Logo

American Heart Association

  96
  0


Final ID: Mo4182

Impact of operation related myocardial infarction on the clinical outcome of patients undergoing coronary endarterectomy combined with coronary artery bypass grafting

Abstract Body (Do not enter title and authors here): Background: Coronary endarterectomy (CE) combined with coronary artery bypass grafting (CABG) is one of the last revascularization options for patients with diffuse coronary artery disease. However, concerns exist regarding the application of CE due to the increased perioperative risk, including operation related postoperative myocardial infarction (POMI). However, the impact of POMI on the later outcome is unknown.
Research question: Does POMI influence the follow-up clinical outcome of patients undergoing CE+CABG?
Aims: To evaluate the impact of POMI on the patient outcome after CE+CABG.
Methods: Patients who underwent CE+CABG (excluding concomitant valvular or ventricular aneurysm surgery) between September 2008 and January 2024 were retrospectively enrolled. POMI was defined according to the Forth Universal Definition of Myocardial Infarction. Patients were divided into POMI and no POMI group. Propensity score matching (PSM) analysis with 1:4 ratio was performed to balance the potential baseline confounders. Kaplan-Meier analysis and log-rank test was performed to test the survival difference between the two groups. Cox regression analysis was used to calculate the hazard ratios (HR) and 95% confidence intervals (CI).The primary outcome was the follow-up overall survival, and the secondary outcome was the survival free of major adverse cardiovascular and cerebrovascular events (MACCE), composite of all-cause death, myocardial infarction, stroke and repeat revascularization.
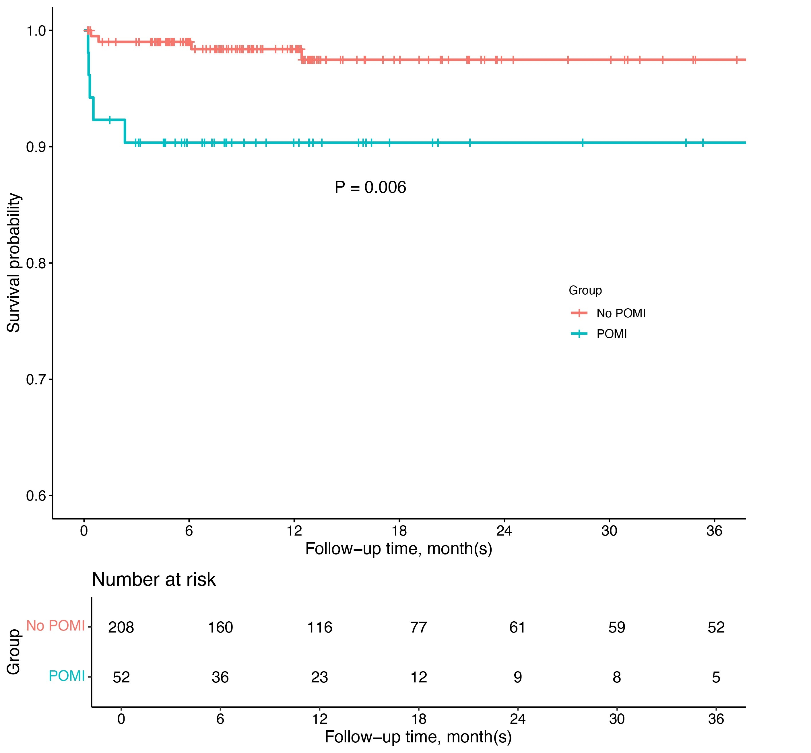
Results: A total of 859 patients met the inclusion criteria, including 52 in the POMI group and 807 in the no POMI group. The mean age was 61.1±9.0 years, and 78.5% of them were male. During a median follow-up of 13.1 [6.2, 37.7] months, 28 (3.3%) of the patients suffered from death, while 66 (7.7%) suffered from MACCE. The PSM resulted in pairing of 52 and 208 patients in the two groups. The survivals differed significantly between the two groups (Figure 1A &. B). Cox regression analysis revealed that POMI was observed to be associated with decreased overall (HR: 5.28, 95% CI:1.42-19.67, P=0.013) and MACCE-free (HR: 4.51, 95% CI: 1.69-12.01, P=0.003), which was in line with the unmatched analysis (Overall survival: P=0.001, MACCE-free survival: P=0.001).
Conclusion: POMI after CE+CABG might impair the survival outcomes of patients.
  • Tiemuerniyazi, Xieraili  ( Fuwai Hospital, Chinese Academy of Medical Sciences and Peking Union Medical College , Beijing , Please Select , China )
  • Zhao, Wei  ( Fuwai Hospital, Chinese Academy of Medical Sciences and Peking Union Medical College , Beijing , Please Select , China )
  • Feng, Wei  ( Fuwai Hospital, Chinese Academy of Medical Sciences and Peking Union Medical College , Beijing , Please Select , China )
  • Author Disclosures:
    Xieraili Tiemuerniyazi: DO NOT have relevant financial relationships | Wei Zhao: No Answer | Wei Feng: No Answer
Meeting Info:

Scientific Sessions 2024

2024

Chicago, Illinois

Session Info:

Innovations and Outcomes in Coronary Artery Bypass Grafting: Techniques and Interventions

Monday, 11/18/2024 , 10:30AM - 11:30AM

Abstract Poster Session

More abstracts on this topic:
Association of Pre-operative Neutrophil to Lymphocyte Ratio (NLR) and Post-operative AKI in Patients Undergoing CABG: A Meta-Analysis

Patel Bhavin, Lapsiwala Boney, Jariwala Prayag, Suresh Aditya, Vanani Samir, Patel Shaurya, Rajani Aayushi, Desai Rupak

A Systematic Review and Network Meta-Analysis of Metastatic Castrate-Resistant Prostate Cancer Therapy Cardiotoxicity Given Metastatic Hormone-Sensitive Prostate Cancer Treatment History

Aziz Moez, Swaby Justin, Deng Brett, Hartshorne Taylor, Desai Shubh, Zhang Allan, Xiao Daniel, Sanchez Darren, Imber Jared, Song Jeffrey, Rivas Alexis, Molony Donald, Guhan Maya, Ranganath Shreyas, Jacob Jerril, Ziaolhagh Ali, Ali Abdelrahman, Yusuf Syed, Canfield Steven, Iliescu Cezar, Monlezun Dominique, Higgason Noel, Brunckhorst Oliver, Roland Jerry, Owen Christopher, Iacobucci Alexander Samuel, Galan Jacob

More abstracts from these authors:
Partial Cardiac Denervation To Prevent Postoperative Atrial Fibrillation After Coronary Artery Bypass Grafting: A Randomized Controlled Trial

Yang Ziang, Hu Zhan, Zhao Wei, Feng Wei, Tiemuerniyazi Xieraili, Xu Fei, Sun Yang, Yan Peng, Tian Liangxin, Han Chao, Zhang Yan, Pan Shiwei

Single-cell Atlas of Human Epicardial Adipose Tissue Reveals Aging IL4R+ Naive B cell Contributing To Atrial Fibrillation

Huang Shengkang, Yang Ziang, Fang Chenglong, Zhao Wei, Feng Wei

You have to be authorized to contact abstract author. Please, Login
Not Available