Logo

American Heart Association

  127
  0


Final ID: Mo2190

Outcomes of Heart Failure with Preserved Ejection Fraction with GLP1RA plus SGLT2i vs SGLT2i alone: A Propensity-Matched Nationwide Cohort Study

Abstract Body (Do not enter title and authors here): Introduction
Metabolic pharmacotherapies [Glucagon-like peptide-1 receptor agonists (GLP1RA) and sodium-glucose cotransporter type 2 inhibitors (SGLT2i)] have shown benefit in patients with heart failure and preserved ejection fraction (HFpEF). It remains unclear whether the two classes would have additive effects.

Methods
We performed a retrospective study using a de-identified federated database with 89 contributing health care organizations (HCO), including over 126 million patients (TriNetX Research Network, Cambridge, MA; date of data access: May 23, 2024). TriNetX regularly aggregates clinical data directly from participating HCOs, and performs extensive data quality and accuracy assessment. While TriNetX obfuscates institutional information relating to participating HCOs, a typical HCO includes a large academic health center with inpatient, outpatient, and specialty care services. We identified all patients with a diagnosis of Heart failure with preserved ejection fraction (HFpEF, ICD-10: I50.3), and SGLT2i usage. We then categorized this patient population into two cohorts, including patients with concomitant GLP1RA use, and patients without GLP1RA use. For both cohorts, we collected data on patient demographics, and the outcomes of all-cause mortality, and all-cause hospitalization, occurring up to 10-years after the index diagnosis. We evaluated differences in outcome risk using hazards ratios and 95% confidence intervals.
Results
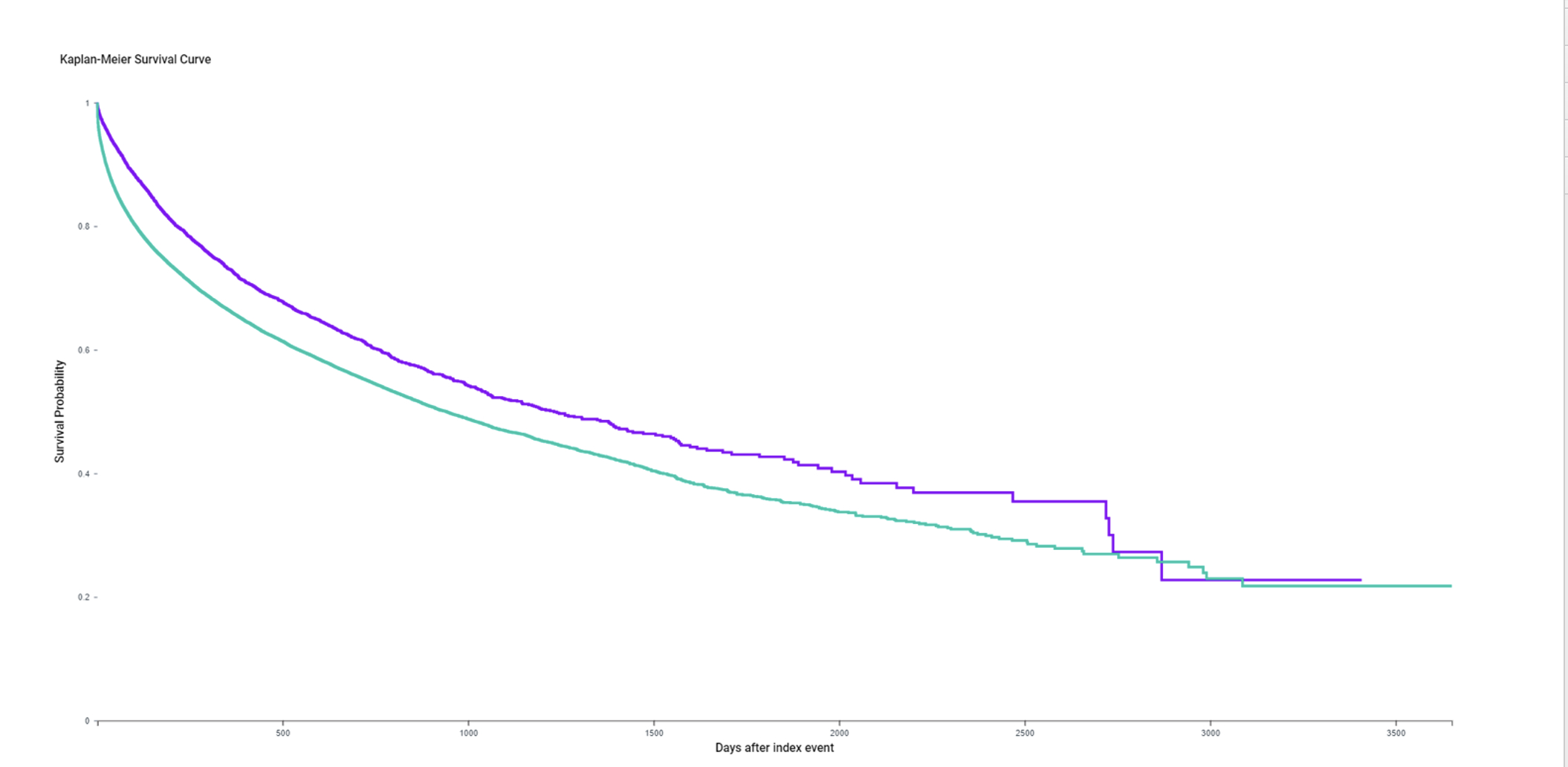
Prior to propensity score matching, we identified 114,329 patients, with 7931 patients receiving SGLT2i +GLP1RA vs 106398 receiving SGLT2i-alone. Majority (55.7%) identified as white and 24.4% as African Americans and >90% of the patients had a diagnosis of type 2 diabetes mellitus. After propensity matching, the rate of all-cause hospitalization within the combination group was lower than SGLT2i group (29.6% vs 32.4%, HR 0.76 [0.73- 0.79], P<0.001). All-cause mortality for the combination group was 6.8% versus 10.6% within the SGLT2i-alone group (HR 0.52 [0.47-0.56], P<0.001)).

