Logo

American Heart Association

  191
  0


Final ID: HTN8

Cardiovascular Health Modifies Genetic Risk for the Hypertensive Disorders of Pregnancy

Abstract Body (Do not enter title and authors here): Introduction:
Hypertensive disorders of pregnancy (HDP) are a leading cause of maternal/perinatal mortality. In recent work, a genetic risk score improved prediction of HDPs beyond standard clinical risk factors, but the extent to which cardiovascular health (CVH) modifies HDP genetic risk is unknown.
Hypothesis:
First-trimester CVH can offset genetic risk for HDPs.
Methods:
We examined genotyped participants of the Nulliparous Pregnancy Outcomes Study: Monitoring Mothers-To-Be (nuMoM2b). Individual HDP genetic risk was calculated using a validated polygenic score. A composite first-trimester CVH score was adapted from the Life’s Essential 8 model; cholesterol was incorporated in a subset (47%) with available first-trimester values. Genetic risk and CVH were each grouped as low (bottom quintile), intermediate (Q2-4), and high (top quintile). Logistic regression tested the joint association of CVH and genetic risk with HDP, adjusted for age and sociodemographic covariates.
Results:
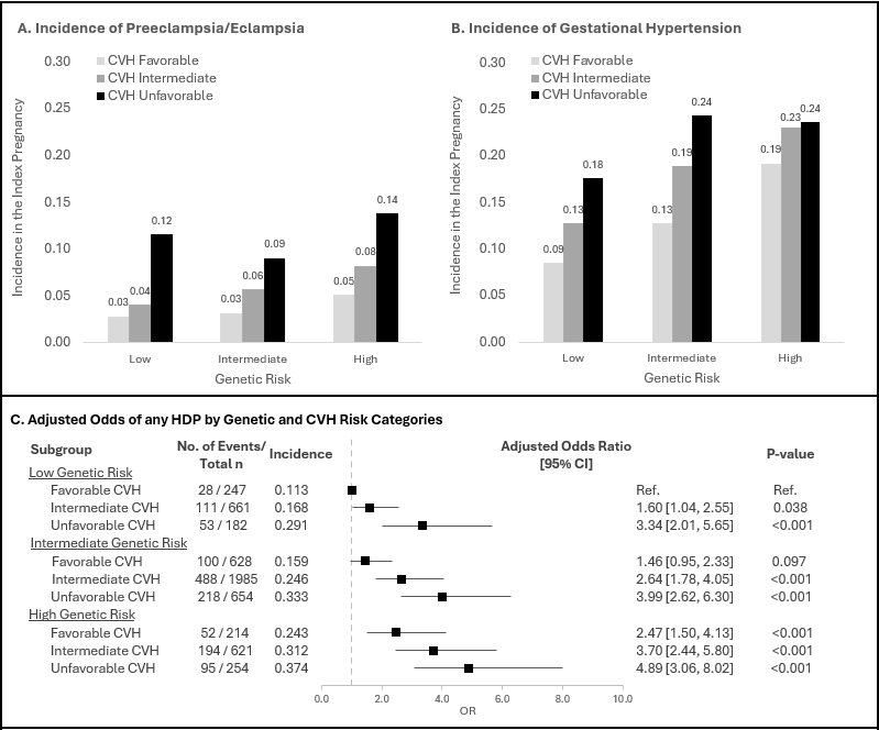
Among 5,446 participants (mean age 27.5 years), 1,339 (24.6%) developed HDP (344 [6.3%] preeclampsia, 995 [18.3%] gestational hypertension [GH]). Higher genetic risk and lower CVH were additively associated with risk of HDP (Figure 1A-B) with no significant interaction (P[interaction] >0.05). HDP incidence ranged from 11% (low genetic risk, favorable CVH) to 37% (high genetic risk, unfavorable CVH) (Figure 1C). Favorable vs. unfavorable CVH was associated with 35-62% lower risk of HDPs across genetic risk groups. Findings were broadly consistent when examining preeclampsia and GH separately and when incorporating cholesterol (i.e., using a complete Life’s Essential 8 score). Among CVH components, nonideal BMI, blood pressure, and diet conferred highest population attributable HDP risk (25%, 14%, and 12%, respectively).
Conclusion:
Higher genetic risk and lower first trimester CVH were additively associated with risk of developing HDP. Favorable CVH in early pregnancy may partially offset a higher genetic risk for HDP.
  • Mathew, Vineetha  ( Tufts University School of Medicine , Jamaica Plain , Massachusetts , United States )
  • Khan, Raiyan  ( Columbia University , New York , New York , United States )
  • Mcneil, Rebecca  ( RTI International , Durham , North Carolina , United States )
  • Yan, Qi  ( Columbia University , New York , New York , United States )
  • Pe Er, Itsik  ( Columbia University , New York , New York , United States )
  • Truong, Buu  ( Broad Institute of MIT and Harvard , Boston , Massachusetts , United States )
  • Natarajan, Pradeep  ( Massachusetts General Hospital , Boston , Massachusetts , United States )
  • Yee, Lynn  ( Northwestern University Feinberg School of Medicine , Chicago , Illinois , United States )
  • Sharma, Garima  ( Inova Heart and Vascular Institute , Falls Church , Virginia , United States )
  • Patel, Aniruddh  ( Massachusetts General Hospital , Boston , Massachusetts , United States )
  • Cho, So Mi  ( Broad Institute of MIT and Harvard , Boston , Massachusetts , United States )
  • Jowell, Amanda  ( Massachusetts General Hospital , Boston , Massachusetts , United States )
  • Pabon, Maria  ( Brigham and Women's Hospital , Boston , Massachusetts , United States )
  • Silver, Robert  ( University of Utah Health Sciences Center , Salt Lake City , Utah , United States )
  • Levine, Lisa  ( University of Pennsylvania Perelman School of Medicine , Philadelphia , Pennsylvania , United States )
  • Grobman, William  ( Brown University , Providence , Rhode Island , United States )
  • Catov, Janet  ( University of Pittsburgh School of Medicine , Pittsburgh , Pennsylvania , United States )
  • Haas, David  ( Indiana University School of Medicine , Indianapolis , Indiana , United States )
  • Honigberg, Michael  ( Massachusetts General Hospital , Boston , Massachusetts , United States )
  • Author Disclosures:
    Vineetha Mathew: DO NOT have relevant financial relationships | Aniruddh Patel: No Answer | So Mi Cho: DO NOT have relevant financial relationships | Amanda Jowell: DO NOT have relevant financial relationships | Maria Pabon: DO NOT have relevant financial relationships | Robert Silver: No Answer | Lisa Levine: No Answer | William Grobman: No Answer | Janet Catov: DO NOT have relevant financial relationships | David Haas: No Answer | Michael Honigberg: DO have relevant financial relationships ; Advisor:Miga Health:Active (exists now) ; Research Funding (PI or named investigator):Novartis:Expected (by end of conference) ; Consultant:Comanche Biopharma:Past (completed) ; Research Funding (PI or named investigator):Genentech:Active (exists now) | Raiyan Khan: No Answer | Rebecca McNeil: DO NOT have relevant financial relationships | Qi Yan: DO NOT have relevant financial relationships | Itsik Pe er: No Answer | Buu Truong: DO NOT have relevant financial relationships | Pradeep Natarajan: DO have relevant financial relationships ; Researcher:Allelica:Active (exists now) ; Advisor:Preciseli:Active (exists now) ; Advisor:MyOme:Active (exists now) ; Advisor:Esperion Therapeutics:Active (exists now) ; Advisor:TenSixteen Bio:Active (exists now) ; Consultant:Novartis:Active (exists now) ; Consultant:Genentech / Roche:Active (exists now) ; Consultant:Eli Lilly & Co:Active (exists now) ; Researcher:Novartis:Active (exists now) ; Researcher:Genentech / Roche:Active (exists now) | Lynn Yee: DO NOT have relevant financial relationships | Garima Sharma: DO NOT have relevant financial relationships
Meeting Info:

