Logo

American Heart Association

  34
  0


Final ID: MP2508

The Kaiser Permanente Cardiovascular Health Enhancement and Monitoring for Oncology (KP CHEMO) Study

Abstract Body (Do not enter title and authors here): Background: There are nearly 19 million cancer survivors in the U.S., projected to reach 22 million by 2030, many at increased risk for cardiovascular disease complications.

Research Question: To delineate the contemporary incidence of cancer therapy-related cardiac dysfunction (CTRCD) in a real-world, diverse population.

Methods: We identified adults diagnosed with liquid or solid malignancy (excluding non-melanoma skin cancer) who received cardiotoxic cancer therapies (i.e., anthracyclines, human epidermal growth factor receptor 2 [HER2] inhibitors, immune checkpoint inhibitors [ICIs], tyrosine kinase inhibitors [TKIs]) within a large, integrated healthcare delivery system in Northern California from 2012-2022. The primary outcome was CTRCD, defined as either new-onset asymptomatic left ventricular dysfunction (i.e., a >10% absolute decrease in LVEF from ≥53% to <53%) or new-onset symptomatic heart failure, identified using a validated natural language processing algorithm applied to electronic health record data.

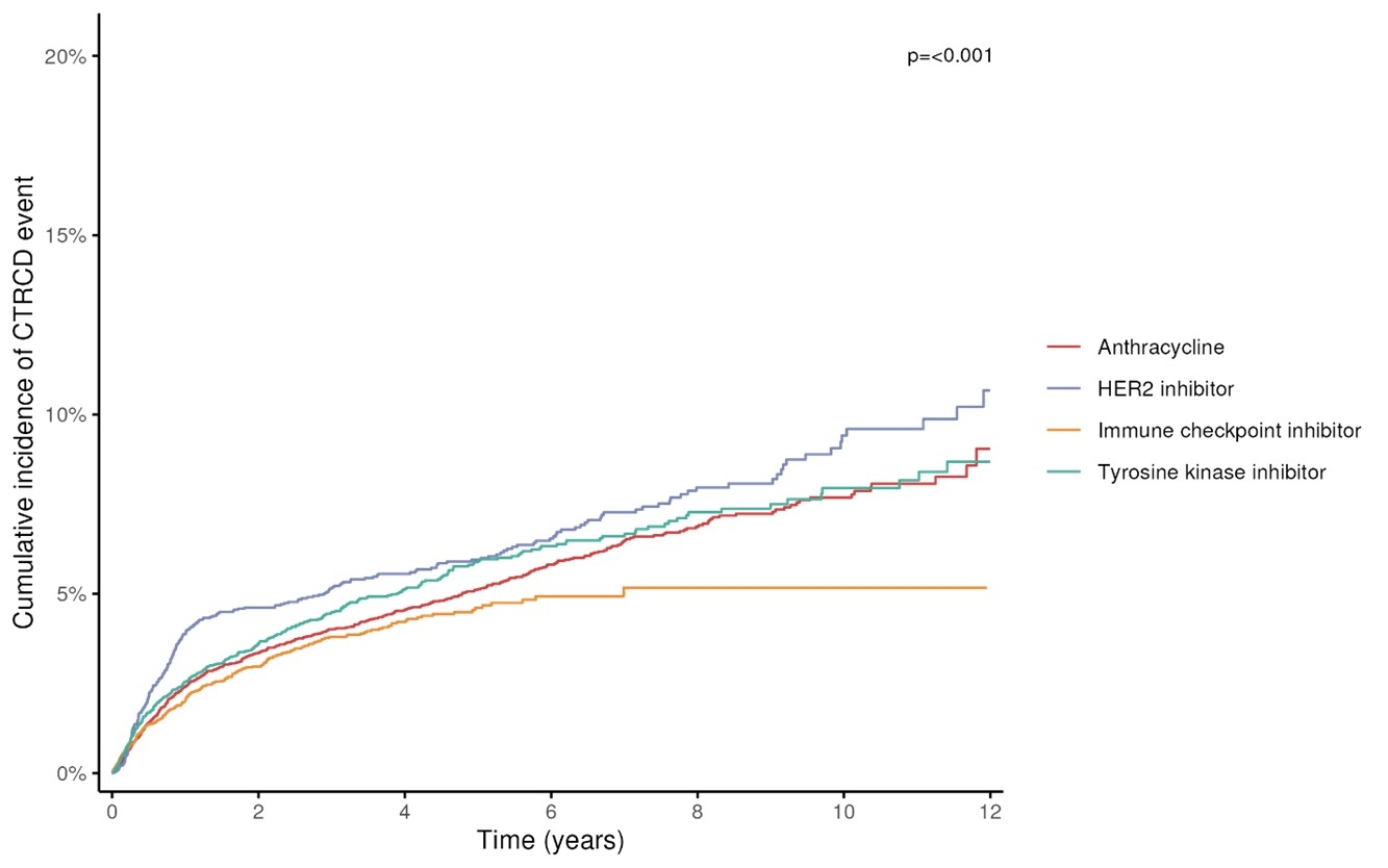
Results: Among 26,646 eligible patients, mean age was 62 ± 14 years, 64% were women, and 43% identified as a race/ethnicity other than non-Hispanic White. Breast (32%), lung (17%), and hematologic cancers (15%) were most common. Of the cohort, 38% received anthracyclines, 15% received HER2 inhibitors, 26% received ICIs, and 22% received TKIs. During a median of 2.0 [0.7-4.5] years of follow-up, the overall cumulative incidence of CTRCD was 8.4%, varying significantly by cancer therapy, with the highest for HER2 inhibitors (10.7%) and lowest for ICIs (5.2%) (P<0.001) (Figure). Early CTRCD (within 12 months) occurred at a higher rate (3.0 [2.8-3.3] per 100 person-years) than late CTRCD (1.1 [1.1-1.2] per 100 person-years), with nearly half of cases occurring in the first year of treatment.

