Logo

American Heart Association

  83
  0


Final ID: 4360523

Lifetime Earnings in Pediatric Cardiology: A Net Present Value Analysis of Academic and Private Practice Pathways

Abstract Body (Do not enter title and authors here): Introduction: Pediatric cardiology requires extensive training, yet the long-term financial implications across academic subspecialties and private practice remain poorly characterized. A clearer understanding of these differences is essential for career decision-making and workforce planning.
Methods: We used a net present value (NPV) framework to model lifetime earnings for pediatric cardiologists across three academic subspecialties (diagnostic, cardiac intensive care, and interventional) under five promotion trajectories and compared them with private practice. Compensation data were sourced from the Association of Academic Administrators in Pediatrics (AAAP), the Association of American Medical Colleges (AAMC), and the Medical Group Management Association (MGMA). Monte Carlo simulations (10,000 iterations) and sensitivity analyses accounted for variation in salary percentile, discount rate, and career length.
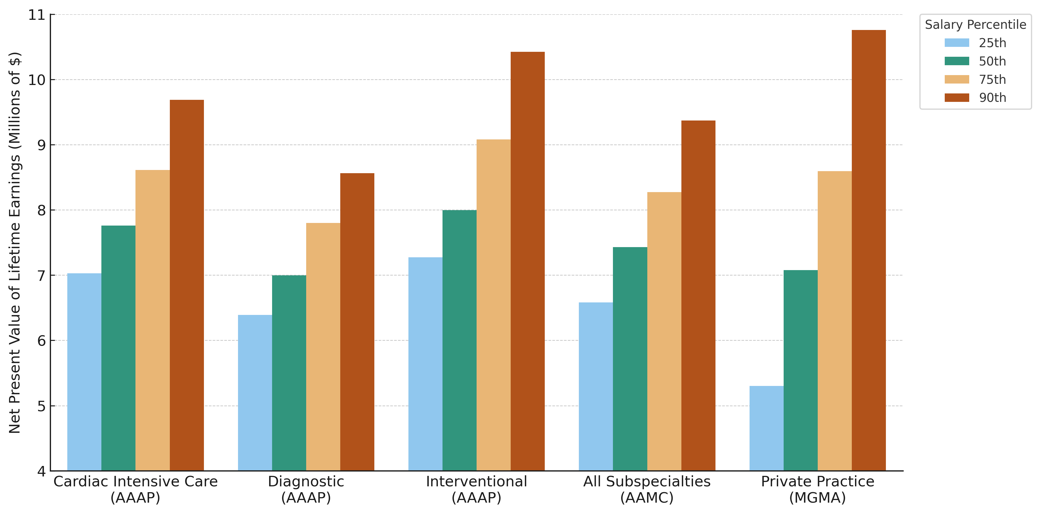
Results: Lifetime earnings were substantial across all pediatric cardiology career pathways, with NPVs exceeding $7 million (M) in most modeled scenarios (Figure 1). Interventional cardiology yielded the highest NPV at the 50th percentile (Figure 2) under a typical academic promotion trajectory ($7.99M), followed by cardiac intensive care ($7.76M) and diagnostic cardiology ($7M). Private practice produced an NPV of $7.08M at the 50th percentile, with a ramp-up model increasing this to $7.30M; still below interventional and CICU tracks. Academic earnings rose by up to $2.44M through early promotion compared to no promotion, and by up to $867,000 through leadership roles, depending on subspecialty. Salary percentile was the most influential driver of NPV; interventional cardiology at the 90th percentile exceeded $10.4M, and private practice reached $10.76M. Private practice exhibited the widest range of lifetime earnings (Figure 3).
Conclusion: Pediatric cardiologists; particularly those in interventional subspecialties or academic leadership; achieve substantial lifetime earnings. At the 50th percentile, academic and private practice careers offer comparable financial outcomes, but private practice shows greater variability. Optimizing academic career pathways through early promotion, high-percentile salaries, or leadership roles can match or exceed private practice earnings. These findings can guide trainee decision-making and inform strategies for recruitment, retention, and compensation equity in pediatric cardiology.
  • Almasri, Murad  ( Arkansas Children's Hospital , Little Rock , Arkansas , United States )
  • Ehsan, Lubaina  ( Arkansas Children's Hospital , Little Rock , Arkansas , United States )
  • Masri, Abdelrahman  ( Arkansas Children's Hospital , Little Rock , Arkansas , United States )
  • Ayyad, Mohammed  ( Rutgers Health , Newark , New Jersey , United States )
  • Joshi, Krittika  ( Arkansas Children's Hospital , Little Rock , Arkansas , United States )
  • Daily, Joshua  ( Arkansas Children's Hospital , Little Rock , Arkansas , United States )
  • Author Disclosures:
    Murad Almasri: DO NOT have relevant financial relationships | Lubaina Ehsan: DO NOT have relevant financial relationships | Abdelrahman Masri: DO NOT have relevant financial relationships | Mohammed Ayyad: DO NOT have relevant financial relationships | Krittika Joshi: DO NOT have relevant financial relationships | Joshua Daily: DO NOT have relevant financial relationships
Meeting Info:

Scientific Sessions 2025

2025

New Orleans, Louisiana

Session Info:

Young Hearts Early Career Investigator Award Competition

Saturday, 11/08/2025 , 03:15PM - 04:30PM

Abstract Oral Session

More abstracts on this topic:
A Multicenter Friedreich Ataxia Registry Identifies Posterior Wall Thickness as a Predictor of Major Adverse Cardiac Events

Lin Kimberly, Johnson Jonathan, Mccormack Shana, Lynch David, Tate Barbara, Feng Yixuan, Huang Jing, Mercer-rosa Laura, Dedio Anna, Mcsweeney Kara, Fournier Anne, Yoon Grace, Payne Ronald, Cripe Linda, Patel Aarti, Niaz Talha

Clinical Outcomes and Healthcare Resource Utilization Following Percutaneous Coronary Intervention for ST-segment-elevation Myocardial Infarction in Adult Patients Treated in US Hospitals

Krishnaswami Shanthi, Clark Brendan, Tyagi Manu, Sinha Meenal, Donato Bonnie Mk, Wittrup-jensen Villum, Cao Zhun

More abstracts from these authors:
Current Status and Challenges of Cardiac Transplantation in the MENA Region: A Narrative Review

Tanashat Mohammad, Ayyad Mohammed, Alhuneafat Laith, Abu Daoud Mouath, Nusier Jana, Al Taani Omar, Abu-laila Mutaz, Al-ajlouni Yazan

Electronic Health Alerts to Improve Mortality and Medication Adherence in Heart Failure Patients: A Systematic Review and Meta-analysis of Randomized Controlled Trials

Khan Ubaid, Iltaf Arej, Amin Ahmed Mazen, Ayyad Mohammed, Imran Muhammad, Ranabhat Chet, Abuelazm Mohamed

You have to be authorized to contact abstract author. Please, Login
Not Available