Logo

American Heart Association

  26
  0


Final ID: 4346161

Using an Algorithm-based Decision Support Tool to Identify the Most Likely Source of Dyspnea in Patients With Heart Failure Presenting to the Emergency Department

Abstract Body (Do not enter title and authors here): Background: Dyspnea is a common yet diagnostically challenging complaint at emergency department (ED) triage, particularly in patients with heart failure (HF). We sought to develop an algorithm-based decision support tool leveraging limited data available at triage to determine likely source of dyspnea for patients with HF at ED presentation.

Methods: This was a retrospective observational cohort study of patients with HF seen in the ED for dyspnea at one of 16 UPMC-affiliated hospitals between January 2018 and December 2021. Three trained reviewers extracted 93 variables from structured (e.g., vital signs) and unstructured (e.g., clinician notes) electronic health record (EHR) data. The primary outcome was the underlying cause of dyspnea adjudicated from discharge summaries/clinician notes into one of 19 non-mutually exclusive diagnosis groups chosen a priori. We used LASSO regression with 10-fold cross-validation followed by clinician expert opinion for dimensionality reduction. Then we built separate forward stepwise logistic regression (LR) models to identify the most relevant features and derive unbiased coefficients. We assessed models’ discriminative performance using area under the receiver operating characteristic curve (AUC).

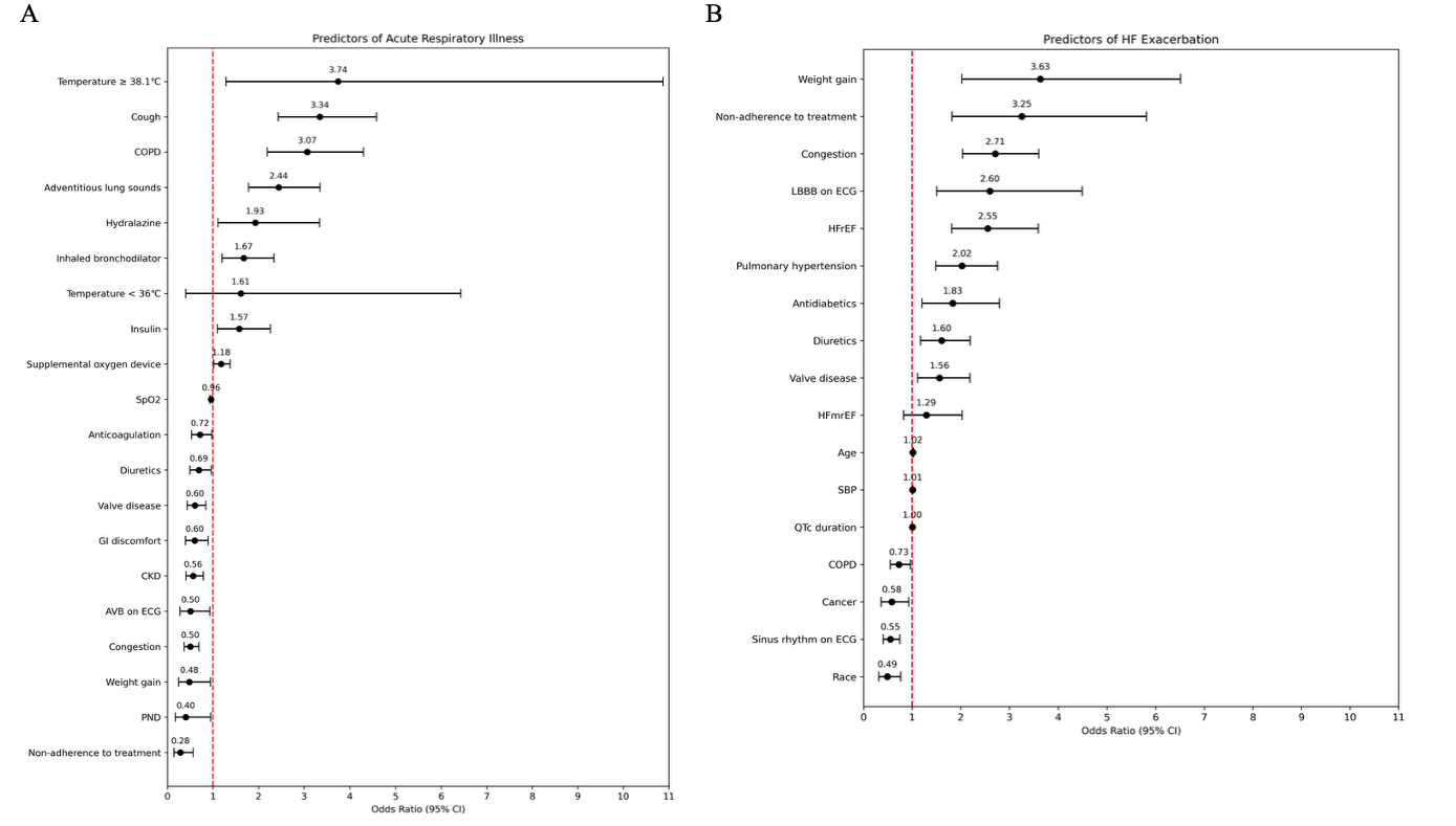
Results: The sample included 1,114 patients (mean±SD age 74±13 years, 52% female, 14% Black, 62% with HFpEF). Of the 19 possible diagnoses, HF exacerbation (HFE, n=489) and acute respiratory illness (ARI, n=393) were most prevalent and used for modeling. The models achieved AUCs of 0.834 for ARI and 0.797 for HFE. Most features selected by forward stepwise LR remained independently associated with outcomes. Of the 19 features included in the ARI model, the most relevant were hyperthermia at triage (OR = 3.739 [95% CI, 1.286–10.877]) and reported cough (OR = 3.339 [95% CI, 2.431–4.585]). Of the 16 identified in the HFE model, key features included reported weight gain (OR = 3.629 [95% CI, 2.023–6.512]) and treatment non-adherence (OR = 3.251 [95% CI, 1.819–5.811]). Algorithms predicted both HFE and ARI in 6%, HFE alone in 33%, ARI alone in 23% and neither in 37% of cases.

