in patients with heart failure and mildly reduced or preserved ejection fraction: Results from the FINEARTS-HF trial

Abstract Body (Do not enter title and authors here): Background: Liver fibrosis is increasingly recognized as a comorbidity in heart failure (HF), driven by venous congestion, hypoperfusion, systemic inflammation, and metabolic disturbances. The fibrosis-4 (FIB-4) index is an established non-invasive test used to evaluate liver fibrosis.
Research Questions: What is the prognostic value of the FIB-4 index in patients with heart failure and mildly reduced or preserved ejection fraction (HFmrEF/HFpEF).
Methods: We analysed data from FINEARTS-HF, a phase 3, randomized, placebo-controlled trial evaluating the efficacy and safety of finerenone in patients with HFmrEF/HFpEF. The FIB-4 index was calculated using the formula: (age [years] × AST [U/L])/(platelets [109/L] × sqrt [ALT] [U/L]). Patients were grouped based on the risk of progressive fibrosis determined using the FIB-4 index: low (<1.30), indeterminate (1.30–2.67), and high (>2.67) risk (with a cutoff of 2.0 for those aged >65 years). Outcomes were examined using semiparametric proportional rates models for total events and Cox models for time-to-first-event data, stratified by region, and LVEF (<60%, ≥60%).
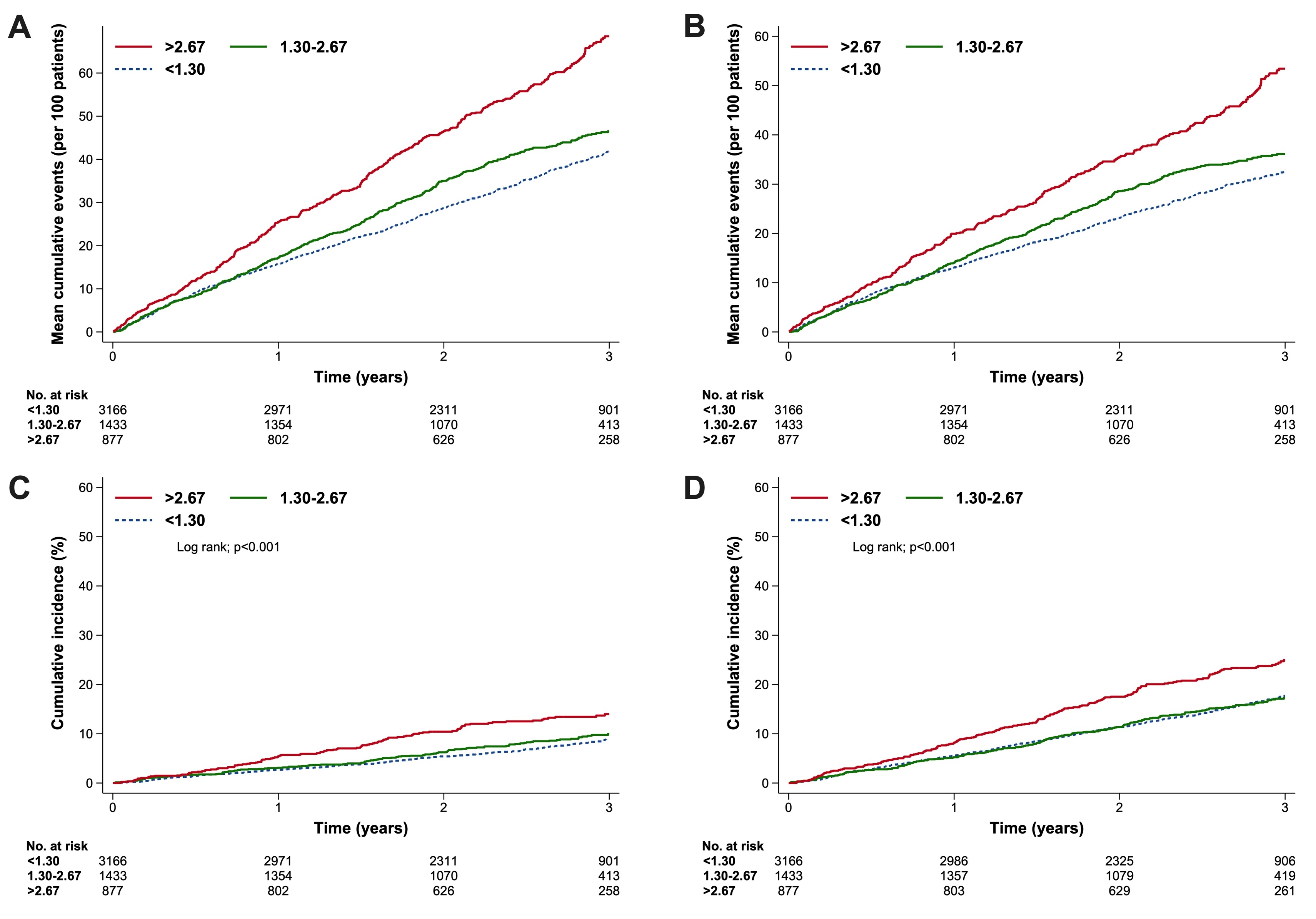
Results: Of 6001 randomised patients, 5476 (91.3%) had baseline FIB-4 index: 3166 (57.8%) were low risk, 1433 (26.2%) indeterminate, and 877 (16.0%) high risk. Compared with low risk of progressive fibrosis, patients with high risk were older, more often male and Asian, and more likely to have atrial fibrillation, prior stroke, higher N-terminal pro B-type natriuretic peptide (NT-proBNP), and worse kidney function. A higher FIB-4 index was associated with greater risk of the primary endpoint (cardiovascular death and total worsening heart failure events), its components, and similarly, all-cause death (Figure). Finerenone, compared with placebo, reduced the risk of the primary endpoint across all FIB-4 index groups: low risk: RR: 0.73 (95% CI: 0.61-0.88); indeterminate: 0.91 (95% CI: 0.69-1.19); high risk: 0.80 (95% CI: 0.61-1.07). The benefit of finerenone was not modified by FIB-4 index (Pinteraction = 0.38).
Conclusions: FIB-4, potentially reflecting liver fibrosis, independently predicts the risk of HF events in HFmrEF/HFpEF. Finerenone consistently reduced HF events across the low, indeterminate, and high FIB-4 index.
  • Yang, Mingming  ( BHF CARDIOVASCULAR RESEARCH CENTRE , Glasgow , United Kingdom )
  • Amarante, Flaviana  ( Bayer AG , Berlin , Germany )
  • De Sanctis, Yoriko  ( Bayer AG , Berlin , Germany )
  • Rohwedder, Katja  ( Bayer AG , Berlin , Germany )
  • Lam, Carolyn  ( NATIONAL HEART CENTRE SINGAPORE , Singapore , Singapore )
  • Senni, Michele  ( ASST PAPA GIOVANNI XXIII , Bergamo , Italy )
