Logo

American Heart Association

  74
  0


Final ID: MP1621

Worsening diet quality and low behavioral health scores among US adults with Preclinical Heart Failure: National Health and Nutrition Examination Survey 2007-2018

Abstract Body (Do not enter title and authors here): Background: With heart failure (HF) prevalence rising, targeting its preclinical stages is key to prevention and reduction of morbidity and mortality. The American Heart Association’s Life’s Essential 8 (LE8) framework focuses on modifiable behavioral risk factors (diet, physical activity, smoking, sleep), yet their prevalence in preclinical HF is not well understood. We aimed to assess these behavioral factors in U.S. adults with preclinical HF using LE8 and compare them to those without preclinical HF.
Methods: We analyzed data from 10,748 adults aged ≥20 years without clinical HF using NHANES 2007–2018. Preclinical HF was defined by having at least one of the following: hypertension, diabetes, obesity, ASCVD, or structural heart issues (e.g., MI history). Behavioral factors were scored via the LE8 system (0–100) and grouped as low (<50), moderate (50–79), or high (≥80). Sampling weights accounted for NHANES’s design. We estimated the prevalence and 95% CIs of each behavior group for preclinical HF across cycles and compared mean behavioral scores between those with and without preclinical HF. Linear models assessed score trends over time.
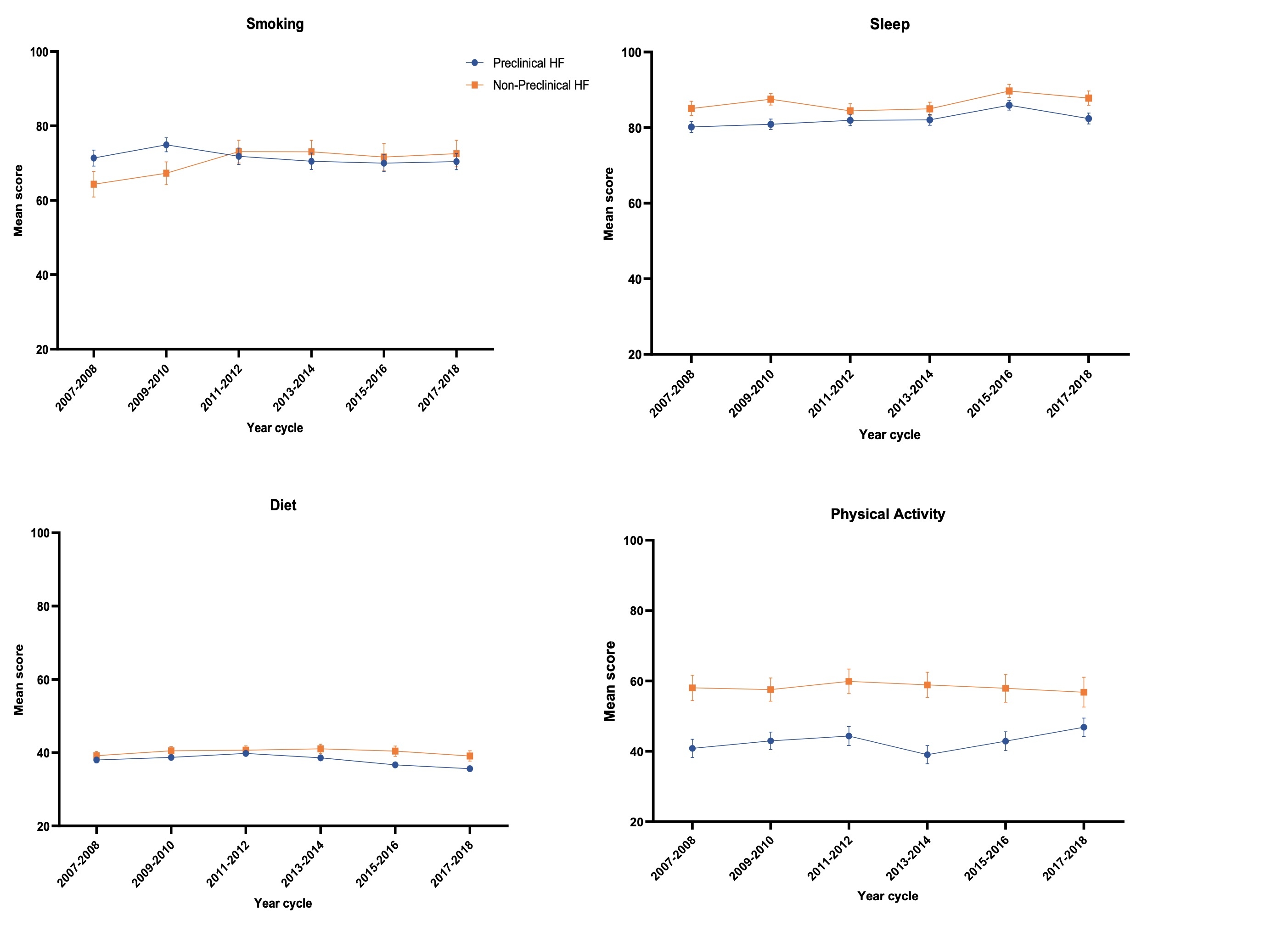
Results: Compared to those without preclinical HF, individuals with preclinical HF showed significantly lower mean scores for diet (37.8; 95%CI: 37.5–38.1 vs. 40.1; 95%CI: 39.6–40.6, P < .0001), physical activity (42.9; 95%CI: 41.8–43.9 vs. 58.2; 95%CI: 56.7–59.6, P < .0001), and sleep (82.3; 95%CI: 81.7–82.8 vs. 86.5; 95%CI: 85.8–87.2, P < .0001), except for smoking (71.4; 95%CI: 70.5–72.3 vs. 70.2; 95%CI: 68.8–71.5, P = 0.10). Overtime, the decade of observation, diet quality declined among individuals with preclinical HF (β = –0.58, P<0.0001), whereas no change was observed among those without preclinical HF (β = –0.002, P= 0.986). Smoking scores also worsened in preclinical HF (β= –0.597,P=0.02 for trend), contrasting with an improvement in non-preclinical HF individuals (β =1.573,P<0.0001 for trend) (P<0.001 for interaction).
Conclusion: Among US adults with preclinical HF, LE8 derived behavioral scores are particularly poor for diet and physical activity and the score for diet is worsening overtime. These results highlight opportunities for targeted interventions in this high-risk population.
  • Henriquez-santos, Gretell  ( NIH , Bethesda , Maryland , United States )
  • Kim, Ji-eun  ( NIH , Bethesda , Maryland , United States )
  • Hashemian, Maryam  ( National Institute of Health , Bethesda , Maryland , United States )
  • Roger, Veronique  ( NIH , Bethesda , Maryland , United States )
  • Author Disclosures:
    Gretell Henriquez-Santos: DO NOT have relevant financial relationships | Ji-Eun Kim: No Answer | Maryam Hashemian: DO NOT have relevant financial relationships | Veronique Roger: DO NOT have relevant financial relationships
Meeting Info:

