Logo

American Heart Association

  33
  0


Final ID: MP2137

Three-Dimensional Echocardiographic Evaluation of Right Ventricular Dysfunction in Chronic Obstructive Pulmonary Disease

Abstract Body (Do not enter title and authors here): Introduction:
Right ventricular (RV) dysfunction is a significant contributor to morbidity in chronic obstructive pulmonary disease (COPD), yet often remains underdiagnosed. Advanced echocardiographic techniques, including 3D imaging and strain analysis, offer enhanced sensitivity for early detection of RV impairment.
Research Questions:
What is the prevalence and extent of RV dysfunction in COPD patients using advanced echocardiography?
How does RV function correlate with COPD severity and functional capacity?
Methods: Eighty-five COPD patients (as per 2023 GOLD guidelines) and 40 matched healthy controls were enrolled. All subjects underwent transthoracic echocardiography, including 2D imaging, tissue Doppler, speckle tracking, and 3D echocardiography. RV parameters assessed included TAPSE, RV FAC, 3D RV ejection fraction (RVEF), RV longitudinal strain (RVLS), and RV free wall strain (RVFWS). Pulmonary function testing and six-minute walk test (6MWT) were also performed.
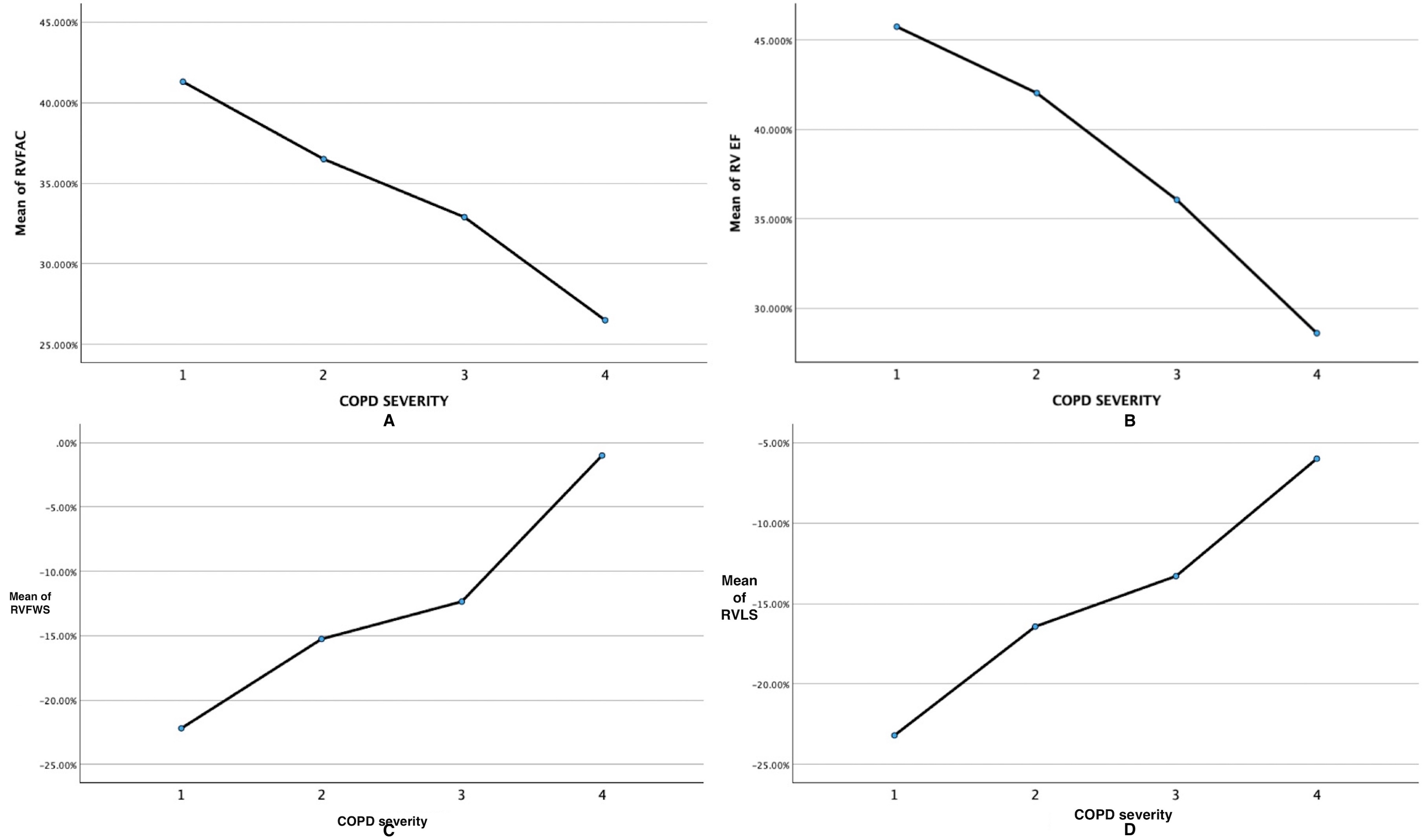
Results: Mean age of the study population was 62.1+ 9.2 years with majority (69; 81.2%) of them being males. A significant proportion (68; 80%) were smokers while 15 (17.6%) had biomass fuel smoke exposure. Most patients had either moderate (39; 45.9%) or severe COPD (35; 41.2%). COPD patients showed significantly lower RVLS (−15.4 ± 5.9% vs −22.7 ± 4.9%), RVFWS (−14.2 ± 9.1% vs −23.2 ± 5.2%), and RVEF (39.5±8.5% vs 54.1±5.6%; all P< 0.0001) as compared to controls. RV dysfunction was present in 52 [61.2%] (by FAC) and 67 [78.8%] (by RVEF). Subjects with severe COPD had significantly lower mean RV longitudinal strain (RVLS) [-13.3 + 5.6% vs -23.2 + 2.1% ; P<0.0001], mean RV free wall strain [-12.3+7.9% vs -22.2+2.2%; P<0.0001] and mean RVEF [ 36.1+7.6% vs 45.7+ 5.5%; P=0.014] as compared to mild cases. Severe COPD patients had markedly worse RV parameters, RVLS and RVFWS correlated negatively with FEV1 (r = −0.551 and −0.448, respectively; both P = 0.001)
Conclusion:
3D echocardiography and strain imaging are effective in detecting subclinical RV dysfunction in COPD. Their incorporation into routine evaluation may enhance risk stratification and guide timely therapeutic interventions.
  • Sharma, Ruchi  ( ESIC MEDICAL COLLEGE AND HOSPITAL , Delhi , India )
  • Kunal, Shekhar  ( ESIC Medical College and Hospital , New Delhi , India )
  • Arora, Ruchi  ( ESIC MEDICAL COLLEGE AND HOSPITAL , Delhi , India )
  • Author Disclosures:
    Ruchi Sharma: DO NOT have relevant financial relationships | Shekhar Kunal: No Answer | Ruchi Arora: No Answer
Meeting Info:

Scientific Sessions 2025

2025

New Orleans, Louisiana

Session Info:

Echoes of Progress: Innovation, Automation and Disease Specific Insights

Monday, 11/10/2025 , 12:15PM - 01:30PM

Moderated Digital Poster Session

More abstracts on this topic:
4D Flow MRI Allows for Enhanced Characterization of Aortic Regurgitation

Avgousti Harris, Johnson Ethan, Berhane Haben, Thomas James, Allen Bradley, Markl Michael, Appadurai Vinesh

4D Cardiac Magnetic Resonance Identifies Differences in Regional Strain Patterns Among Pediatric Heart Transplant Patients with Acute Rejection or Cardiac Allograft Vasculopathy

Henderson Christopher, Starnes Joseph, Samyn Margaret, Damon Bruce, Hernandez Lazaro, Goergen Craig, Soslow Jonathan, Prado Marco Aurélio, Earl Conner, Georgedurrett Kristen, Lee Simon, Nandi Deipanjan, Chan Kak-chen, Shugh Svetlana, Kikano Sandra

You have to be authorized to contact abstract author. Please, Login
Not Available