Logo

American Heart Association

  119
  0


Final ID: MDP1582

Sex difference in Prosthesis-Patient Mismatch after Surgical Aortic Valve Replacement and long-term clinical outcome

Abstract Body (Do not enter title and authors here): Importance: Prosthesis-Patients Mismatch (PPM) is associated with multiple adverse event after aortic valve replacement (AVR), especially increased long-term mortality. Despite women are more likely to have PPM, sex-differences in PPM outcomes remain poorly explored.
Objectives: To evaluate PPM incidence and sex-differences in PPM impact in a large cohort of patients underwent surgical aortic valve replacement.
Design, Setting and Participants: We included 7,319 patients who underwent Surgical AVR between 2000 and 2021. PPM was defined accordingly to Valve-Academic-Research-Consortium-3 criteria, adopting correction for Body Surface Area >30 kg/m2 and retrieving the predicted effective orifice area of the aortic valve prosthesis. The cohort was followed up prospectively from Surgical AVR until November 2023.
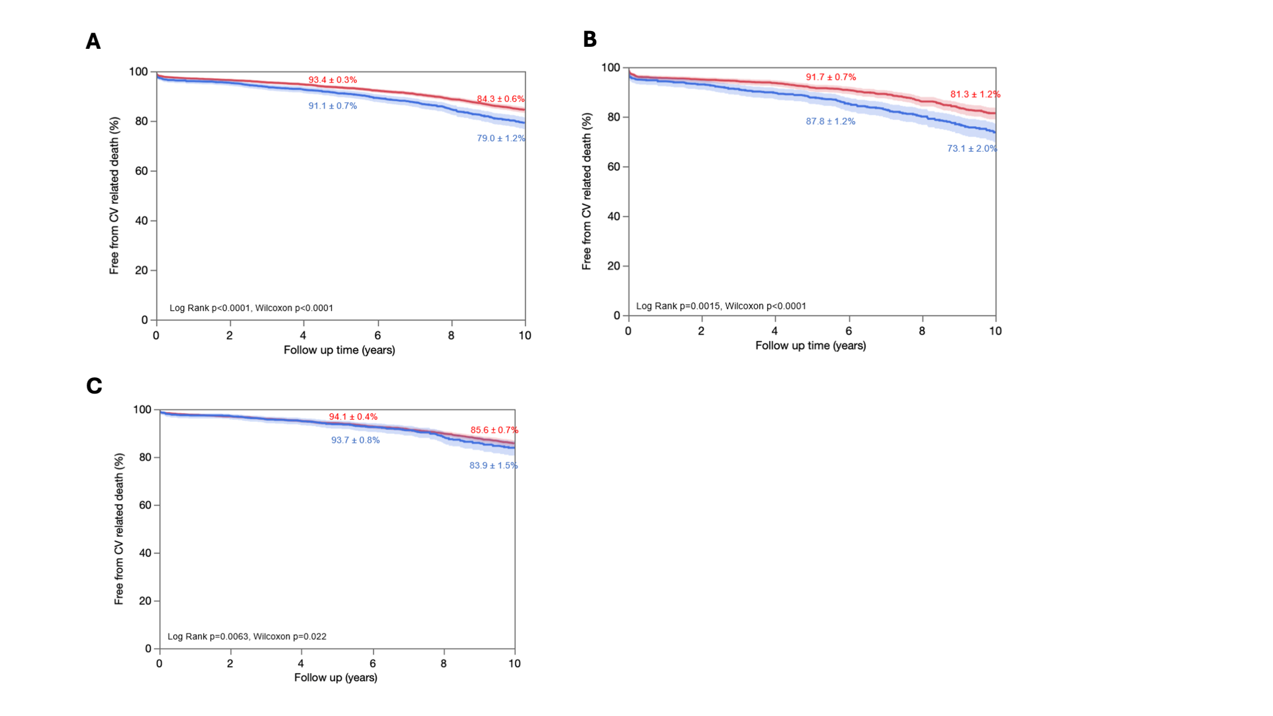
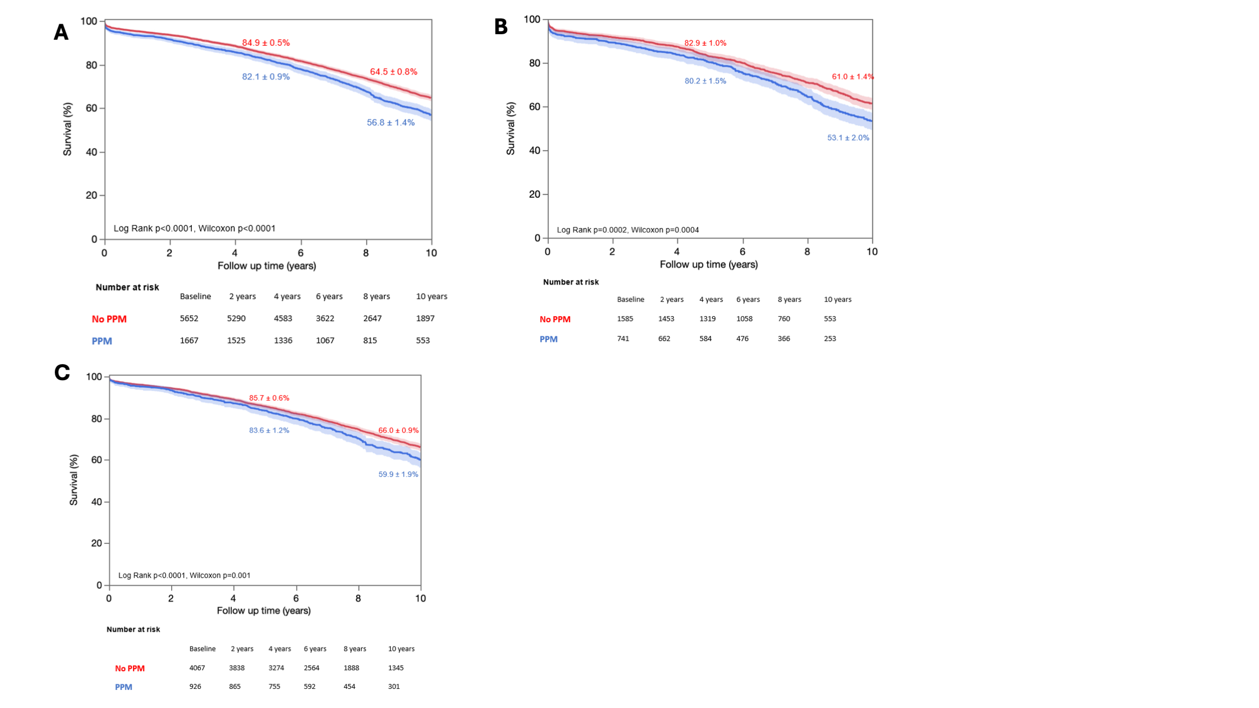
Main Outcomes and Measures: Primary endpoint was defined as long-term mortality and secondary endpoint as long-term cardiovascular (CV) mortality. Mortality was established and Cardiovascular mortality adjudicated by Quebec national database.
Results. Severe PPM incidence was rare (1.1%), more prevalent in women (2.5%) than in men (0.5%, p<0.0001). Any-degree-PPM (22.8% of patients) was also more prevalent in women (31.9% vs. 19.7%, p<0.0001). Over a median follow-up of 13 years, there was 3,231 (44.1%) all-cause deaths, with 1,238 (16.9%) being from CV causes. PPM was associated to excess mortality (HR:1.30[1.20-1.40]; p<0.0001) and CV mortality (HR: 1.39[1.23-1.57]; p<0.0001) in the whole cohort without interaction between sexes (p=0.94 and p=0.74). After comprehensive multivariable adjustment, PPM resulted an independent predictor of long-term mortality and CV mortality in women (both p≤0.04) but no in men (both p≥0.66).