Conclusions: In a large, contemporary cohort of cancer patients receiving cardiotoxic therapies, CTRCD affected nearly 1 in 10 patients, with many events occurring during the first year after treatment initiation. Validated prediction models are needed for short-term risk stratification, guiding targeted screening strategies, and earlier interventions to improve cardiovascular outcomes.
  • Thadani, Samir  ( Kaiser Permanente Northern California , Oakland , California , United States )
  • Lopez, Alfredo  ( Kaiser Permanente Northern California , Oakland , California , United States )
  • Nugent, Joshua  ( Kaiser Permanente Northern California , Oakland , California , United States )
  • Ouyang, David  ( Kaiser Permanente Northern California , Oakland , California , United States )
  • Yen, Alberta  ( Kaiser Permanente Northern California , Oakland , California , United States )
  • Zaroff, Jonathan  ( Kaiser Permanente Northern California , Oakland , California , United States )
  • Ambrosy, Andrew  ( Kaiser Permanente Northern California , Oakland , California , United States )
  • Go, Alan  ( Kaiser Permanente Northern California , Oakland , California , United States )
  • Liu, Jane  ( Kaiser Permanente Northern California , Oakland , California , United States )
  • Garcia, Elisha  ( Kaiser Permanente Northern California , Oakland , California , United States )
  • Adatya, Sirtaz  ( Kaiser Permanente Northern California , Oakland , California , United States )
  • Bhatt, Ankeet  ( Kaiser Permanente Northern California , Oakland , California , United States )
  • Kwan, Marilyn  ( Kaiser Permanente Northern California , Oakland , California , United States )
  • Lin, Amy  ( Kaiser Permanente Northern California , Oakland , California , United States )
  • Liu, Raymond  ( Kaiser Permanente Northern California , Oakland , California , United States )
  • Author Disclosures:
    Samir Thadani: DO NOT have relevant financial relationships | Alfredo Lopez: No Answer | Joshua Nugent: DO NOT have relevant financial relationships | David Ouyang: DO have relevant financial relationships ; Consultant:InVision:Active (exists now) ; Consultant:Pfizer:Past (completed) ; Consultant:Ultromics:Past (completed) ; Consultant:EchoIQ:Past (completed) ; Consultant:AstraZeneca:Active (exists now) | Alberta Yen: No Answer | Jonathan Zaroff: No Answer | Andrew Ambrosy: DO have relevant financial relationships ; Consultant:Bayer:Expected (by end of conference) ; Consultant:BMS:Expected (by end of conference) ; Consultant:Novo Nordisk:Past (completed) ; Consultant:Merck:Past (completed) ; Researcher:BI:Active (exists now) ; Researcher:Abiomed:Active (exists now) ; Researcher:Bayer:Active (exists now) | Alan Go: DO have relevant financial relationships ; Research Funding (PI or named investigator):Bristol Myers-Squibb:Active (exists now) ; Research Funding (PI or named investigator):Edwards Life Sciences:Active (exists now) ; Research Funding (PI or named investigator):Novartis:Past (completed) | Jane Liu: DO NOT have relevant financial relationships | Elisha Garcia: DO NOT have relevant financial relationships | Sirtaz Adatya: No Answer | Ankeet Bhatt: DO have relevant financial relationships ; Consultant:AstraZeneca:Past (completed) ; Consultant:Merck:Active (exists now) | Marilyn Kwan: DO NOT have relevant financial relationships | Amy Lin: No Answer | Raymond Liu: DO have relevant financial relationships ; Researcher:BeOne:Active (exists now) ; Researcher:Biotheranostics:Active (exists now) ; Researcher:AZ:Active (exists now) ; Researcher:BMS:Active (exists now)
Meeting Info:

