Logo

American Heart Association

  62
  0


Final ID: MP93

Decreased Nocturnal Very Low Frequency of Heart Rate Variability Linked to Adverse Cardiovascular Events in Patients with Hypertension

Abstract Body (Do not enter title and authors here): Background: Evaluating nocturnal regulation of cardiac autonomic nervous system (CANS) with frequency-domain heart rate variability (HRV) is relevant, especially in patients with sleep apnea. So far, the association between very low frequency (VLF) of HRV and major adverse cardiovascular and cerebrovascular events (MACCEs) has not been sufficiently elucidated.
Aims: We seek to evaluate the impact of VLF of HRV on MACCEs in patients with hypertension.
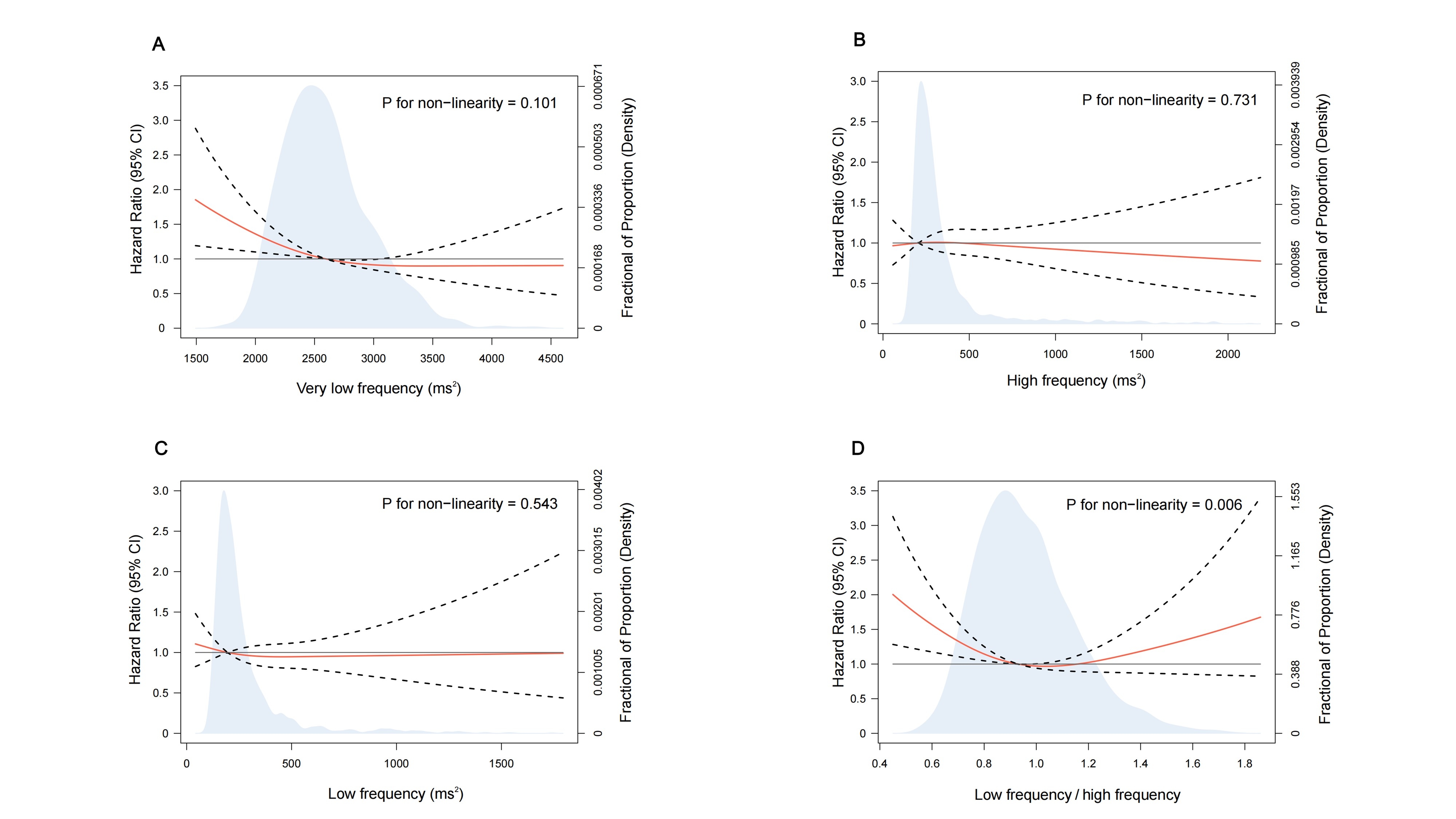
Methods: This prospective study enrolled 2,061 hypertensive patients from 2017–2021 monitored with nocturnal Holter electrocardiography and type III home sleep apnea testing. Nocturnal HRV was defined by the variation in normal-to-normal intervals at night, and evaluated based on frequency-domain spectra, including high frequency (HF) (0.15–0.5 Hz), low frequency (LF) (0.04–0.15 Hz), VLF (0.0033–0.04 Hz), and the LF/HF ratio. Restricted cubic spline analysis via Cox regression was used to explore the prognostic effects of different HRV indices. The cut-off point for VLF was set at 2,566 ms2. Stabilized inverse probability weighting (IPW) based on propensity scores was used to balance baseline characteristics between low-VLF (<2566 ms2) and high-VLF groups (≥2566 ms2).
Results: Over a median follow-up of 39 months, 1,867 patients aged 58.4±11.2 years (77.4% men) were included in final analysis. MACCEs occurred in 15.3%. Among 4 HRV indices, only VLF showed a stable nonlinear prognostic association. Compared with patients with high-VLF group, the low-VLF group had a 42–47% higher risk of MACCEs compared to the high-VLF group, depending on the cohort (unadjusted or IPW). In obese patients, those with low-VLF vs high-VLF showed an unadjusted HR of 1.55 for MACCEs (95% CI, 1.21–1.99; P=0.001), which persisted after IPW adjustment (HR 1.38 [95% CI, 1.06–1.81]; P=0.016). Similarly, patients with OSA in the low-VLF group (vs high-VLF group) had an increased risk of MACCEs (unadjusted HR 1.56, 95% CI 1.20–2.02, P=0.001; adjusted HR 1.38, 95% CI 1.07–1.77, P=0.013). The ratio of nocturnal-to-baseline VLF had an area under the curve (AUC) of 0.962 in predicting respiratory event-related cardiac cycle changes during short time intervals.
Conclusion: Lower nocturnal VLF of HRV may increase the risk of MACCEs in patients with hypertension, particularly those with obesity and sleep apnea. suggesting a pathophysiological mechanism that links cardiovascular events to impaired regulation of cardiopulmonary coupling by the CANS.
  • Wang, Ling  ( Guangdong Provincial People's Hospital , Guangzhou , China )
  • Lu, Xiaozhao  ( Guangdong Provincial People's Hospital , Guangzhou , China )
  • Liu, Jin  ( Guangdong Provincial People's Hospital , Guangzhou , China )
  • Ruan, Huangtao  ( Guangdong Provincial People's Hospital , Guangzhou , China )
  • Li, Yijia  ( University of Maryland School of Medicine , Baltimore , Maryland , United States )
  • Ma, Wei-guo  ( Yale School of Medicine , New Haven , Connecticut , United States )
  • Jing, Zhi-cheng  ( Guangdong Provincial People's Hospital , Guangzhou , China )
  • Author Disclosures:
    Ling Wang: DO NOT have relevant financial relationships | Xiaozhao Lu: DO NOT have relevant financial relationships | Jin Liu: DO NOT have relevant financial relationships | Huangtao Ruan: No Answer | Yijia Li: DO NOT have relevant financial relationships | Wei-Guo Ma: DO NOT have relevant financial relationships | Zhi-Cheng Jing: DO NOT have relevant financial relationships
Meeting Info:

