Logo

American Heart Association

  191
  0


Final ID: MDP946

Early total cell-free DNA, but not donor fraction, predicts late events in heart transplantation

Abstract Body (Do not enter title and authors here): Introduction:
Donor fraction (DF) cell-free DNA (cfDNA) is an emerging tool for non-invasive rejection surveillance in heart transplantation (HTx). Little is known about the significance of DF and/or total cfDNA (TcfDNA) in the first month post HTx. We explored the relationship between early cfDNA results and later clinical events in adult and pediatric HTx recipients.

Aims:
1. Explore the relationship between early cfDNA levels and late events after HTx
2. Describe the decline in DF during the first month post HTx

Methods:
Retrospective data from the multicenter prospective blinded DTRT study (DNA-based transplant rejection test) was used. DF and TcfDNA results from samples drawn post HTx day 1 (<24h), day 4 (+/- 12h), day 7 (+/- 12h), day 14 (+/- 24h) and day 28 (+/- 7 days) were compared in subjects with or without events >35d to 1 year post HTx. Captured events include cardiac arrest, mechanical circulatory support or death. Exclusions included absent TcfDNA, multiorgan Tx, any PTLD, or other cancer in previous 2 yrs. Cell-free DNA values were compared across event groups and time windows using GEE (generalized estimating equation) with Max Likelihood Estimation.

Results:
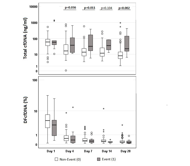
190 subjects had 566 samples drawn < 35 days post HTx. Median age was 17.8 yrs with a range of 26 days - 73.4 yrs; 51.8% were pediatric. 16 subjects (8.4%) had events bridging or following day 35 post HTx; 23 with events prior to day 35 were included as non-event subjects. TcfDNA was significantly higher in event subjects on days 4, 7 and 28 post HTx. [Fig 1]. There was no difference in DF between event and non-event subjects. Median (IQR) DF at 14 days was 0.26% (0.20, 0.39) and 0.19% (0.13, 0.29) at 28 days.

Conclusions:
Elevated TcfDNA, even in the setting of normal DF, may be a useful early marker to identify patients at risk for later events in the first year post HTx. The majority of patients reach low DF levels by 28 days post HTx suggesting an opportunity to incorporate cfDNA earlier into rejection surveillance protocols.
  • Zangwill, Steven  ( Phoenix Childrens Hospital , Phoenix , Arizona , United States )
  • Deshpande, Shriprasad  ( Children's National Health System , Washington , District of Columbia , United States )
  • Richmond, Marc  ( Columbia University , New York , New York , United States )
  • Zhang, Liyun  ( Medical College of Wisconsin , Wauwatosa , Wisconsin , United States )
  • Simpson, Pippa  ( Medical College of Wisconsin , Wauwatosa , Wisconsin , United States )
  • Dasgupta, Mahua  ( Medical College of Wisconsin , Wauwatosa , Wisconsin , United States )
  • Tomita-mitchell, Aoy  ( Medical College of Wisconsin , Wauwatosa , Wisconsin , United States )
  • Mitchell, Michael  ( Medical College of Wisconsin , Milwaukee , Wisconsin , United States )
  • Author Disclosures:
    Steven Zangwill: DO have relevant financial relationships ; Consultant:Natera, Inc:Active (exists now) | Shriprasad Deshpande: DO NOT have relevant financial relationships | Marc Richmond: DO NOT have relevant financial relationships | Liyun Zhang: DO NOT have relevant financial relationships | Pippa Simpson: No Answer | MAHUA DASGUPTA: DO NOT have relevant financial relationships | Aoy Tomita-Mitchell: No Answer | Michael Mitchell: No Answer
Meeting Info:

Scientific Sessions 2024

2024

Chicago, Illinois

Session Info:

Updates in Heart Transplant

Sunday, 11/17/2024 , 09:30AM - 10:55AM

Moderated Digital Poster Session

More abstracts on this topic:
Association between Mean Platelet Volume (MPV) and coronary artery disease: An analysis of NHANEs 2017-2020

Wattanachayakul Phuuwadith, Polpichai Natchaya, Pereira Lucas, Lalitnithi Pakin, Saowapa Sakditad, Wanichwecharungruang Nisha, Casipit Carlo Gabriel, Suriyathumrongkul Napat, Vutthikraivit Wasawat, Amanullah Aman, Sripusanapan Adivitch, Isaacs Evan, Idowu Abiodun, Srikulmontri Thitiphan, Kulthamrongsri Narathorn, Wannaphut Chalothorn, Malin John, Danpanichkul Pojsakorn

A Contemporary Machine Learning-Based Risk Stratification for Mortality and Hospitalization in Heart Failure with Preserved Ejection Fraction Using Multimodal Real-World Data

Fudim Marat, Weerts Jerremy, Patel Manesh, Balu Suresh, Hintze Bradley, Torres Francisco, Micsinai Balan Mariann, Rigolli Marzia, Kessler Paul, Touzot Maxime, Lund Lars, Van Empel Vanessa, Pradhan Aruna, Butler Javed, Zehnder Tobias, Sauty Benoit, Esposito Christian, Balazard Félix, Mayer Imke, Hallal Mohammad, Loiseau Nicolas

More abstracts from these authors:
Impact of Angiotensin Receptor Neprilysin Inhibitor on Chronic Heart Failure with Reduced Ejection Fraction in Adult Congenital Heart Disease Patients: A Systematic Review and Meta-analysis

Das Bibhuti, Deshpande Shriprasad, Nikolaidis Lazaros, Hernandez-montfort Jaime, Niu Jianli

A 10 Year Report on Fontan Candidacy

Adamson Marissa, John Mohan, Nayi Pranay, Deshpande Shriprasad, Ferguson Matthew, Maher Kevin, Chai Paul, Beshish Asaad

You have to be authorized to contact abstract author. Please, Login
Not Available