Logo

American Heart Association

  140
  0


Final ID: 4165221

Long-term Efficacy of Lerodalcibep in 1,468 Patients at Very High and High Risk for CVD in the 72 week Open-Label Extension Trial

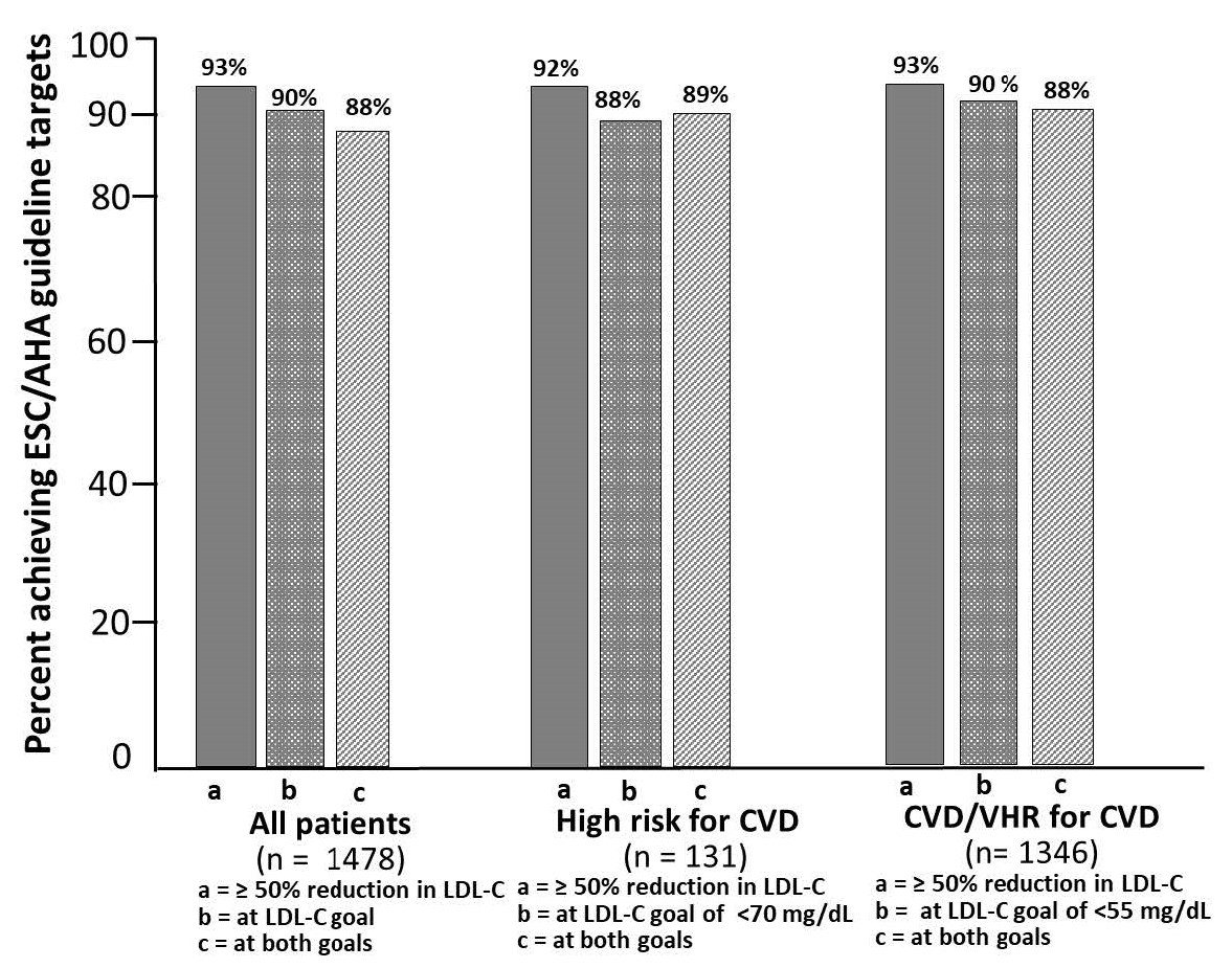
Abstract Body (Do not enter title and authors here): Background: Lerodalcibep, a small binding protein (adnectin) PCSK9 inhibitor reduced placebo-adjusted LDL-cholesterol (LDL-C) by a mean (SE) of 59.1(1.47) % with monthly 300 mg SC 1.2 mL dosing in the 1844 patient 52-week Phase III LIBerate-CVD and LIBerate-HR trials. We report safety and efficacy for a further 72 weeks from the open label extension trial (LIBerate-OLE), in subjects continuing on lerodalcibep, or switched from placebo to lerodalcibep - Figure 1. Methods: Of 1655 (89.8%) patients, 1096 on lerodalcibep, 559 on placebo, who completed week 52, 1486 (90%) continued in the OLE. Participants received lerodalcibep 300 mg monthly immediately on, or within 28 days of, completion of the base trial and were dosed in clinic for 3 months after which they were able to self-dose and return to clinic every 3 months. The primary objectives of this study were to assess the long-term safety, tolerability, and efficacy after 48 and 72 weeks. Results: Mean age (range) was 63.9 (25 to 89) years, 37% female, 79% white, 18% black/multiracial, with 85.5% on statins, 18% on ezetimibe and 67% with CVD and 33% at very high or high risk for CVD. Mean (SD) baseline LDL-C 109 (40.7) mg/dL. Mean (SD) LDL-C reductions in the OLE from original baseline (Figure 2) were 61.8 (26.2)% and 63.6 (29.3)% at weeks 48 and 72 respectively with median LDL-C reduction 71% at week 72. The 2/3rds of patients treated with lerodalcibep for 52 weeks in the base trial plus 72 weeks in OLE showed consistent mean reductions in excess of 60% throughout the >2 years of treatment with no signs of attenuation. During the OLE trial 93% of patients had an LDL-C reduction of >50%, 90% achieved their new lower risk-associated LDL-C target and 88% both goals – Figure 3. Reductions in mean (SD) Apo B and Non-HDL-C were 45 (21)% and 50.8 (22.7)% at week 48 and 44.9 (21.9)% and 53 (26.4)% week 72 respectively. Median (IQR) changes for Lp(a) were -30 (-11.8;-48.6)% at week 48 and -32.3 (-14.9;-50)% at week 72. Lerodalcibep was well tolerated, with no significant additional safety concerns seen. Conclusions: Lerodalcibep significantly and persistently reduced LDL-C with no attenuation in subjects with, or at very high or high risk for, CVD on maximally tolerated statin and other oral agents for >2 years with good adherence to self-dosing, tolerability and no new safety concerns identified. Lerodalcibep enabled nearly 90% of patients to achieve the new globally harmonized more stringent LDL-C goals.
  • Kereiakes, Dean  ( OHIO HEART HEALTH CTR , Cincinnati , Ohio , United States )
  • Fourie, Nyda  ( Iatros , Bloemfontein , South Africa )
  • Scott, Russell  ( NZRC , Christchurch , New Zealand )
  • Asprusten, Emil  ( Oslo University Hospital , Oslo , Norway )
  • Yalim, Zafer  ( Afyonkarahisar Health Sciences University , Afyonkarahisar , Turkey )
  • Vest, Jeff  ( Medpace , Cincinnati , Ohio , United States )
  • Kallend, David  ( LIB Therapeutics, Cincinnati , Hollywood , Florida , United States )
  • Stein, Evan  ( LIB Therapeutics, Cincinnati , Hollywood , Florida , United States )
  • Author Disclosures:
    Dean Kereiakes: DO have relevant financial relationships ; Individual Stocks/Stock Options:Ablative Solutions, Inc.:Active (exists now) ; Consultant:Shockwave:Active (exists now) ; Consultant:Caliber Therapeutics/Orchestra Biomed:Active (exists now) ; Consultant:Elixir Medical, Inc.:Active (exists now) ; Consultant:Edwards Life Sciences, Inc.:Active (exists now) ; Consultant:JC Medical, Inc.:Active (exists now) ; Consultant:Sino Medical Sciences Technologies, Inc.:Active (exists now) | Nyda Fourie: No Answer | Russell SCOTT: DO NOT have relevant financial relationships | Emil Asprusten: DO NOT have relevant financial relationships | Zafer Yalim: No Answer | Jeff Vest: DO NOT have relevant financial relationships | David Kallend: DO have relevant financial relationships ; Employee:LIB Therapeutics LLC:Active (exists now) ; Individual Stocks/Stock Options:LIB Therapeutics LLC:Active (exists now) | Evan Stein: DO have relevant financial relationships ; Employee:LIB Therapeutics:Active (exists now) ; Advisor:VERVE Inc:Active (exists now) ; Individual Stocks/Stock Options:LIB Therapeutics:Active (exists now)
Meeting Info:

Scientific Sessions 2024

2024

Chicago, Illinois

Session Info:

Featured Science: Novel Approaches to Managing Lipid Risk

Saturday, 11/16/2024 , 01:30PM - 02:45PM

Featured Science

More abstracts on this topic:
Cardiology Follow-Up as a Determinant of LDL-C Management Success in Secondary Cardiovascular Prevention

Sedrakyan Surik, Laband William, Nadeem Bilawal, Lam Uyen

A Novel CRISPR based Epigenetic Silencer Potently, Durably, and Safely Reduces LDLc in Non-Human Primates at Therapeutically Relevant Doses

Duncan-lewis Christopher, Narsineni Lokesh, Karmarkar Maitreyee, Li Yuexuan, Krupa Oleh, Bucher Simon, Sharma Neel, Chang Han, Schulwach Keith, Ripley-phipps Sterling, Tran Vanessa, Fernandes Jason, Goh Natalie, Deiter Fred, Reimer Kirsten, Mrak Anna, Eggers Michelle, Sze Christie, Mirotsou Maria, Oresic Bender Kristina, Bardai Farah, Denny Sarah, Charles Emeric, Khakoo Aarif, Oakes Benjamin, Keller Steven, Alcantara-lee Raniel, Santamaria Carlos, Bale Shyam Sundhar, Kozy Heather, Corbo Lana

More abstracts from these authors:
You have to be authorized to contact abstract author. Please, Login
Not Available