Logo

American Heart Association

  77
  0


Final ID: MP2357

The Impact of English Language Proficiency on Outcomes After Cardiovascular Surgery

Abstract Body (Do not enter title and authors here): Introduction:
Language barriers represent an often-overlooked determinant of health equity. This study evaluates the impact of limited English proficiency (LEP) on major adverse cardiac events (MACE) and mortality in patients undergoing cardiovascular surgery. We hypothesized that patients with LEP have a higher incidence of adverse outcomes compared to English proficient patients.

Methods:
We conducted a retrospective cohort study using Cosmos, a longitudinal national electronic health record dataset. Patients were classified as having LEP if their record indicated a preferred language other than English. Adult patients aged 18-95 years who underwent coronary artery bypass grafting, valvular surgery, or thoracic aorta surgery in the United States (January 2016 - February 2025) were included. Exclusion criteria were missing language data, first in-person encounter <1 year prior to surgery, history of metastatic cancer or dialysis, and nursing home residence within 90 days of surgery. The primary outcome was MACE, a composite of stroke, revascularization, and hospitalization for myocardial infarction or heart failure. The secondary outcome was all-cause mortality. The cumulative incidence of MACE was estimated via a competing risk framework, while the cumulative incidence of mortality was estimated with the Kaplan-Meier method. Multivariate Cox proportional hazard regressions were fitted for all outcomes.

Results:
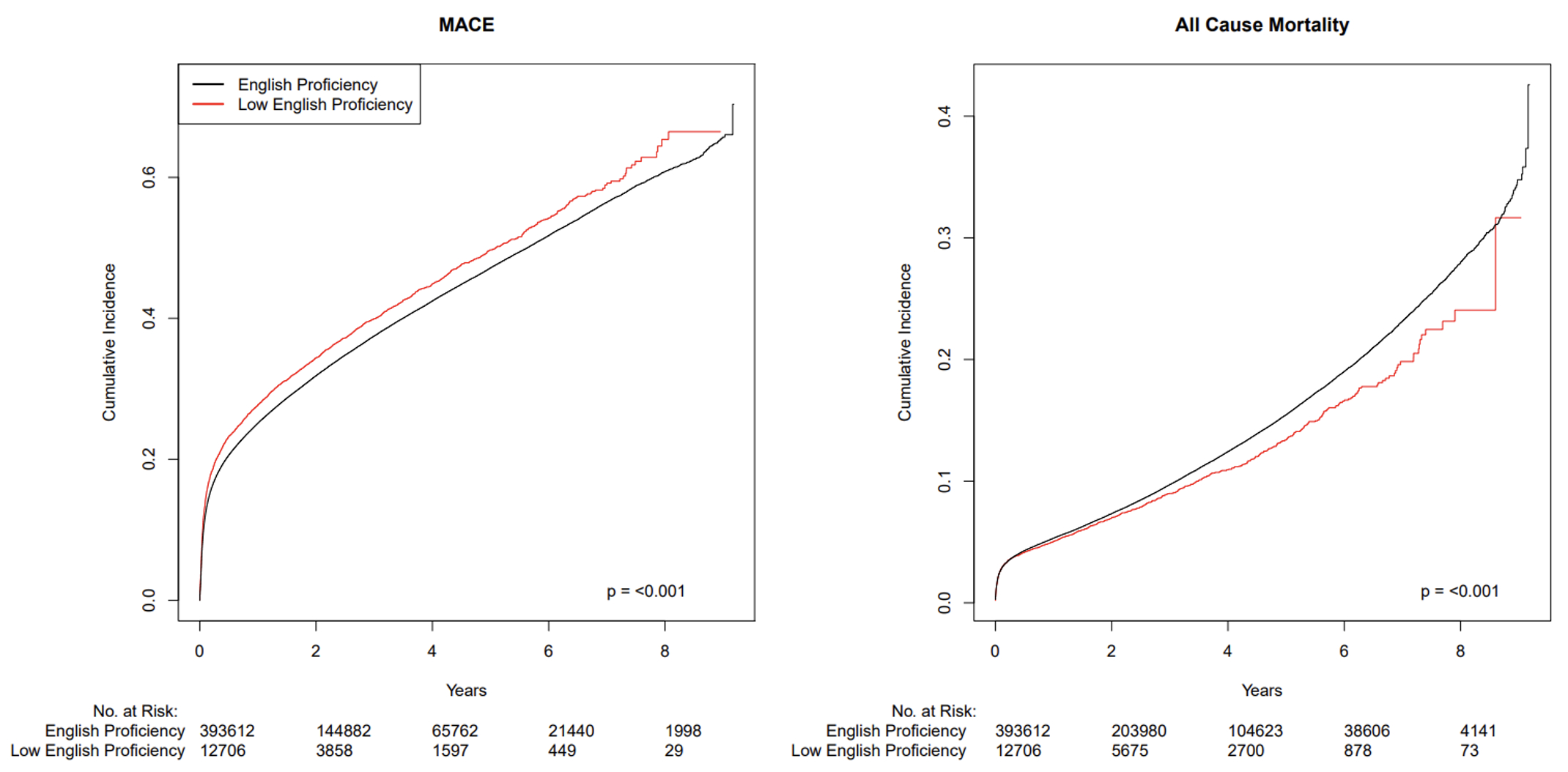
The cohort included 12,706 LEP patients (28.8% female) and 393,612 English-proficient patients (33.2% female). Differences in baseline characteristics included age, race, and comorbidity burden. The unadjusted cumulative incidence of MACE was higher in LEP patients, but all-cause mortality was lower (Figure 1). Over the follow-up period, the incidence rate of MACE for English proficient patients vs LEP was 185 vs 219 per 1000 patient years and 39 vs 36 per 1000 patient years for mortality. The adjusted hazard ratio for MACE was 0.97 (95% CI: 0.94 - 1.01, p = 0.19) and 0.89 (95% CI: 0.83 - 0.95, p <0.001) for mortality.