  • Shah, Sanjiv  ( NORTHWESTERN UNIVERSITY , Chicago , Illinois , United States )
  • Zannad, Faiez  ( CVCT and Universite de Lorraine , Paris , France )
  • Pitt, Bertram  ( University of Michigan School , Ann Arbor , Michigan , United States )
  • Vaduganathan, Muthiah  ( Brigham and Women's Hospital , Boston , Massachusetts , United States )
  • Jhund, Pardeep  ( BHF CARDIOVASCULAR RESEARCH CENTRE , Glasgow , United Kingdom )
  • Chimura, Misato  ( BHF CARDIOVASCULAR RESEARCH CENTRE , Glasgow , United Kingdom )
  • Solomon, Scott  ( Brigham and Women's Hospital , Boston , Massachusetts , United States )
  • Mcmurray, John  ( BHF CARDIOVASCULAR RESEARCH CENTRE , Glasgow , United Kingdom )
  • Henderson, Alasdair David  ( BHF CARDIOVASCULAR RESEARCH CENTRE , Glasgow , United Kingdom )
  • Talebi, Atefeh  ( BHF CARDIOVASCULAR RESEARCH CENTRE , Glasgow , United Kingdom )
  • Claggett, Brian  ( Brigham and Women's Hospital , Boston , Massachusetts , United States )
  • Desai, Akshay  ( Brigham and Women's Hospital , Boston , Massachusetts , United States )
  • Kalayci, Arzu  ( Brigham and Women's Hospital , Boston , Massachusetts , United States )
  • Sauer, Andrew  ( Saint Lukes Mid America Heart Inst , Kansas City , Missouri , United States )
  • Taub, Pam  ( Division of Cardiovascular Medicine , San Diego , California , United States )
  • Author Disclosures:
    Mingming Yang: DO NOT have relevant financial relationships | Flaviana Amarante: DO have relevant financial relationships ; Employee:Bayer AG:Active (exists now) | Yoriko De Sanctis: DO have relevant financial relationships ; Employee:Bayer US LLC:Active (exists now) | Katja Rohwedder: DO have relevant financial relationships ; Employee:Bayer AG:Active (exists now) | Carolyn Lam: DO have relevant financial relationships ; Consultant:Alnylam Pharma, AnaCardio, Applied Therapeutics, AstraZeneca:Active (exists now) ; Other (please indicate in the box next to the company name):Us2.ai (Co-founder and Non-Executive Director):Active (exists now) ; Research Funding (PI or named investigator):Roche and Novo Nordisk:Active (exists now) ; Consultant:Quidel Corporation, Radcliffe Group Ltd., Roche and Us2.ai:Active (exists now) ; Consultant:Janssen Research & Development LLC, Medscape/WebMD Global LLC, Merck, Novartis, Novo Nordisk:Active (exists now) ; Consultant:Eli Lilly, Impulse Dynamics, Intellia Therapeutics, Ionis Pharmaceutical:Active (exists now) ; Consultant:Corteria, CPC Clinical Research, Cytokinetics:Active (exists now) ; Consultant:Bayer, Biopeutics, Boehringer Ingelheim, Boston Scientific, Bristol Myers Squibb:Active (exists now) | MICHELE SENNI: DO have relevant financial relationships ; Consultant:novartis:Active (exists now) ; Consultant:abbott :Past (completed) ; Consultant:vifor :Past (completed) ; Consultant:amgen :Active (exists now) ; Consultant:cardurion :Active (exists now) ; Consultant:boehringer:Active (exists now) ; Consultant:astrazeneca:Active (exists now) ; Consultant:novonordisk :Active (exists now) ; Consultant:MSD:Active (exists now) ; Consultant:Bayer:Active (exists now) ; Consultant:Merck :Active (exists now) | Sanjiv Shah: DO NOT have relevant financial relationships | Faiez ZANNAD: DO have relevant financial relationships ; Advisor:Alnylam, Bayer, Biopeutics, Boehringer, Cellprothera, Centrix, Cereno, Centrix Corteria, CVRx, Lilly, Lupin, Merck, NovoNordisk, Opalia Recordati, Owkin, Polygon, Ribocure, Roche, Viatris,:Active (exists now) ; Ownership Interest:Polygon, Cereno pharmaceutical, CVCT:Active (exists now) | Bertram Pitt: DO have relevant financial relationships ; Consultant:Bayer:Active (exists now) ; Other (please indicate in the box next to the company name):Mineralys-DSMB:Active (exists now) ; Individual Stocks/Stock Options:Anacardio:Active (exists now) ; Individual Stocks/Stock Options:Sea star Medical:Active (exists now) ; Individual Stocks/Stock Options:Prointel:Active (exists now) ; Individual Stocks/Stock Options:Sarfez Pharmceuticals:Active (exists now) ; Individual Stocks/Stock Options:KBP Biosciences :Active (exists now) ; Individual Stocks/Stock Options:Cereno scientific:Active (exists now) ; Individual Stocks/Stock Options:G3 Pharmaceuticals:Active (exists now) ; Individual Stocks/Stock Options:SQ innovations :Active (exists now) ; Individual Stocks/Stock Options:Sc Pharmaceuticals:Active (exists now) ; Individual Stocks/Stock Options:Vifor:Active (exists now) ; Consultant:Bristol Myers squibb:Active (exists now) ; Consultant:Lexicon:Active (exists now) ; Consultant:Boehringer Ingelheim:Active (exists now) | Muthiah Vaduganathan: DO have relevant financial relationships ; Consultant:American Regent, Amgen, AstraZeneca, Bayer AG, Baxter Healthcare, Bristol Myers Squibb, Boehringer Ingelheim, Chiesi, Cytokinetics, Esperion, Fresenius Medical Care, Idorsia Pharmaceuticals, Lexicon Pharmaceuticals, Merck, Milestone Pharmaceuticals, Novartis, Novo Nordisk, Pharmacosmos, Relypsa, Roche Diagnostics, Sanofi and Tricog Health:Active (exists now) ; Research Funding (PI or named investigator):Amgen, AstraZeneca, Boehringer Ingelheim, Galmed, Novartis, Bayer AG, Occlutech, Pharmacosmos, and Impulse Dynamics:Active (exists now) | Pardeep Jhund: DO have relevant financial relationships ; Consultant:AstraZeneca:Active (exists now) ; Other (please indicate in the box next to the company name):Director GCTP :Active (exists now) ; Researcher:Analog Devices :Active (exists now) ; Researcher:Roche Diagnostics:Active (exists now) ; Researcher:AstraZeneca:Past (completed) ; Researcher:Boheringer Ingelheim:Past (completed) ; Consultant:Bayer:Active (exists now) | Misato Chimura: DO NOT have relevant