Logo

American Heart Association

  136
  0


Final ID: Su4148

Cardiac Magnetic Resonance Imaging in Tetrology of Fallot Patients and Relationship to Obesity

Abstract Body (Do not enter title and authors here): Obesity is associated with increased cardiovascular risk and adverse cardiac changes such as left ventricular hypertrophy (LVH) and in TOF higher body mass index (BMI) contributed to increase risk. Previous multicenter study concluded that right ventricular (RV) dysfunction contributed to cardiovascular event. Current recommendations for pulmonary valve replacement (PVR) in TOF patients use indexed RV endiastolic volume (RVEDVi) to determine timing of PVR. In the presence of obesity, RVEDVi may underestimate the severity of RV volume load. We sought to determine both diastolic (RVEDV) and systolic (REVSV) volume in obese and non-obese patients and the impact of the volume on right ventricular ejection fraction (RVEF).
We conducted a retrospective study of adult TOF patients > 18 years age in obese (BMI ≥ 30 kg/m2) and non-obese (BMI < 30 kg/m2) patients with a cardiac magnetic resonance imaging (CMR) prior to PVR for pulmonary regurgitation (PR). CMR database and electronic records were reviewed to compare anthropometric, demographic, and CMR variables between obese and non-obese patients.
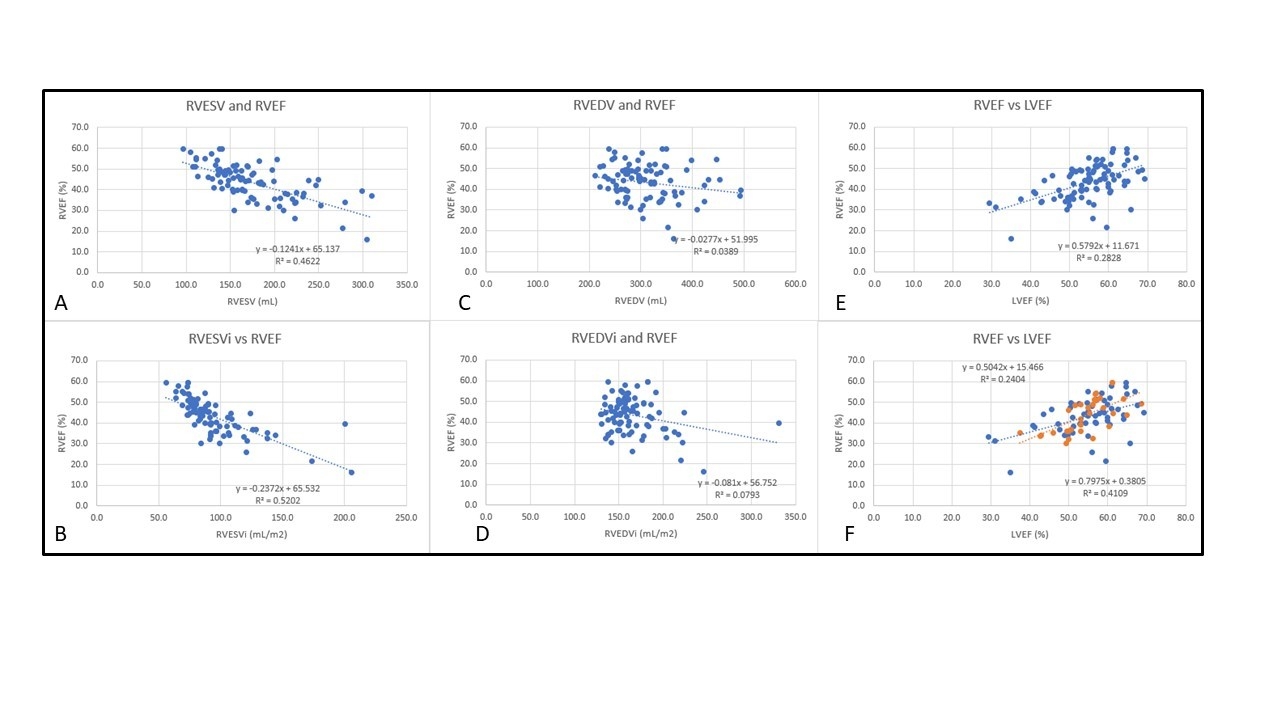
Table 1 shows demographic and CMR results between non-obese (n = 57) and obese (n = 32) patients. Indexed ventricular volume were smaller in obese compared to non-obese patients (LVEDVi 78.7±12.1 vs 84.3±14.9 mL/m2, p=0.04; RVEDVi 157.4±21.5 vs 169.4±32.7 mL/m2, p=0.03), in contrast the non-indexed volume were significantly larger (LVEDV, 166.7±32.9 vs 148.8±30.5 mL, p=0.006; RVEDV 333.1±61.3 vs RVEDV 297.6±56.6 mL, p=0.004). There is an association with ventricular volume with lower RVEF. In both groups the mean RVEF was abnormal but not different (43.2±8.7 vs 43.8±8.4%, P=NS). Patients with lower RVEF trended towards a lower LVEF especially in the obese group (Figure 1A-F).
Our study showed that indexed ventricular volume was smaller in obese patients and may lead to false reassurance suggesting underestimation of the volume load from the PR. Our patients have lower RVEF which correlated with larger volume and evidence of ventricular-ventricular interaction with lower LVEF in patients with lower RVEF. When assessing timing of PVR in asymptomatic TOF patients, other parameters beyond indexed volume in those with elevated BMI should be considered including ejection fraction and different methods of indexing RV volume similar to LVM. Future larger and longitudinal studies are needed to determine if delayed repair in obese patients lead worse remodeling and outcomes.
  • Dusza, Patrick  ( Nationwide Children's Hospital , Columbus , Ohio , United States )
  • Tran, Andrew  ( Nationwide Childrens Hospital , Columbus , Ohio , United States )
  • Hor, Kan  ( Nationwide Childrens Hospital , Columbus , Ohio , United States )
  • Author Disclosures:
    Patrick Dusza: DO NOT have relevant financial relationships | Andrew Tran: DO NOT have relevant financial relationships | Kan Hor: DO NOT have relevant financial relationships
Meeting Info:

Scientific Sessions 2024

2024

Chicago, Illinois

Session Info:

Hot Topics in Cardiovascular Imaging

Sunday, 11/17/2024 , 11:30AM - 12:30PM

Abstract Poster Session

More abstracts on this topic:
ADC-based Infarct Density – Validating a Novel Imaging Biomarker of Functional Outcome after Endovascular Thrombectomy

Favilla Christopher, Bonkhoff Anna, Rost Natalia, Messe Steven, Regenhardt Robert, Denny Braden, Simonsen Claus, Shakibajahromi Banafsheh, Patel Aman, Leslie-mazwi Thabele, Dmytriw Adam, Schirmer Markus

Echocardiographic Variables Associated with Postnatal Compromise and Mortality in Prenatally Diagnosed Tetralogy of Fallot with Absent Pulmonary Valve, a Fetal Heart Society Collaborative Study

Udine Michelle, Carroll Sheila, Hogan Whitnee, Levasseur Stephanie, Howley Lisa, Chiu Joanne, Hornberger Lisa, Moon-grady Anita, Cohen Jennifer, Arya Bhawna, Peyvandi Shabnam, Barber John, Morris Shaine, Chelliah Anjali, Donofrio Mary, Divanovic Allison, Kovalchin John, Lindblade Chris, Pruetz Jay, Schidlow David, Yeh Jay, Zoeller Bridget

More abstracts from these authors:
You have to be authorized to contact abstract author. Please, Login
Not Available