Logo

American Heart Association

  68
  0


Final ID: MP1608

Preoperative Blood Biomarkers Outperform Clinical Variables in Predicting Poor Outcome After Neonatal Cardiopulmonary Bypass Surgery

Abstract Body (Do not enter title and authors here): Introduction: Neonates undergoing surgery for congenital heart disease (CHD) are at risk of death, longer intensive care unit (ICU) stays, and readmissions. Current prognostic models rely predominantly on unmodifiable clinical factors.

Aims: We aimed to compare machine learning methods for predicting ICU-30, a validated composite outcome after neonatal surgery with cardiopulmonary bypass (CPB), using pre-operative blood biomarkers versus clinical features.

Hypothesis: Inflammatory and organ injury biomarkers will predict ICU-30 better than clinical factors alone.

Methods: Plasma and clinical data were collected from consecutively enrolled neonates (<30 days of age) immediately before CPB. Twenty-eight biomarkers were measured via individual or multiplexed ELISA and tested for association with ICU-30, defined as (1) mortality within 30 days of CPB, (2) ICU stay >30 days after CPB, or (3) ICU readmission within 30 days after CPB. Predictive performance of the machine learning techniques XGBoost, LASSO, and random forest (RF) were compared based on area under the receiver operating characteristic (AUROC) curve. For XGBoost, we identified the top 20 features based on importance (gain) to the model.

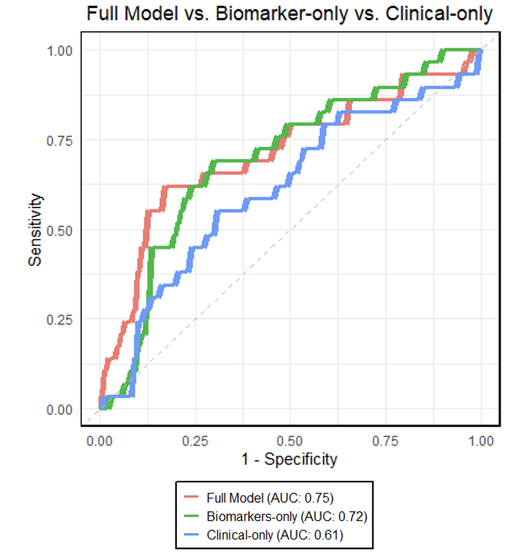
Results: Biomarkers were available for 144 patients. Most were male (51%), White (64%), and non-Hispanic (75%). Median age at surgery was 3.6 days (IQR 2.6-5.2). Most operations were STAT 3 (32%) or STAT 5 (28%). ICU-30 occurred in 29 (20%) subjects. Using clinical and biomarker data, XGBoost performed moderately well (AUROC 0.75) to predict ICU-30, and was superior to RF (AUROC 0.73) and LASSO (AUROC 0.71) (Figure 1). Biomarkers alone performed better (AUROC 0.72) than clinical data alone (AUROC 0.61) (Figure 2). For XGBoost, 19 of the top 20 features were biomarkers, with the top 3 being neutrophil gelatinase-associated lipocalin (NGAL), trefoil factor 3 (TTF3) and growth differentiation factor-15 (GDF-15) (Figure 3).

Conclusions: This preliminary data demonstrates moderate performance of a multi-biomarker model for predicting poor outcome post-CPB for neonatal CHD. A biomarker-only model outperformed a clinical-only model. Two of the top three most important features were biomarkers for renal and gut inflammation, suggesting preoperative splanchnic inflammation may be relevant for postoperative outcomes. Further investigation may identify mechanistic pathways for improved prognostication and could offer insights for targeted therapeutic interventions.
  • Gardner, Monique  ( Children's Hospital of Philadelphia , Philadelphia , Pennsylvania , United States )
  • Yehya, Nadir  ( Children's Hospital of Philadelphia , Philadelphia , Pennsylvania , United States )
  • Balcarcel, Daniel  ( Children's Hospital of Philadelphia , Philadelphia , Pennsylvania , United States )
  • Chen, Fang  ( University of Pennsylvania , Philadelphia , Pennsylvania , United States )
  • Huff, Andrew  ( University of Pennsylvania , Philadelphia , Pennsylvania , United States )
  • Gonzalez, Vanessa  ( University of Pennsylvania , Philadelphia , Pennsylvania , United States )
  • Fraietta, Joseph  ( University of Pennsylvania , Philadelphia , Pennsylvania , United States )
  • Mai, Anh Duc  ( Children's Hospital of Philadelphia , Philadelphia , Pennsylvania , United States )
  • Padiyath, Asif  ( Children's Hospital of Philadelphia , Philadelphia , Pennsylvania , United States )
  • Gaynor, James  ( Children's Hospital of Philadelphia , Philadelphia , Pennsylvania , United States )
  • Author Disclosures:
    Monique Gardner: DO NOT have relevant financial relationships | Nadir Yehya: No Answer | Daniel Balcarcel: No Answer | Fang Chen: No Answer | Andrew Huff: No Answer | Vanessa Gonzalez: No Answer | Joseph Fraietta: No Answer | Anh Duc Mai: No Answer | Asif Padiyath: DO NOT have relevant financial relationships | James Gaynor: No Answer
Meeting Info:

Scientific Sessions 2025

2025

New Orleans, Louisiana

Session Info:

Fetal and Neonatal Cardiovascular Health: Maternal Influences, Genetics, and Early Life Outcomes

Sunday, 11/09/2025 , 11:50AM - 01:05PM

Moderated Digital Poster Session

More abstracts on this topic:
Bayesian re-analysis of the STeroids to REduce Systemic inflammation after infant heart Surgery (STRESS) trial

Hill Kevin, Benscoter Alexis, Van Bergen Andrew, Anderson Brett, Blasiole Brian, Overman David, Vener M D David, Graham Eric, Husain Adil, Wald Eric, Scott John, Koerner Jake, Kim John, Swartz Michael, Eghtesady Pirooz, Butts Ryan, Karamlou Tara, Obrien Sean, Hong Hwanhee, Li Jennifer, Jacobs Marshall, Kannankeril Prince, Baldwin Scott, Jacobs Jeffrey, Hornik Christoph

ADC-based Infarct Density – Validating a Novel Imaging Biomarker of Functional Outcome after Endovascular Thrombectomy

Favilla Christopher, Bonkhoff Anna, Rost Natalia, Messe Steven, Regenhardt Robert, Denny Braden, Simonsen Claus, Shakibajahromi Banafsheh, Patel Aman, Leslie-mazwi Thabele, Dmytriw Adam, Schirmer Markus

More abstracts from these authors:
Increasing Biomarkers of Systemic Inflammation after Pediatric Cardiac Arrest are Associated with Hospital Mortality: A Preliminary Report from a Prospective Cohort Study

Gardner Monique, Mercer-rosa Laura, Yehya Nadir, Topjian Alexis, Mckelvey Alanah, Chen Fang, Gonzalez Vanessa, Fraietta Joseph, Feng Rui, Morgan Ryan, Graham Kathryn, Berg Robert

Prospective Assessment of Myocardial Function & Systemic Inflammation after Pediatric Cardiac Arrest: Results from a Pilot Study Utilizing Echocardiogram & Circulating Plasma Biomarkers

Gardner Monique, Topjian Alexis, Mckelvey Alanah, Wang Yan, Chen Fang, Morgan Ryan, Graham Kathryn, Berg Robert, Mercer-rosa Laura, Yehya Nadir

You have to be authorized to contact abstract author. Please, Login
Not Available