financial relationships | Scott Solomon: DO have relevant financial relationships ; Research Funding (PI or named investigator):Alexion, Alnylam, Applied Therapeutics, AstraZeneca, Bellerophon, Bayer, BMS, Boston Scientific, Cytokinetics, Edgewise, Eidos/BridgeBio, Gossamer, GSK, Ionis, Lilly,NIH/NHLBI, Novartis, NovoNordisk, Respicardia, Sanofi Pasteur, Tenaya, Theracos, US2.AI:Active (exists now) ; Consultant:Abbott, Action, Akros, Alexion, Alnylam, Amgen, Arena, Askbio, AstraZeneca, Bayer, BMS, Cardior, Cardurion, Corvia, Cytokinetics, GSK, Intellia, Lilly, Novartis, Roche, Theracos, Quantum Genomics, Tenaya, Sanofi-Pasteur, Dinaqor, Tremeau, CellProThera, Moderna, American Regent, Sarepta, Lexicon, Anacardio, Akros, Valo, Synhale, Recordati:Active (exists now) | John McMurray: DO NOT have relevant financial relationships | Alasdair Henderson: DO have relevant financial relationships ; Consultant:Bayer:Active (exists now) | Atefeh Talebi: No Answer | Brian Claggett: No Answer | Akshay Desai: DO have relevant financial relationships ; Research Funding (PI or named investigator):Abbott:Past (completed) ; Consultant:River2Renal:Active (exists now) ; Consultant:Roche:Active (exists now) ; Consultant:Regeneron:Active (exists now) ; Consultant:New Amsterdam:Active (exists now) ; Consultant:Novartis:Past (completed) ; Consultant:Merck:Past (completed) ; Consultant:Medtronic:Past (completed) ; Consultant:Medpace:Active (exists now) ; Consultant:GlaxoSmithKline:Past (completed) ; Consultant:Endotronix:Active (exists now) ; Consultant:CVS:Active (exists now) ; Consultant:Boston Scientific:Active (exists now) ; Researcher:Biofourmis:Active (exists now) ; Consultant:Bayer:Active (exists now) ; Consultant:Axon Therapies:Past (completed) ; Consultant:Avidity Biopharma:Active (exists now) ; Consultant:AstraZeneca:Active (exists now) ; Consultant:Alnylam:Active (exists now) ; Consultant:Abbott:Active (exists now) ; Research Funding (PI or named investigator):Pfizer:Active (exists now) ; Research Funding (PI or named investigator):Novartis:Past (completed) ; Research Funding (PI or named investigator):Bayer:Active (exists now) ; Research Funding (PI or named investigator):AstraZeneca:Active (exists now) ; Research Funding (PI or named investigator):Alnylam:Active (exists now) | ARZU KALAYCI: DO NOT have relevant financial relationships | Andrew Sauer: DO have relevant financial relationships ; Advisor:Bayer:Active (exists now) ; Advisor:Edwards:Active (exists now) ; Researcher:Edwards:Active (exists now) ; Advisor:Abbott:Active (exists now) ; Researcher:Abbott:Active (exists now) ; Researcher:Boston Scientific:Active (exists now) ; Researcher:Vifor:Active (exists now) ; Researcher:AstraZeneca:Active (exists now) ; Advisor:Acorai:Active (exists now) ; Researcher:Bayer:Active (exists now) | Pam Taub: No Answer
Meeting Info:

