Logo

American Heart Association

  73
  0


Final ID: MP1158

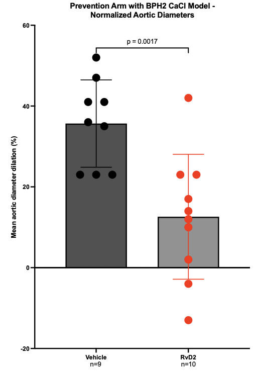
Resolvin D2 Inhibits Murine Thoracic Aortic Aneurysm Formation

Abstract Body (Do not enter title and authors here): Background: Inflammatory signaling and extracellular matrix (ECM) remodeling play crucial roles in the formation of thoracic aortic aneurysms (TAAs). D-series Resolvins, including Resolvin D2 (RvD2), are endogenous pro-resolving mediators that promote anti-inflammatory signaling and effectively decrease the formation and progression of abdominal aortic aneurysms. No studies have investigated whether this holds for TAA. This study aims to elucidate whether RvD2 demonstrates a protective effect in the development of murine TAA.

Methods: Genetically hypertensive (BPH/2J) 14-16-week-old mice received RvD2 (400 ng in 1% DMSO) or vehicle (1% DMSO only) by intraperitoneal injections 3 days before TAA induction and every 3 days thereafter. Briefly, mice were anesthetized with isoflurane, intubated, a left thoracotomy was performed, and the descending thoracic aorta exposed. A sponge soaked in sterile 0.5 mol/L CaCl2 was placed directly on the peri-adventitial surface for 15 minutes. The thoracotomy was then closed, and the mice recovered for 4 weeks before terminal surgery, where the descending thoracic aorta was again exposed, images obtained, and aortic diameters measured within native and induced regions. Aortic dilation was normalized to the native diameter. Aortic tissue and plasma were obtained for multiplex protein analysis of cytokine/chemokine levels, measured as integrated density (ID) normalized to positive control and compared using independent samples t-tests.

Results: Preventative RvD2 attenuates TAA development by 65% at 4 weeks after induction (p=0.002). Mean aortic dilation at 4 weeks was 35.7±10.8% for control mice (n=9, 7F/2M) and 12.6±15.5% for RvD2-treated mice (n=10, 5F/5M) (Figure 1). RvD2 significantly increases aneurysmal aortic tissue concentrations of IL-12 p70 in RvD2-treated mice (n=6, 3F/3M) by 31%, compared to control mice (n=5, 4F/1M) (ID 8859±1691 vs. 6108±1398, p=0.02). However, it did not significantly change the ratio of IL-12 p40/p70 between the groups (p=0.12), implying a proportional increase in IL-12 p40 (Figure 2).

Conclusions: RvD2 exhibits a potent protective effect against experimental murine TAA formation. Treatment with RvD2 increases IL-12 p70 levels, but not the ratio of IL-12 p40/p70 in aneurysmal aortic tissue. IL-12p40 has previously been shown to have an antagonistic role when in excess, inhibiting IL-12p70 from binding to its receptor and decreasing biological activity, IFN-γ production, and inflammation.
  • Do-nguyen, Chi Chi  ( Medical University of South Carolina , Charleston , South Carolina , United States )
  • Xiong, Ying  ( Medical University of South Carolina , Charleston , South Carolina , United States )
  • Jones, Jeffrey  ( Medical University of South Carolina , Charleston , South Carolina , United States )
  • Pope, Nicolas  ( Medical University of South Carolina , Charleston , South Carolina , United States )
  • Author Disclosures:
    Chi Chi Do-Nguyen: DO NOT have relevant financial relationships | Ying xiong: DO NOT have relevant financial relationships | Jeffrey Jones: DO NOT have relevant financial relationships | Nicolas Pope: No Answer
Meeting Info:

Scientific Sessions 2025

2025

New Orleans, Louisiana

Session Info:

New Mechanisms in Aneurysm, Stenosis, and Aortic Disease

Saturday, 11/08/2025 , 09:15AM - 10:15AM

Moderated Digital Poster Session

More abstracts on this topic:
A Therapeutic Vaccine Against Transforming Growth Factor-β Prevents Aortic Aneurysm Formation in a Mouse Model of Marfan Syndrome

Okamura Shun, Yagi Hiroki, Hayashi Hiroki, Ueda Tomomi, Shindo Akito, Kadowaki Hiroshi, Nakagami Hironori, Takeda Norihiko, Akazawa Hiroshi

Aortic Length Indexed to Body Surface Area Predicts Mortality in Veterans with Ascending Thoracic Aortic Aneurysm

Dave Amartya, Kiran Shreyas, Li Yimeng, Huang Yixuan, Gomez Axel, Carroway William, Boskovski Marko, Ge Liang, Tseng Elaine

More abstracts from these authors:
PTSD-Dependent Acceleration of Aortopathy

Holman Heather, Xiong Ying, Ruddy Jean Marie, Zeigler Sanford, Jones Jeffrey

Resolvin D2 Administration After Murine Thoracic Aortic Aneurysm Formation Attenuates Further Development

Do-nguyen Chi Chi, Xiong Ying, Jones Jeffrey, Ruddy Jean Marie, Pope Nicolas

You have to be authorized to contact abstract author. Please, Login
Not Available