Logo

American Heart Association

  198
  0


Final ID: 4141807

Exposure to PM2.5 and 1-year postoperative risk of death among patients with congenital heart surgery: a report from the Pediatric Cardiac Care Consortium

Abstract Body (Do not enter title and authors here): Background:
Congenital heart disease (CHD) is the leading cause of birth defect-related deaths among infants in the US. While ambient particulate matter (PM) PM2.5 is a known cardiovascular risk factor, its effect on CHD patients remains unclear. This study examines the link between county-level PM2.5 and 1-year mortality risk following pediatric congenital heart surgery (CHS).
Methods
We conducted a retrospective cohort study using data from the Pediatric Cardiac Care Consortium (PCCC), a large US-based multi-institutional registry of interventions for CHD. We included patients with available identifiers, initial CHS, county information and birth between 1989 and 2003. We obtained sex, birth year, CHD severity, chromosomal abnormality and neighborhood socioeconomic status (nSES). PM2.5 concentrations at 1-km resolution across the US were derived using spatiotemporal ensemble models integrating machine learning algorithms. The data were assigned to county-level scale by geo-information provided by the US Census Bureau. We used Cox proportional hazards regression with shared frailty models to estimate the hazard of death considering state as a random effect.
Results
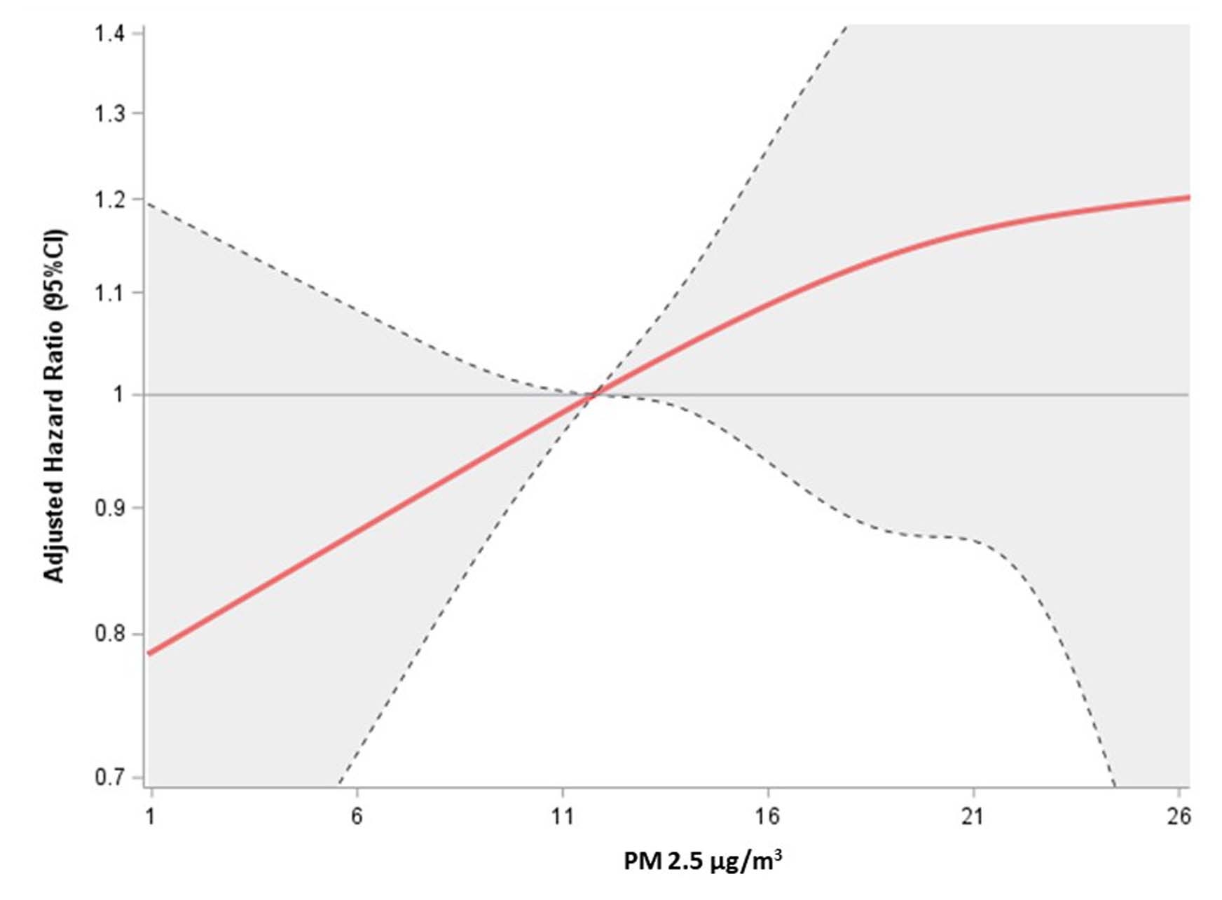
We included a total of 27,327 patients who were enrolled in PCCC after an initial CHS (47.3% females). Patients exposed to higher PM2.5 quintile were more likely to be born in early birth era (1990-1993) (p<0.01) and at low nSES (p<0.01). After adjusting for sex, birth era, CHD severity, chromosomal abnormality and nSES, the hazard of death in patients exposed to the highest vs lowest PM2.5 quintile was 1.33 (95%CI: 1.02-1.72, p=0.03). In addition, there was a linear dose-response relationship between PM2.5 exposure and 1-year mortality risk (P non-linearity=0.90) with each 1 μg/m3 increase in monthly PM2.5 exposure associated with 2% increase in the 1-year post-discharge hazard of death (aHR: 1.02, 95%CI: 1.00-1.04, p=0.05) (Figure).
Conclusion
Higher PM2.5 levels were independently associated with increased risk of death after pediatric CHS. Improving environmental conditions may mitigate the adverse health effects of particulate matter exposure for patients with CHD.
  • Yang, Yanxu  ( Emory University School of Medicine , Atlanta , Georgia , United States )
  • Xu, Ke  ( Rollins School of Public Health, Emory University , Atlanta , Georgia , United States )
  • Hao, Hua  ( Rollins School of Public Health, Emory University , Atlanta , Georgia , United States )
  • Huang, Eugene  ( Rollins School of Public Health, Emory University , Atlanta , Georgia , United States )
  • Liu, Yang  ( Rollins School of Public Health, Emory University , Atlanta , Georgia , United States )
  • Kochilas, Lazaros  ( Emory University School of Medicine and Children’s Healthcare of Atlanta Cardiology , Atlanta , Georgia , United States )
  • Author Disclosures:
    Yanxu Yang: DO NOT have relevant financial relationships | Ke Xu: DO NOT have relevant financial relationships | Hua Hao: No Answer | Eugene Huang: DO NOT have relevant financial relationships | Yang Liu: DO NOT have relevant financial relationships | Lazaros Kochilas: DO NOT have relevant financial relationships
Meeting Info:

