Logo

American Heart Association

  111
  0


Final ID: 4169341

Myeloperoxidase Inhibition with Mitiperstat in Heart Failure with Preserved and Mildly Reduced Ejection Fraction: Primary Results from the ENDEAVOR Randomized Clinical Trial

Abstract Body (Do not enter title and authors here): Hypothesis/Purpose: Myeloperoxidase (MPO), an inflammatory mediator released by neutrophils, has been associated with microvascular dysfunction, myocardial fibrosis, and cardiomyocyte dysfunction. We hypothesized that MPO may be a novel treatment target for HFpEF.

Study Design/Methods: Multicenter, randomized, placebo-controlled, double-blind trial of the MPO inhibitor mitiperstat vs. placebo (NCT04986202), conducted from 2021–2024 at 142 sites in 18 countries.

Sample Size: n=711 randomized: mitiperstat 2.5 mg (n=235), 5.0 mg (n=240), and placebo (n=236).

Population Studied: Symptomatic HF (NYHA class II-IV) with LVEF >40%; KCCQ-TSS ≤90 points, 6MWD 30–400 meters; ↑NTproBNP; and (1) structural heart disease, (2) ↑LV filling pressure, (3) significant diastolic dysfunction, or (4) recent HF hospitalization.

Intervention: 48-wk treatment with mitiperstat 2.5 mg, mitiperstat 5.0 mg, or placebo (randomized 1:1:1, stratified by baseline neutrophil count [≤4 vs. >4 K/uL]).

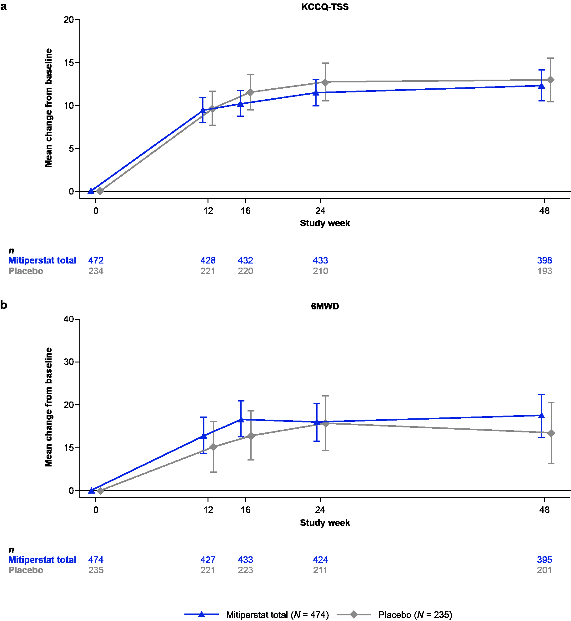
Primary End Points: Change in KCCQ Total Summary Score (KCCQ-TSS) and 6-minute walk distance (6MWD) from baseline to 16 wks. An ANCOVA model was used to estimate treatment effects of mitiperstat vs. placebo.

Secondary End Points: Changes from baseline in KCCQ-TSS and 6MWD (24 and 48 wks); biomarkers (NTproBNP, CRP, IL-6; 6, 24, and 48 wks); and echo parameters (LV global longitudinal strain, LVMI, and LAVI; 16 and 24 wks). A composite CV endpoint (HF hospitalization, MI, or death during 48 wks of treatment) was an exploratory endpoint.

Power Calculations: Sample size of 600 (n=200 per arm [n=400 pooled 2.5 and 5.0 mg mitiperstat and n=200 placebo]) provided 85% power at α=0.05 to detect a minimum between-group difference of 6.0 points for △KCCQ-TSS (assumed SD=20 points) and 21 m for △6MWD (assumed SD=70 m).

Results: Table 1 displays baseline characteristics. Mitiperstat (2.5 mg + 5.0 mg groups pooled) vs. placebo did not improve KCCQ-TSS or 6MWD (Fig. 1), or any of the secondary endpoints. Results were similar across pre-specified subgroups. Mitiperstat (vs. placebo) resulted in numerically fewer CV events (HR 0.71 [95% CI 0.42, 1.19]; P=0.20) and fewer HF hospitalizations (HR 0.64 [95% CI 0.35, 1.16]; P=0.14) (Fig. 2). AEs and SAEs were similar across groups.