Scientific Sessions 2025

2025

New Orleans, Louisiana

Session Info:

Drivers of Heart Failure: Environmental and Behavioral Factors

Sunday, 11/09/2025 , 09:15AM - 10:30AM

Moderated Digital Poster Session

More abstracts on this topic:
First-line beta blocker use for hypertension treatment among >3.1 million Veterans with and without compelling indications, 2000-2022

Derington Catherine, Ho Michael, Cohen Jordana, Bress Adam, Berchie Ransmond, Mohanty April, Jacobs Joshua, Xu Yizhe, King Jordan, Rethy Leah, Cushman William, Zickmund Susan


A blood test based on RNA-seq and machine learning for the detection of steatotic liver disease: A Pilot Study on Cardiometabolic Health

Poggio Rosana, Berdiñas Ignacio, La Greca Alejandro, Luzzani Carlos, Miriuka Santiago, Rodriguez-granillo Gaston, De Lillo Florencia, Rubilar Bibiana, Hijazi Razan, Solari Claudia, Rodríguez Varela María Soledad, Mobbs Alan, Manchini Estefania

More abstracts from these authors:
All-cause and Cause-specific Mortality Disparities in the District of Columbia: Temporal Trends from 2000 to 2020

Hashemian Maryam, Conners Katherine, Powell-wiley Tiffany, Rafi Rebeka, Henriquez Santos Gretell, Shearer Joe, Joo Jungnam, Shiels Meredith, Roger Veronique

A Scoping Review Exploring Cardiovascular Risk and Health Metrics and Cancer Prediction

Kim Ji-eun, Henriquez Santos Gretell, Kumar Sant, Livinski Alicia, Vo Jacqueline, Joo Jungnam, Shearer Joe, Hashemian Maryam, Roger Veronique

You have to be authorized to contact abstract author. Please, Login
Not Available