Conclusion
In this propensity-matched cohort, patients with HFpEF receiving GLP1RA and SGLT2i had lower rates of hospitalizations and all-cause mortality compared with those receiving SGLT2i alone. Large randomized controlled trials are warranted to corroborate these findings.
  • Almas, Talal  ( University Hospitals Cleveland Medical Center , Cleveland , Ohio , United States )
  • Neeland, Ian  ( University Hospitals - Case Western , Cleveland , Ohio , United States )
  • Deshmukh, Abhishek  ( Mayo Clinic , Rochester , Minnesota , United States )
  • Anavekar, Nandan  ( Mayo Clinic , Rochester , Minnesota , United States )
  • Al-kindi, Sadeer  ( Houston Methodist , Houston , Texas , United States )
  • Akbar, Absam  ( Aga Khan University , Karachi , Pakistan )
  • Qureshi, Amal  ( Rashid Latif Medical College , Lahore , Pakistan )
  • Perez, Jaime Abraham  ( Department of Research, University Hospitals Cleveland Medical Center , Cleveland , Ohio , United States )
  • Grace Harper, Elleson  ( Department of Research, University Hospitals Cleveland Medical Center , Cleveland , Ohio , United States )
  • Syed, Saif  ( Royal College of Surgeons in Ireland , Dublin , Ireland )
  • Alazazzi, Hosam  ( Royal College of Surgeons in Ireland , Dublin , Ireland )
  • Sullivan, Claire  ( Cardiology, University Hospitals Cleveland Medical Center, OH , Cleveland , Ohio , United States )
  • Author Disclosures:
    Talal Almas: DO NOT have relevant financial relationships | Ian Neeland: DO have relevant financial relationships ; Consultant:Novo Nordisk:Past (completed) ; Advisor:Eli Lilly and Co.:Past (completed) ; Speaker:Bayer Pharmaceuticals:Active (exists now) ; Speaker:Boehringer Ingelheim/Lilly Alliance:Active (exists now) | Abhishek Deshmukh: DO NOT have relevant financial relationships | Nandan Anavekar: No Answer | Sadeer Al-Kindi: DO NOT have relevant financial relationships | Absam Akbar: DO NOT have relevant financial relationships | Amal Qureshi: No Answer | Jaime Abraham Perez: DO NOT have relevant financial relationships | Elleson Grace Harper: No Answer | Saif Syed: No Answer | Hosam Alazazzi: DO NOT have relevant financial relationships | Claire Sullivan: No Answer
Meeting Info:

Scientific Sessions 2024

2024

Chicago, Illinois

Session Info:

Frontiers in HFpEF Part 2: On-Treatment Effects, Predictors, and More!

Monday, 11/18/2024 , 01:30PM - 02:30PM

Abstract Poster Session

More abstracts on this topic:
A Retrospective Analysis of Measured Versus Estimated Resting Oxygen Uptake for Derivation of Fick Cardiac Output in Patients in the Cardiac Intensive Care Unit

Minasian Alexandra, Dudzinski David, Shelton Ken, Malhotra Rajeev, Lewis Gregory, Mcginnis Shaina, Rouvina Jennifer, Newlands Chloe, Griskowitz Catharine, Kowal Alyssa, Kelly Katherine, Oloughlin Joseph, Wallace Dayquan

A Bridge from Sweet to Sour: A Case of Recurrent Myocardial Stunning in Diabetic Ketoacidosis

Satish Vikyath, Pargaonkar Sumant, Slipczuk Leandro, Schenone Aldo, Maliha Maisha, Chi Kuan Yu, Sunil Kumar Sriram, Borkowski Pawel, Vyas Rhea, Rodriguez Szaszdi David Jose Javier, Kharawala Amrin, Seo Jiyoung

You have to be authorized to contact abstract author. Please, Login
Not Available