Conclusion and relevance: In this large series of AVR patients, PPM was more prevalent in women, in whom it was an independent predictor of mortality. This finding suggests that sex-specific management of aortic valve intervention may be of importance and warrants further studies focusing on this aspect.
  • Springhetti, Paolo  ( IUCPQ-UL , Quebec , Quebec , Canada )
  • Abdoun, Kathia  ( IUCPQ-UL , Quebec , Quebec , Canada )
  • Dumont, Eric  ( IUCPQ-UL , Quebec , Quebec , Canada )
  • Dagenais, Francois  ( IUCPQ-UL , Quebec , Quebec , Canada )
  • Kalavrouziotis, Dimitri  ( IUCPQ-UL , Quebec , Quebec , Canada )
  • Mohammadi, Siamak  ( IUCPQ-UL , Quebec , Quebec , Canada )
  • Pibarot, Philippe  ( IUCPQ-UL , Quebec , Quebec , Canada )
  • Clavel, Marie-annick  ( IUCPQ-UL , Quebec , Quebec , Canada )
  • Author Disclosures:
    Paolo Springhetti: DO NOT have relevant financial relationships | Kathia Abdoun: DO NOT have relevant financial relationships | Eric Dumont: DO NOT have relevant financial relationships | Francois Dagenais: No Answer | Dimitri Kalavrouziotis: DO NOT have relevant financial relationships | Siamak Mohammadi: DO NOT have relevant financial relationships | Philippe Pibarot: DO have relevant financial relationships ; Research Funding (PI or named investigator):Edwards Lifesciences:Active (exists now) ; Research Funding (PI or named investigator):Cardiac Success:Active (exists now) ; Research Funding (PI or named investigator):Novartis:Active (exists now) ; Research Funding (PI or named investigator):Pi-Cardia:Active (exists now) ; Research Funding (PI or named investigator):Medtronic:Active (exists now) | Marie-Annick Clavel: DO have relevant financial relationships ; Research Funding (PI or named investigator):Edwards Lifesciences:Past (completed) ; Research Funding (PI or named investigator):Pi-Cardia:Past (completed) ; Research Funding (PI or named investigator):Medtronic:Active (exists now)
Meeting Info:

Scientific Sessions 2024

2024

Chicago, Illinois

Session Info:

Sex Differences in Aortic Stenosis Progression and Treatment, and in MVP Risk

Monday, 11/18/2024 , 09:30AM - 10:55AM

Moderated Digital Poster Session

More abstracts on this topic:
A Pressure-Volume Loops Approach Predicts Outcomes After Double Switch Operation For Congenitally Corrected Transposition Of The Great Arteries with Intact Ventricular Septum

Thatte Nikhil, Del Nido Pedro, Ghelani Sunil, Hammer Peter, Marx Gerald, Beroukhim Rebecca, Gauvreau Kimberlee, Callahan Ryan, Prakash Ashwin, Emani Sitaram, Hoganson David

A Rare Cause of Recurrent Heart Failure Exacerbations After Transcatheter Aortic Valve Replacement: Ventricular Septal Defect and Significant Paravalvular Leak

Medina Jesse, Vincent Louis, Rodriguez Ferreira Esteban, Spence-miller Shanice, Fernandez Joel, Colombo Rosario, Calfa Marian

More abstracts from these authors:
Native aortic stenosis progression: a focus on sex differences.

Springhetti Paolo, Abdoun Kathia, Powers Andreanne, Tastet Lionel, Beaudoin Jonathan, Pibarot Philippe, Clavel Marie-annick

Impact of Early Menopause and Hormonal Replacement Therapy on Aortic Stenosis Progressio

Abdoun Kathia, Tastet Lionel, Bedard Elisabeth, Arsenault Marie, Pibarot Philippe, Clavel Marie-annick

You have to be authorized to contact abstract author. Please, Login
Not Available