Logo

American Heart Association

  167
  0


Final ID: MDP176

Comparative Analysis of the 30-Year Survival after Primary Transplant Versus Reconstructive Surgery for Hypoplastic Left Heart Syndrome

Abstract Body (Do not enter title and authors here): Background: Reconstructive surgery for hypoplastic left heart syndrome (HLHS) starts with the Norwood procedure in early infancy. Primary transplant is an alternative strategy that has shown superior outcomes to reconstructive surgery in some patients with left heart obstructive lesions. This study compares the 30-year survival of HLHS following primary transplant vs. reconstructive surgery.
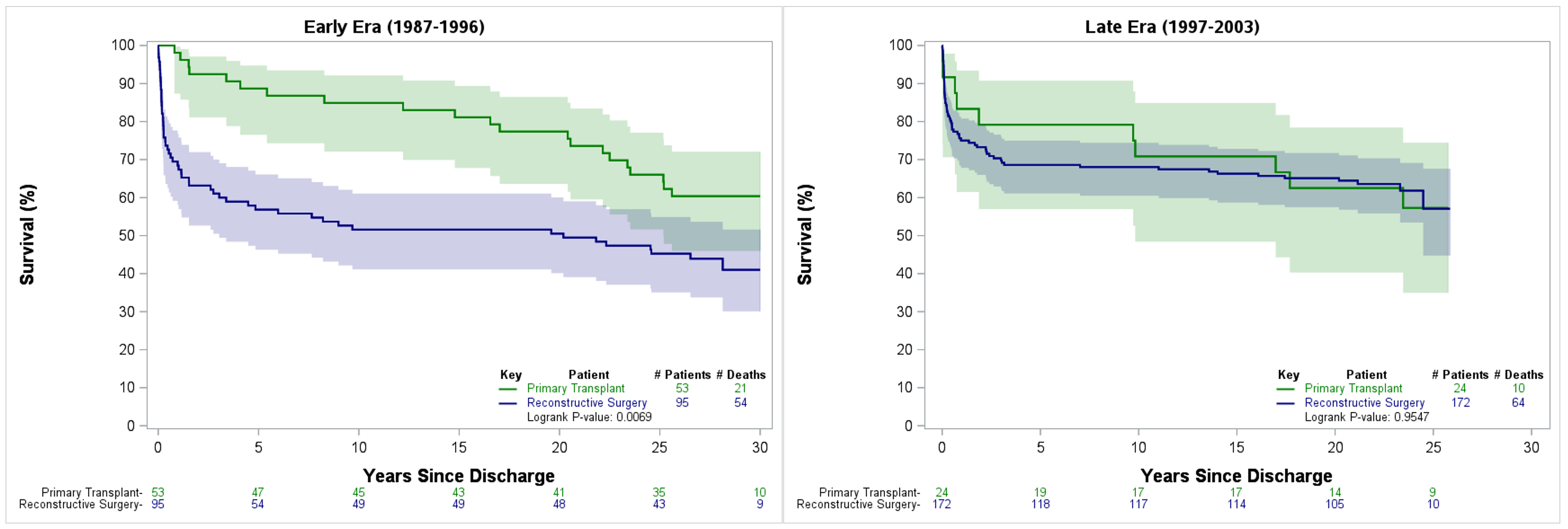
Methods: Using data from the Pediatric Cardiac Care Consortium (PCCC), a large US-based registry for congenital heart surgeries, we included patients operated at <6 mos old performing both Norwood and primary transplant for HLHS between 1987 and 2003. Deaths were tracked through 2022 by the US National Death Index. Kaplan-Meier curves and extended Cox regression models were used for survival comparison after adjusting for sex, race and birth era. We also performed subgroup analysis by birth era (early: 1987-1996 vs. late: 1997-2003).
Results: Of 573 patients (males 61%) from 13 PCCC centers, 97 (17%) had a primary transplant. Patients with reconstructive surgery were younger at operation, less likely to be White, and more likely born in the late era. In-hospital survival was higher for primary transplant (79 % vs. 56%, p<0.01) with the advantage remaining significant after adjustment (aOR 0.36; 95%CI: 0.21-0.62, p<0.01). Over a median follow-up of 21.1 years (IQR 1.5, 25.3), 149 deaths occurred post-discharge. No significant difference was found between primary transplant vs. reconstructive surgery in the 30-year post-discharge survival (58.6% vs. 48.7%, p=0.07), although there was a trend towards significance after adjustment (aHR 0.68, 95% CI 0.45-1.05, p=0.08). During early era, primary transplant had 60% decreased hazard of death (aHR 0.40, 95%CI 0.23-0.72, p<0.01) compared to reconstructive surgery, while no difference was found in the late era (aHR 0.99, 95% CI 0.50-1.97, p=0.98) (Figure).
Conclusion: Primary transplant for HLHS was associated with improved 30-year survival. However, this improvement reached significance only in the early era suggesting improved outcomes with reconstructive procedures in recent years. Further analysis beyond survival is needed to elucidate the relative outcomes of these two strategies.
  • Shi, Caroline  ( Emory University , Atlanta , Georgia , United States )
  • Yang, Yanxu  ( Emory University , Decatur , Georgia , United States )
  • Kochilas, Lazaros  ( Emory University School of Medicine and 4. Children’s Healthcare of Atlanta Cardiology , Atlanta , Georgia , United States )
  • Author Disclosures:
    Caroline Shi: DO NOT have relevant financial relationships | Yanxu Yang: DO NOT have relevant financial relationships | Lazaros Kochilas: DO NOT have relevant financial relationships
Meeting Info:

Scientific Sessions 2024

2024

Chicago, Illinois

Session Info:

Single Ventricle Congenital Heart Disease

Saturday, 11/16/2024 , 11:10AM - 12:35PM

Moderated Digital Poster Session

More abstracts on this topic:
A Pressure-Volume Loops Approach Predicts Outcomes After Double Switch Operation For Congenitally Corrected Transposition Of The Great Arteries with Intact Ventricular Septum

Thatte Nikhil, Del Nido Pedro, Ghelani Sunil, Hammer Peter, Marx Gerald, Beroukhim Rebecca, Gauvreau Kimberlee, Callahan Ryan, Prakash Ashwin, Emani Sitaram, Hoganson David

Adult heart transplant practice changes:
Early and late impact of the current organ allocation system in the United States

Kawabori Masashi, Katsadouros Vasili, Johnson Anna, Chung Jin Woo, Sekela Michael, Birks Emma, Loebe Matthias

You have to be authorized to contact abstract author. Please, Login
Not Available