Scientific Sessions 2024

2024

Chicago, Illinois

Session Info:

Best of AHA Specialty Conferences: Hypertension 2024

Sunday, 11/17/2024 , 03:15PM - 04:15PM

Best of Specialty Conferences

More abstracts on this topic:
Associations Between Prepregnancy Lipoprotein(a) and Birth Outcomes: The Hispanic Community Health Study/Study of Latinos

Habib Ashkan, Graff Mariaelisa, Rodriguez Carlos, Avery Christy, Ballou Anna, April-sanders Ayana, Van Wickle Kimi, Meyer Michelle, Sotres-alvarez Daniela, Vanterpool Yessica, Vladutiu Catherine, Welch Barrett

Associations between Body Mass Index, Adverse Pregnancy Outcomes, and Cardiovascular Risk Factors in Midlife: A Mediation analysis in the Hyperglycemia and Adverse Pregnancy Outcomes (HAPO) Study

Borrowman Jaclyn, Huang Xiaoning, Petito Lucia, Perak Amanda, Scholtens Denise, Lowe William, Lloyd-jones Donald, Grobman William, Khan Sadiya

More abstracts from these authors:
The Duration of Expectant Management During Hypertensive Disorders of Pregnancy and Blood Pressure 2-7 Years After Delivery

Shree Raj, Bairey Merz C Noel, Grobman William, Catov Janet, Pike Mindy, Simhan Hyagriv, Yee Lynn, Levine Lisa, Silver Robert, Hoffman Matthew, Greenland Philip, Saade George

Racial Disparities in Low-Density Lipoprotein Cholesterol Control and Lipoprotein(a) Testing Among Young Adult Women with Severe Hyperlipidemia

Jowell Amanda, Cho So Mi, Faaborg-andersen Christian, Yu Zhi, Natarajan Pradeep, Honigberg Michael, Harrington Colleen

You have to be authorized to contact abstract author. Please, Login
Not Available