Logo

American Heart Association

  30
  0


Final ID: MP678

Long-term Outcomes of Leadless versus Transvenous Single-chamber Pacemaker in Elderly Patients

Abstract Body (Do not enter title and authors here): Background
Leadless pacemaker has emerged as a promising alternative to traditional transvenous pacemaker (PM) among elderly patients who are at high risk of complications.

Objective
This study aims to assess and compare 5-year clinical outcomes of leadless PM versus transvenous single-chamber PM in elderly patients using a multi-national dataset.


Methods
Using the TriNetX Analytics Research Network, we included patients aged ≥65 years who underwent leadless versus transvenous single-chamber PM implantation between 1/1/2014 and 1/1/2020. Propensity score matching (PSM) was performed by using patient’s demographic, LVEF, cardiac comorbidities, and medications. The study outcomes included all-cause mortality and adverse cardiovascular events over a 5-year follow-up period.

Results
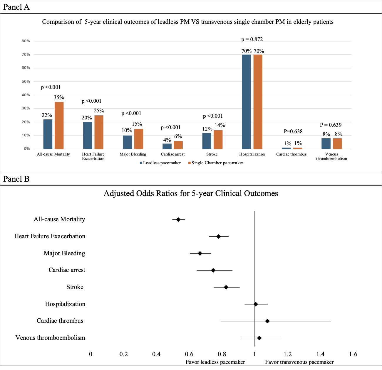
After PSM, 7,501 patients in each group were analyzed. Leadless PM was associated with a significantly lower odds of 5-year all-cause mortality (odds ratio [OR]: 0.534; 95% confidence interval [CI]: 0.497-0.575), heart failure exacerbation (OR: 0.779, 95% CI: 0.721-0.841), major bleeding (OR: 0.666, 95% CI: 0.604-0.734), cardiac arrest (OR: 0.747, 95% CI: 0.646-0.864) and stroke (OR: 0.825, 95% CI: 0.750-0.908) compared to transvenous single-chamber PM. No significant difference was observed between the two groups in all-cause hospitalization (OR: 1.006, 95%CI: 0.938-1.079), cardiac thrombus (OR: 1.077, 95%CI: 0.791-1.465) or venous thromboembolism (OR: 1.028, 95%CI: 0.916-1.153).

Conclusion
Leadless PM was associated with significantly improved mortality and cardiovascular outcomes compared to transvenous single-chamber PM in elderly patients. These findings support the strong consideration of leadless pacing as a strategy to reduce mortality and improve clinical outcomes in this high-risk population.
  • Tan, Min Choon  ( Mayo Clinic Arizona , Phoenix , Arizona , United States )
  • Lee, Justin  ( Cleveland Clinic , Cleveland , Ohio , United States )
  • Vignarajah, Aravinthan  ( Cleveland Clinic Fairview Hospital , Fairview Park , Ohio , United States )
  • Sin, Yuh Miin  ( Aimst University , Bedong , Malaysia )
  • Singh, Ravnit  ( NYMC at Saint Michael's Medical Center , Newark , New Jersey , United States )
  • Desimone, Christopher  ( MAYO CLINIC , Rochester , Minnesota , United States )
  • Deshmukh, Abhishek  ( Mayo Clinic , Rochester , Minnesota , United States )
  • Sroubek, Jakub  ( Cleveland Clinic , Cleveland , Ohio , United States )
  • Santangeli, Pasquale  ( Cleveland Clinic , Gates Mills , Ohio , United States )
  • Wazni, Oussama  ( Cleveland Clinic , Cleveland , Ohio , United States )
  • Author Disclosures:
    Min Choon Tan: DO NOT have relevant financial relationships | Justin Lee: DO NOT have relevant financial relationships | Aravinthan Vignarajah: DO NOT have relevant financial relationships | Yuh Miin Sin: DO NOT have relevant financial relationships | Ravnit Singh: No Answer | Christopher Desimone: DO NOT have relevant financial relationships | Abhishek Deshmukh: DO NOT have relevant financial relationships | Jakub Sroubek: DO have relevant financial relationships ; Speaker:Abbott:Active (exists now) ; Research Funding (PI or named investigator):Abbott:Active (exists now) | Pasquale Santangeli: DO have relevant financial relationships ; Consultant:Biosense Webster:Active (exists now) ; Consultant:Medtronic:Active (exists now) ; Consultant:Abbott:Active (exists now) | Oussama Wazni: No Answer
Meeting Info:

Scientific Sessions 2025

2025

New Orleans, Louisiana

Session Info:

Novel Innovations and Techniques for Leadless Pacing

Saturday, 11/08/2025 , 01:45PM - 02:55PM

Moderated Digital Poster Session

More abstracts on this topic:
A Report of 2000 Consecutive Patients Undergoing Imaging with Pacemakers and ICDs in the MRI Environment; the Additive Value of a Large, Prospective ~20-Year Observational Study

Biederman Robert, Shah Moneal, Boltralik Mark, Williams Ronald, Lombardi Richard, Mangini Francesco, Doyle Mark

All-cause mortality for Patients with Preserved Ejection Fraction Heart Failure stratified by B-blocker Therapy and Presence of Permanent Pacemaker.

Leavitt Jonas, Cunn Gregory, Coleman Kristie, Ahmad Sana, Bekiaridou Alexandra, Gasparis Christopher, Fishbein Joanna, Mountantonakis Stavros

More abstracts from these authors:
Clinical impact of new severe tricuspid regurgitation following device lead extraction

Arunachalam Karikalan Suganya, M Ezzedine Fatima, Desimone Christopher, Sugrue Alan, Padang Ratnasari, El Masry Hicham, Lee Justin, Deshmukh Abhishek, O'shea Michael, Vemulapalli Hema Srikanth, Mulpuru Siva, Killu Ammar, Siontis Konstantinos, Kowlgi Gurukripa, Cha Yong, Madhavan Malini

Ventricular Tachycardia Mortality Trends in Oncology: Where Are We Now?

Yeo Yong Hao, San Boon Jian, Tan Min Choon, Ang Qi Xuan, Lee Justin, Mehta Nishaki

You have to be authorized to contact abstract author. Please, Login
Not Available