Conclusions:
LEP was associated with higher unadjusted cumulative incidence of MACE and lower mortality, but only the association with mortality persisted after regression analysis. Our findings highlight the need for further research into the impact of language proficiency on outcomes after cardiac surgery and the potential benefit of targeted interventions to address language-related disparities.
  • Rios, Jose  ( Stanford Medicine , Palo Alto , California , United States )
  • Castro, Samuel  ( Stanford Medicine , Palo Alto , California , United States )
  • Yasui, Osamu  ( Stanford Medicine , Palo Alto , California , United States )
  • Powell, Johnny  ( Stanford Medicine , Palo Alto , California , United States )
  • Milam, Adam  ( Mayo Clinic , Phoenix , Arizona , United States )
  • Sun, Louise  ( Stanford Medicine , Palo Alto , California , United States )
  • Author Disclosures:
    Jose Rios: DO NOT have relevant financial relationships | Samuel Castro: DO NOT have relevant financial relationships | Osamu Yasui: DO NOT have relevant financial relationships | Johnny Powell: DO NOT have relevant financial relationships | Adam Milam: DO NOT have relevant financial relationships | Louise Sun: DO NOT have relevant financial relationships
Meeting Info:

Scientific Sessions 2025

2025

New Orleans, Louisiana

Session Info:

Margins of Risk: Language, Infection, and Inequity in Cardiac Surgery and Vascular Care

Monday, 11/10/2025 , 09:15AM - 10:25AM

Moderated Digital Poster Session

More abstracts on this topic:
A Nationwide Analysis of Mortality Trends and Disparities in Patients With Diabetes Mellitus and Ischemic Heart Disease in the United States From 1999 to 2023

Patel Tirath, Hafeez Ali Shan, Zaman Asad, Saeed Muhammad Usama, Anand Nikhilesh, Qureshi Ahmar Jan, Tariq Tagga Muhammad Riyyan, Memon Sibgha Fawad, Shah Syeda Simrah, Memon Zauha Fawad, Memon Matia Fawad, Hannat Ramish, Faisal Abdul Rafae

A Body Shape Index at Age 25-64 Predicts Mortality and CHD Hospitalization

Shafran Itamar, Krakauer Nir, Krakauer Jesse, Cohen Gali, Gerber Yariv

More abstracts from these authors:
Discussant: TOP

Sun Louise

Machine Learning–Based Analysis of Behavioral and Social Determinants of Cardiovascular Mortality in Adults With Diabetes

Ahn Woo Jin, Rajeshuni Nitya, Huang Robert, Kamdar Neil, Yasui Osamu, Kim Gloria, Palaniappan Latha, Le Minh, Sun Louise, Gao Shangzi, Kaur Bani, Biswas Avinav, Nguyen Dang, Tivakaran Seth, Srinivasan Malathi, Panyanouvong Nicholas, Uy Lester Andrew

You have to be authorized to contact abstract author. Please, Login
Not Available