Conclusions: Mitiperstat was safe but did not improve symptoms or exercise function over 16 weeks in HFpEF. The potential beneficial longer-term effect of mitiperstat on reducing HF hospitalization and death requires further investigation.
  • Lund, Lars  ( Karolinska University Hospital , Stockholm , Sweden )
  • Lam, Carolyn  ( National Heart Centre Singapore , Singapore , Singapore )
  • Ely Pizzato, Patricia  ( AstraZeneca , Gothenburg , Sweden )
  • Michaëlsson, Erik  ( AstraZeneca , Gothenburg , Sweden )
  • Mattsson, Andrea  ( AstraZeneca , Gothenburg , Sweden )
  • Ericsson, Hans  ( AstraZeneca , Gothenburg , Sweden )
  • Baldus, Stephan  ( University Hospital Cologne , Cologne , Germany )
  • Shah, Sanjiv  ( Northwestern University , Chicago , Illinois , United States )
  • Author Disclosures:
    Lars Lund: DO NOT have relevant financial relationships | Carolyn Lam: DO have relevant financial relationships ; Consultant:Alleviant Pharma, Allysta Pharma:Active (exists now) ; Other (please indicate in the box next to the company name):Us2.ai (Co-founder & Non-Executive Director):Active (exists now) ; Research Funding (PI or named investigator):Novo Nordisk, Roche Diagnostics:Active (exists now) ; Consultant:Siemens Healthcare, Us2.ai:Active (exists now) ; Consultant:ReCor Medical, Roche Diagnostics, Sanofi:Active (exists now) ; Consultant:Prosciento Inc, Quidel Corporation, Radcliffe Group:Active (exists now) ; Consultant:Medscape, Merck, Novartis, Novo Nordisk:Active (exists now) ; Consultant:Ionis Pharmaceutical, Janssen R&D LLC:Active (exists now) ; Consultant:Impulse Dynamics, Intellia Therapeutics:Active (exists now) ; Consultant:CPC Clinical Research, Eli Lilly:Active (exists now) ; Consultant:Boston Scientific, Bristol Myers Squibb:Active (exists now) ; Consultant:Biopeutics, Boehringer Ingelheim:Active (exists now) ; Consultant:Astra Zeneca, Bayer:Active (exists now) ; Consultant:AnaCardio, Applied Therapeutics:Active (exists now) | Patricia Ely Pizzato: DO NOT have relevant financial relationships | Erik Michaëlsson: DO have relevant financial relationships ; Employee:AstraZeneca:Active (exists now) ; Individual Stocks/Stock Options:AstraZeneca:Active (exists now) | Andrea Mattsson: DO have relevant financial relationships ; Employee:AstraZeneca:Active (exists now) ; Individual Stocks/Stock Options:AstraZeneca:Active (exists now) | Hans Ericsson: No Answer | Stephan Baldus: No Answer | Sanjiv Shah: DO have relevant financial relationships ; Consultant:Bayer:Active (exists now) ; Consultant:Merck:Active (exists now) ; Consultant:Axon Therapies:Active (exists now) ; Consultant:Corvia :Active (exists now) ; Consultant:Boehringer-Ingelheim:Active (exists now) ; Consultant:Bristol-Myers Squibb:Active (exists now) ; Consultant:Ionis:Active (exists now) ; Consultant:Novartis:Active (exists now) ; Consultant:Tenax:Active (exists now) ; Consultant:Intellia:Active (exists now) ; Consultant:Rivus:Active (exists now) ; Consultant:Novo Nordisk:Active (exists now) ; Consultant:Lilly:Active (exists now) ; Consultant:Pfizer:Active (exists now) ; Consultant:AstraZeneca:Active (exists now)
Meeting Info:

Scientific Sessions 2024

2024

Chicago, Illinois

Session Info:

Building on the 4 Pillars: Novel Trials of Medical Therapy for Heart Failure

Monday, 11/18/2024 , 08:00AM - 09:15AM

Late-Breaking Science

More abstracts on this topic:
Aggressive Risk factor REduction STudy for Atrial Fibrillation (ARREST-AF) implications for ablation outcomes: A Randomized Clinical Trial

Pathak Rajeev, Mahajan Rajiv, Abhayaratna Walter, Kalman Jonathan, Sanders Prashanthan, Elliott Adrian, Lau Dennis, Middeldorp Melissa, Linz Dominik, Fitzgerald John, Ariyaratnam Jonathan, Malik Varun, Noubiap Jean Jacques

A Phase I, Safety, Tolerability, Pharmacokinetics, and Pharmacodynamics of Single Ascending Doses of N-acetylgalactosamine Small Interfering RNA Conjugate, BPR-30221616, in Healthy Participants, for Potential Treatment of Transthyretin Amyloidosis

Han Xiaohong, Chen Rui, Cheng Xiwen, Zhang Langxi, Huang Haoxi, Fan Shengjun

More abstracts from these authors:
Discussant: FOOD-HF

Lam Carolyn

Adiposity and Adipokines and the Comorbidites of HFpEF

Lam Carolyn, Vaduganathan Muthiah

You have to be authorized to contact abstract author. Please, Login
Not Available