Scientific Sessions 2024

2024

Chicago, Illinois

Session Info:

Epidemiology and Population Health

Sunday, 11/17/2024 , 08:00AM - 09:15AM

Abstract Oral Session

More abstracts on this topic:
Impact of Postoperative Atrial Fibrillation on Long-term Clinical Outcomes in Patients after Coronary Artery Bypass Grafting

Kuroda Yuki, Kanemitsu Hideo, Tsuneyoshi Hiroshi, Kanemitsu Naoki, Iwakura Atsushi, Tamura Nobushige, Furukawa Yutaka, Kadota Kazushige, Ando Kenji, Ohno Nobuhisa, Komiya Tatsuhiko, Shiomi Hiroki, Kimura Takeshi, Minatoya Kenji, Morimoto Takeshi, Hirao Shingo, Tsubota Hideki, Matsuo Takehiko, Uehara Kyokun, Esaki Jiro, Shimamoto Takeshi

A Novel Approach to Manage Hypercholesterolemia: The Veterans Affairs Lipid Optimization Reimagined Quality Improvement (VALOR-QI) Program

Djousse Luc, Leesch Tharen, Pena David, Gaziano Michael, Ward Rachel, Wellman Helen, Yel Nedim, Santos Abigail, Delgrande Jen, Fink Abigail, Colson Kristin, Pan Eddie

You have to be authorized to contact abstract author. Please, Login
Not Available