Conclusion: Algorithm-based models using data available at triage can effectively detect HF exacerbation and acute respiratory illness as sources of dyspnea in many patients with HF. These tools hold promise for early diagnostic support and triage prioritization. Future research should focus on the prospective validation of these models in diverse ED settings.
  • Kraevsky, Karina  ( University of Pittsburgh , Pittsburgh , Pennsylvania , United States )
  • Scott, Paul  ( University of Pittsburgh , Pittsburgh , Pennsylvania , United States )
  • Henker, Richard  ( University of Pittsburgh , Glenshaw , Pennsylvania , United States )
  • Tuite, Patricia  ( UNIV OF PITTSBURGH , Glenshaw , Pennsylvania , United States )
  • Zegre-hemsey, Jessica  ( University of North Carolina - Chapel Hill , Chapel Hill , North Carolina , United States )
  • Callaway, Clifton  ( UNIVERSITY PITTSBURGH , Pittsburgh , Pennsylvania , United States )
  • Al-zaiti, Salah  ( UNIVERSITY OF ROCHESTER , Rochester , New York , United States )
  • Author Disclosures:
    Karina Kraevsky: DO NOT have relevant financial relationships | Paul Scott: No Answer | Richard Henker: DO NOT have relevant financial relationships | Patricia Tuite: No Answer | Jessica Zegre-Hemsey: DO NOT have relevant financial relationships | Clifton Callaway: DO have relevant financial relationships ; Other (please indicate in the box next to the company name):Intellicardio (co-Founder):Active (exists now) ; Individual Stocks/Stock Options:Apple, Inc:Active (exists now) | Salah Al-Zaiti: DO NOT have relevant financial relationships
Meeting Info:

Scientific Sessions 2025

2025

New Orleans, Louisiana

Session Info:
More abstracts on this topic:
City-Wide Hands-On Cardiopulmonary Resuscitation Training Improves Basic Life Support Skills in Elementary School children:A Healthcare-Led Initiative With Support From Local Authorities and Fire Department.

Otsuka Maki, Nohara Shoichiro, Kawakami Shoji, Fukumoto Yoshihiro, Yamakawa Rei, Hayashida Miyu, Nishikido Aya, Matsushima Yoshihisa, Yanai Toshiyuki, Ohbu Kyoko, Homma Takehiro, Shibata Tatsuhiro

Accelerating Stroke Care at an Academic Hospital: Evaluating the Impact of a Launchpad Initiative on Door-to-Needle Times One Year Later

Shoemaker Camella, Shugrue Leah, Coccia Michael, Bakradze Ekaterina, Shapshak Dag, Gropen Toby, Thompson Karen, Taylor Danielle, Morrison Amanda, Stallings Ashley, Shipley Sarah, Jones Tamicka, Rafferty Rachael, Reid Tonya

More abstracts from these authors:
You have to be authorized to contact abstract author. Please, Login
Not Available