Scientific Sessions 2025

2025

New Orleans, Louisiana

Session Info:

Intersections of Comorbidities with Hypertension Treatment

Saturday, 11/08/2025 , 10:45AM - 12:00PM

Moderated Digital Poster Session

More abstracts on this topic:
2 Dimensional Echocardiography versus 3 Dimentional Echocardiography to Assess Right Ventricular Function in Pulmonary Hypertension: A Systematic Review

Chaudhry Waleed Razzaq, Hajj Fatima, Bathula Satyamedha, Meghji Mohammed Askari, Pasupuleti Hemalatha, Kiyani Madiha, Shah Syeda Simrah, Neelakantan Ramaswamy Sanathanan, Mirzaeidizaji Nakisa, St. Jacques Jahnoy, Khan Khalil Ullah, Veluchamy Elakkiya, Jesse Joshanna

CARDIOMETABOLIC DYSFUNCTIONS IN THE OFFSPRING OF FRUCTOSE-OVERLOADED RATS: ROLE OF THE CHOLINERGIC ANTI-INFLAMMATORY REFLEX

Martins De Miranda Victor Hugo, De Angelis Katia, Santos Camila, Petrica Neves Pietra, Nascimento Antonio, Dutra Marina, Bernardes Nathalia, Souza Leandro, Campos Guitierre Robson, Irigoyen Mc

More abstracts from these authors:
DDCI-01 in Pulmonary Arterial Hypertension: A Multicenter Phase II Randomized Active-Controlled Trial

Liu Chao, Huang Wei, Li Xian-mei, Xu Xi-qi, Jing Zhi-cheng, Wang Li-ting, Dai Hai-long, Li Jiang, Cao Yunshan, Wu Bing-xiang, Yao Hua, Yu Zai-xin, Zhang Rui-feng

Nocturnal Very Low Frequency of Heart Rate Variability Predicts Adverse Cardiovascular Events in Obese Individuals

Wang Ling, Ruan Huangtao, Liu Jin, Lu Xiaozhao, Li Yijia, Ma Wei-guo, Jing Zhi-cheng

You have to be authorized to contact abstract author. Please, Login
Not Available