Logo

American Heart Association

  32
  0


Final ID: MP654

Impact of Atrial Fibrillation Ablation on Patients with Amyloidosis: A Real-World Propensity Score-Matched Study

Abstract Body (Do not enter title and authors here): Introduction: Patients with amyloidosis and atrial fibrillation experienced poorer outcomes. The effect of atrial ablation on patients diagnosed with amyloidosis remains unclear.
Research question: To assess the effects of ablation therapy on patients diagnosed with amyloidosis who also have atrial fibrillation.
Methods: A retrospective analysis utilizing propensity score matching was conducted with global real-world data sourced from TrinetX. Patients diagnosed with amyloidosis (International Classification of Diseases, 10th Revision, Clinical Modification [ICD-10-CM] codes: E85.x) and atrial fibrillation (ICD-10-CM code: I48.x) were included in the study. The participants in the study were categorized into two distinct groups: the ablation group and the non-ablation group. The outcomes measured included all-cause mortality, ischemic stroke, and instances of acute heart failure.
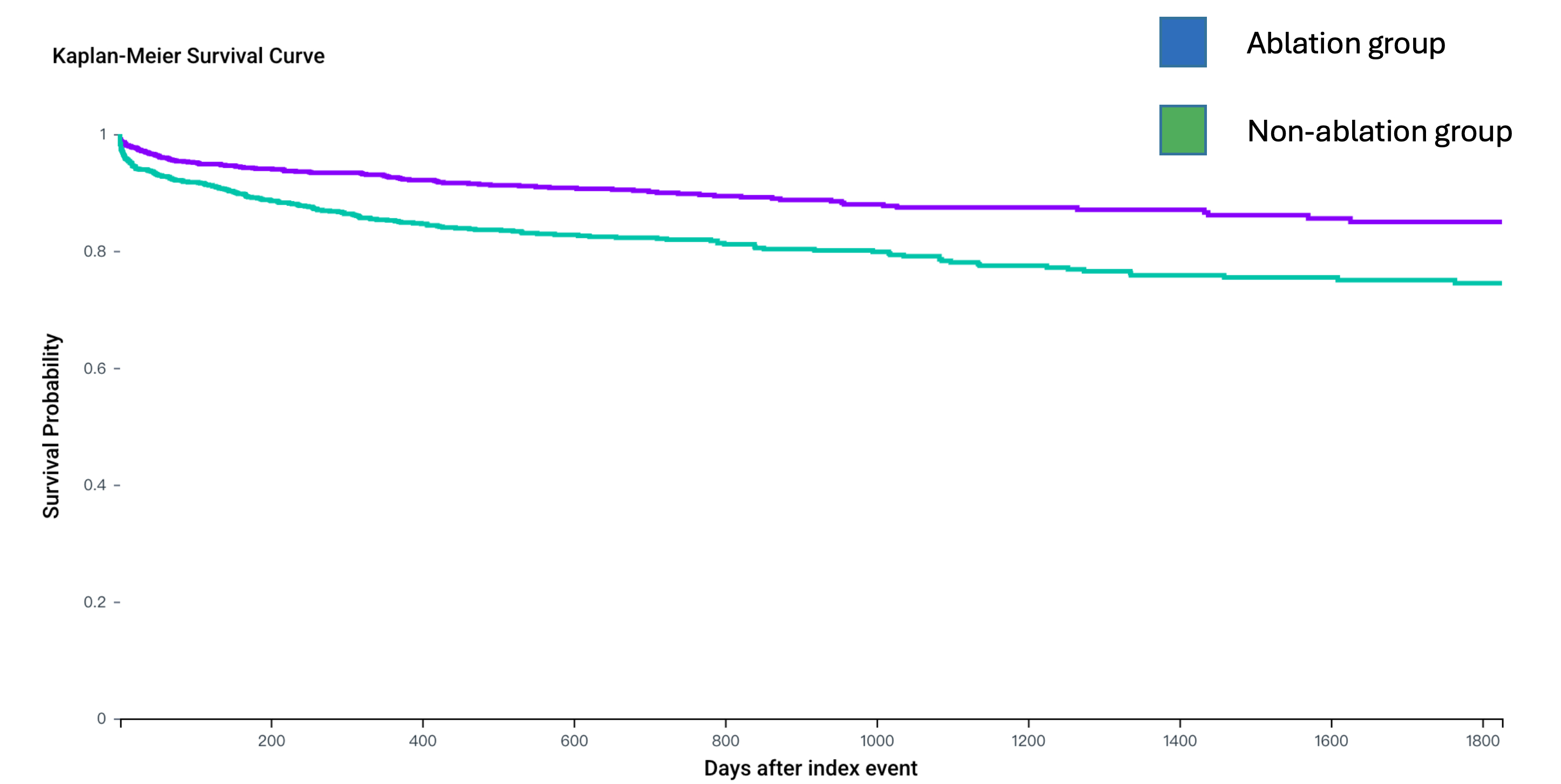
Results: A total of 1,416 patients were evaluated in the ablation group, whereas 27,459 patients were evaluated in the non-ablation group. Following propensity score matching based on sex, age, antiarrhythmic medications and comorbidities, the ablation group exhibited a significantly lower all-cause mortality rate compared to the control group, with respective rates of 12.41% and 30.56% (risk ratio [RR]: 0.40, 95% confidence interval [CI]: 0.34–0.47) over a 5-year follow-up period. Additionally, there was a significantly reduced risk of ischemic stroke in the ablation group, with rates of 8.93% versus 16.17% (RR: 0.55, 95% CI: 0.45–0.67). Furthermore, the incidence of acute heart failure events was lower in the ablation group, with rates of 35.67% compared to 41.41% (RR: 0.78, 95% CI: 0.78–0.94).
Conclusions: Atrial fibrillation ablation has the potential to lower the risk of all-cause mortality, stroke, and acute heart failure events in patients diagnosed with amyloidosis who also experience concurrent atrial fibrillation.
  • Chen, Chun-chao  ( Taipei Medical University-Shuang Ho , New Taipei City , Taiwan )
  • Huang, Chih-wei  ( International Center for Health Information Technology (ICHIT), College of Medical Science and Technology, Taipei Medical University , Taipei , Taiwan )
  • Hsu, Min-huei  ( Graduate Institute of Data Science, College of Management, Taipei Medical University, Taipei, Taiwan , Taipei , Taiwan )
  • Liu, Ju-chi  ( Taipei Medical University-Shuang Ho , New Taipei City , Taiwan )
  • Author Disclosures:
    Chun-Chao Chen: DO NOT have relevant financial relationships | Chih-Wei Huang: No Answer | Min-Huei Hsu: DO NOT have relevant financial relationships | Ju-Chi Liu: No Answer
Meeting Info:

Scientific Sessions 2025

2025

New Orleans, Louisiana

Session Info:

What Drives Success? Trends and Predictive Factors in AF Ablation Outcomes

Saturday, 11/08/2025 , 09:15AM - 10:30AM

Moderated Digital Poster Session

More abstracts on this topic:
A Novel Predictive Score to Identify the Necessity for Epicardial Ventricular Tachycardia Ablation: EPI-VT-Score

Khalaph Moneeb, Sciacca Vanessa, Beyer Sebastian, Bocchini Yuri, Sohns Christian, Sommer Philipp, Guckel Denise, Trajkovska Nadica, Didenko Maxim, El Hamriti Mustapha, Braun Martin, Imnadze Guram, Lucas Philipp, Fink Thomas

A novel ECG algorithm using stepwise approach for accurate localization of premature ventricular contraction and ventricular tachycardia: SMART-PVC/VT

Khalaph Moneeb, Lucas Philipp, Sciacca Vanessa, Beyer Sebastian, Moersdorf Maximilian, Sohns Christian, Guckel Denise, Sommer Philipp, Trajkovska Nadica, Deneke Thomas, Didenko Maxim, El Hamriti Mustapha, Imnadze Guram, Fink Thomas, Braun Martin, Bergau Leonard

You have to be authorized to contact abstract author. Please, Login
Not Available