Logo

American Heart Association

  16
  0


Final ID: MP1720

Impact of Glucagon-Like Peptide-1 Receptor Agonists on 5-Year Risk of Major Amputation and Cardiovascular Outcomes in Diabetic Patients with Chronic Limb-Threatening Ischemia

Abstract Body (Do not enter title and authors here): Background
Type 2 diabetes mellitus (T2DM) is a major risk factor for chronic limb-threatening ischemia (CLTI). Glucagon-like peptide-1 receptor agonists (GLP-1RAs) have demonstrated cardiovascular benefits in patients with T2DM, but their effect on the risk of cardiovascular events and amputation in patients with CLTI remains underexplored. This retrospective cohort study evaluated the association between GLP-1RA use and the 5-year risk of major amputation and cardiovascular events in diabetic patients with CLTI.

Methods
The TriNetX real-world clinical data platform was used to identify patients with T2DM and CLTI, categorized by the presence or absence of GLP-1RA prescription records. Propensity score matching was applied based on demographics, comorbidities, concurrent antihyperglycemic therapies, and laboratory values. The primary outcome was major lower-limb amputation. The secondary outcomes included all-cause mortality, myocardial infarction (MI), and ischemic stroke. All outcomes were assessed at 3 months and up to 5 years following CLTI diagnosis or GLP-1RA initiation. Cox proportional hazards, Kaplan-Meier curves and Log-Rank test were used for analysis.

Results
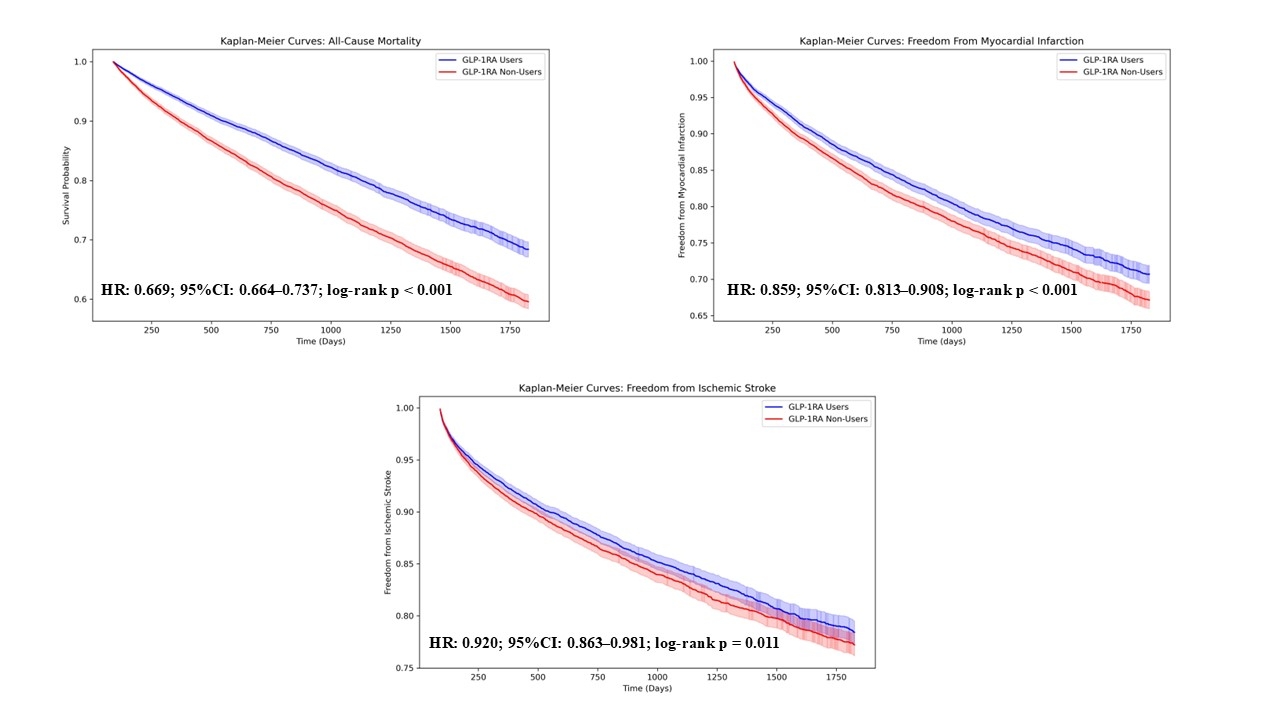
Among 143,274 patients with T2DM and CLTI, 17,638 patients had a prescription record for GLP-1 receptor agonists and 125,636 patients did not receive these medications. Following propensity score matching, 16,237 patients remained in each group (92% match rate). Mean age was 65.4 ± 10.9 years and 59.1% were male. The mean follow-up duration was 771.3 days. Patients receiving GLP-1RAs had a significantly lower rate of major amputation (HR: 0.792; 95%CI: 0.697–0.864; log-rank p < 0.001), all-cause mortality (HR: 0.669; 95%CI: 0.664–0.737; log-rank p < 0.001), MI (HR: 0.859; 95%CI: 0.813–0.908; log-rank p < 0.001), and ischemic stroke (HR: 0.920; 95%CI: 0.863–0.981; log-rank p = 0.011).