Scientific Sessions 2025

2025

New Orleans, Louisiana

Session Info:

Crossroads of Cancer and the Heart: Epidemiologic Insights in Cardio-Oncology

Monday, 11/10/2025 , 10:45AM - 12:00PM

Moderated Digital Poster Session

More abstracts on this topic:
2 Dimensional Echocardiography versus 3 Dimentional Echocardiography to Assess Right Ventricular Function in Pulmonary Hypertension: A Systematic Review

Chaudhry Waleed Razzaq, Hajj Fatima, Bathula Satyamedha, Meghji Mohammed Askari, Pasupuleti Hemalatha, Kiyani Madiha, Shah Syeda Simrah, Neelakantan Ramaswamy Sanathanan, Mirzaeidizaji Nakisa, St. Jacques Jahnoy, Khan Khalil Ullah, Veluchamy Elakkiya, Jesse Joshanna

A Blood(y) Pressure Crisis: Diffuse Alveolar Hemorrhage as a Rare Manifestation of Severely Uncontrolled Hypertension

Nandyal Shreyas, Amdetsion Gedion Yilma, Varma Revati, Kohli Saksham, Hammo Hasan

More abstracts from these authors:
Prevalence, Clinical Characteristics, and Outcomes in Heart Failure with Improved Ejection Fraction by Chronological Age

Srikanth Kishan, Vasti Elena, Sandhu Alexander, Go Alan, Adatya Sirtaz, Bhatt Ankeet, Lee Keane, Parikh Rishi, Ambrosy Andrew, Tan Thida, Hamilton Steven, Vardeny Orly, Krishnaswami Ashok, Ku Ivy

Predicting Heart Failure with Improved Ejection Fraction Using Electronic Health Record-Based Models with Contemporary GDMT

Bhatt Ankeet, Go Alan, Parikh Rishi, Ambrosy Andrew, Tan Thida, Adatya Sirtaz, Lee Keane, Sandhu Alexander, Jana Svetlichnaya, Ku Ivy

You have to be authorized to contact abstract author. Please, Login
Not Available