Logo

American Heart Association

  159
  0


Final ID: Su3181

Real-World Patterns of Statin Use, Titration, and Discontinuation Among a Racially Diverse Commercially-Insured Population

Abstract Body (Do not enter title and authors here): INTRODUCTION: Statins remain the most evidence-supported and cost-effective medications to reduce atherogenic lipoprotein levels and atherosclerotic cardiovascular disease (ASCVD) risk. Among patients with ASCVD, high intensity statin treatment is indicated (e.g. atorvastatin 40-80 mg or rosuvastatin 20-40 mg daily). However, the effectiveness of statin therapy is limited by intolerance symptoms and other factors that lead to discontinuation or dose titration, some of which have been shown to vary in prevalence by race, gender, and certain comorbid conditions.
HYPOTHESIS: The propensity to discontinue or titrate new statin therapy varies by race, sex, and the starting statin agent-dose combination selected.
AIM: Examine patterns of statin therapeutic persistence and titration among US commercial insurance or Medicare Advantage beneficiaries.
METHODS: New statin prescription episodes (n=1,859,442) were identified by a retrospective cohort design using the de-identified Optum Clinformatics® Data Mart Database (2007-2020). Included individuals were ≥45 years of age on the first day of enrollment and continuously enrolled for ≥3 years. The Indiana University IRB designated this study as exempt.
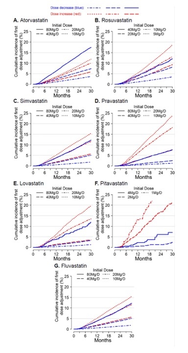
RESULTS: Discontinuation or titration of an initial statin prescription occurred in >70% of cases over 30 months. The incidence of dose increases or decreases varied by the statin agent and dose initially selected (Figure). Down-titration of rosuvastatin 40 mg/d and atorvastatin 80 mg/d varied based on racial group (Table).
CONCLUSIONS: Statin dose adjustment and discontinuation are common following initial statin prescription. This observation from claims data implies that different choices of initial statin drug-dose combinations could result in variable likelihood of long-term treatment persistence. Cumulative LDL-C reduction over time, with likelihood of persistence as well as pharmacologic effect, should be considered with selection of an initial statin dose in ASCVD.
  • Zhang, Pengyue  ( Indiana University School of Medicine , Indianapolis , Indiana , United States )
  • Alabre-bonsu, Alisha  ( The Ohio State University College of Medicine , Columbus , Ohio , United States )
  • Zhang, Ping  ( The Ohio State University College of Medicine , Columbus , Ohio , United States )
  • Chiang, Chienwei  ( The Ohio State University College of Medicine , Columbus , Ohio , United States )
  • Li, Lang  ( The Ohio State University College of Medicine , Columbus , Ohio , United States )
  • Milks, Michael  ( The Ohio State University College of Medicine , Columbus , Ohio , United States )
  • Author Disclosures:
    Pengyue Zhang: No Answer | Alisha Alabre-Bonsu: No Answer | Ping Zhang: No Answer | ChienWei Chiang: DO NOT have relevant financial relationships | Lang Li: No Answer | Michael Milks: DO have relevant financial relationships ; Research Funding (PI or named investigator):Amgen:Active (exists now)
Meeting Info:

Scientific Sessions 2024

2024

Chicago, Illinois

Session Info:

Bridging the Gap: Social Determinants and Disparities in Cardiovascular Care

Sunday, 11/17/2024 , 03:15PM - 04:15PM

Abstract Poster Session

More abstracts on this topic:
Atherosclerotic Cardiovascular Disease Risk Management in a Primary Care Residency Clinic

Manalo Kathryn, Tieliwaerdi Xiarepati, Jackson Megan, Arrigo Alexis, Mascara Mariah, Maharjan Srijana, Gadani Mrudula

A Randomized Placebo-Controlled Trial of Pitavastatin Calcium to Treat Combined Dyslipidemia of Obesity in Adolescents – The Pediatric Heart Network Dyslipidemia of Obesity Intervention in Teens (DO IT!) Trial

De Ferranti Sarah, Cartoski Mark, Brothers Julie, San Giovanni Christine, Zachariah Justin, Pena Sandra, Mahle William, Peterson Amy, Magge Sheela, Raghuveer Geetha, Sharma Binu, Arslanian, Md Silva, Kazlova Valiantsina, Sponseller Craig, Freemon Dandrea, Stylianou Mario, Mccrindle Brian, Mietus-snyder Michele, Urbina Elaine, Ware Adam, Teng Jessica, Trachtenberg Felicia, Russell Mark, Shah Amy

More abstracts from these authors:
You have to be authorized to contact abstract author. Please, Login
Not Available