Conclusion
The use of GLP-1RA medications is associated with a significant decrease in the 5-year risk of major amputations, all-cause mortality, MI and ischemic stroke in diabetic patients with CLTI.
  • Yahyavi, Ashkan  ( University Hospitals Harrington Heart and Vascular Institute , Cleveland , Ohio , United States )
  • Zokaei Nikoo, Maedeh  ( University Hospitals Cleveland Medical Center , Cleveland , Ohio , United States )
  • Hussein, Leen  ( University Hospitals Harrington Heart and Vascular Institute , Cleveland , Ohio , United States )
  • Katara, Aarti  ( Ohio University Heritage College of Osteopathic Medicine , Cleveland , Ohio , United States )
  • Perez, Jaime Abraham  ( University Hospitals Center for Clinical Research , Cleveland , Ohio , United States )
  • Shishehbor, Mehdi  ( University Hospitals Harrington Heart and Vascular Institute , Cleveland , Ohio , United States )
  • Author Disclosures:
    Ashkan Yahyavi: DO NOT have relevant financial relationships | Maedeh Zokaei Nikoo: DO NOT have relevant financial relationships | Leen Hussein: DO NOT have relevant financial relationships | Aarti Katara: DO NOT have relevant financial relationships | Jaime Abraham Perez: DO NOT have relevant financial relationships | Mehdi Shishehbor: DO have relevant financial relationships ; Advisor:Boston Scientific:Active (exists now) ; Advisor:Inari:Active (exists now) ; Advisor:ANT:Active (exists now) ; Advisor:Inquis:Active (exists now) ; Advisor:Abbott Vascular:Active (exists now) ; Advisor:Medtronic:Active (exists now)
Meeting Info:

Scientific Sessions 2025

2025

New Orleans, Louisiana

Session Info:

Top Clinical and Translational Abstracts in Vascular Medicine

Sunday, 11/09/2025 , 11:50AM - 01:05PM

Moderated Digital Poster Session

More abstracts on this topic:
A Comparative Analysis of Social Demographic and Clinical Factors for Screening for Peripheral Artery Disease in Adult Patients from Primary Care Clinics

Lane Rashon, Jackson Pasha, Anokwuru Ferdinand, Dillard Naomi, Nerlekar Ridhima

37,500 man-years of clinical expertise validate the cardio-metabolic benefits of empagliflozin-linagliptin in type 2 diabetes: findings from the amplified consensus

Nair Tiny, Jabbar P, Ray Saumitra, Hazra Prakash, Gupta Sushil, Joshi Ameya, Shaikh Shehla, B Jayagopal, Pandit Kaushik, Sharma D, Seshadri Krishna, S Sridhar

More abstracts from these authors:
You have to be authorized to contact abstract author. Please, Login
Not Available