Scientific Sessions 2025

2025

New Orleans, Louisiana

Session Info:

(Non-) Roid Rage: Novel Insights Into Non-Steroidal MRAs for HF

Monday, 11/10/2025 , 12:15PM - 01:25PM

Moderated Digital Poster Session

More abstracts on this topic:
A RETRO-ENANTIOMER OF ANGIOTENSIN-(1-9) PREVENTS THE DEVELOPMENT OF HEART FAILURE WITH PRESERVED EJECTION FRACTION.

Ocaranza Maria Paz, Jimenez Veronica, Yanez Osvaldo, Jalil Jorge, Venegas Camilo, Candia Camila, Hermoso Marcela, Gabrielli Luigi, Morales Javier, Oyarzun Felipe, Torres Cristian, Lillo Pablo

Association of Left Atrial Fibrosis with AF Burden Post-Ablation: Insights from the DECAAF II Study

Younes Hadi, Lim Chanho, Rao Swati, Tirado Polo Francisco, Liu Yingshuo, Jia Yishi, Tsakiris Eli, Assaf Ala', Ademi Besim, Shamaileh Ghaith, Hui Yanpei, Mahnkopf Christian, Donnellan Eoin, Pandey Amitabh, Marrouche Nassir, Noujaim Charbel, Bidaoui Ghassan, Bsoul Mayana, Feng Han, El Hajjar Abdel Hadi, Mekhael Mario, Dagher Lilas

More abstracts from these authors:
Efficacy of finerenone in patients with heart failure and mildly reduced or preserved ejection fraction: A prespecified analysis of heart rate in the FINEARTS-HF trial

Chimura Misato, Senni Michele, Zannad Faiez, Pitt Bertram, Vaduganathan Muthiah, Solomon Scott, Mcmurray John, Jhund Pardeep, Henderson Alasdair David, Claggett Brian, Desai Akshay, Lay-flurrie James, Scalise Andrea, Rohwedder Katja, Lam Carolyn

Efficacy and safety of finerenone in patients with heart failure and mildly reduced or preserved ejection fraction: A prespecified sex-specific analysis of the FINEARTS-HF trial

Chimura Misato, Lam Carolyn, Senni Michele, Shah Sanjiv, Voors Adriaan, Zannad Faiez, Pitt Bertram, Vaduganathan Muthiah, Solomon Scott, Mcmurray John, Jhund Pardeep, Henderson Alasdair David, Claggett Brian, Desai Akshay, Mueller Katharina, Glasauer Andrea, Rohwedder Katja, Viswanathan Prabhakar

You have to be authorized to contact abstract author. Please, Login
Not Available