Logo

American Heart Association

  137
  0


Final ID: 4142561

A 10-year longitudinal cohort study of lipid variability, cognitive decline, and dementia in 9846 community-dwelling older adults

Abstract Body (Do not enter title and authors here): Background: Lipid metabolism in older adults is affected by various factors including biological ageing, functional decline, reduced physiological reserve, and nutrient intake. The dysregulation of lipid metabolism has been suggested to adversely impact brain health. This study aims to investigate the association between year-to-year lipid variability and subsequent risk of cognitive decline and dementia in older adults.
Methods: ASPREE was a randomized trial of aspirin and extended into an observational study, ASPREE-XT with a maximum follow-up of 11 years. Included in this study were participants who had cholesterol values measured at baseline, and first three-year annual visits. Only those who initiated or discontinued lipid-lowering therapy during the measurement period were excluded as this study aims to explore change in lipid levels unrelated to changes in treatment. Year-to-year variability in total cholesterol (TC), Low-density-lipoprotein cholesterol (LDL-C), high-density-lipoprotein cholesterol (HDL-C), and triglycerides was quantified using variability independent of the mean (VIM). Associations with incident dementia and cognitive impairment-no dementia (CIND) were analysed using multivariable Cox proportional-hazards models. Linear mixed model was used for assessing the association with changes in different cognitive function domains including global, memory, processing speed, verbal fluency, and a composite over 11 years.
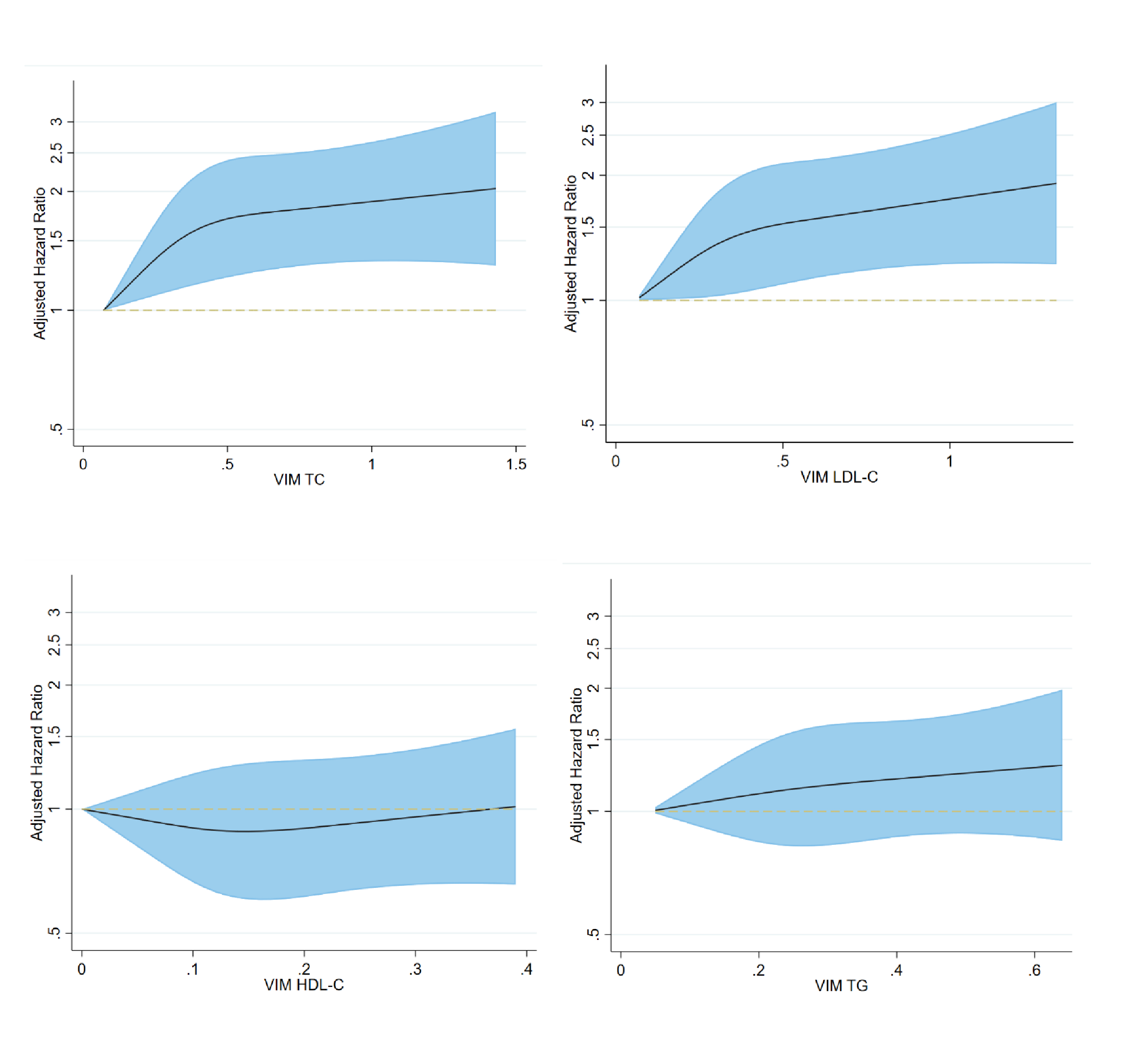
Results: The analysis included 9,846 individuals. Baseline characteristics are shown in Table 1. 509 incident dementia and 1,760 CIND events were recorded over a median follow-up of 5.8- and 5.4-years post-variability assessment. The HRs (95%CI) comparing the highest vs. lowest quartiles of TC and LDL-C variability, were 1.60 (1.23-2.08) and 1.48 (1.15-1.91) for dementia, and 1.23 (1.08-1.41) and 1.27 (1.11-1.46) for CIND. Restricted cubic splines revealed a monotonic increased risk of dementia with higher TC and LDL-c variability (Fig 1). TC and LDL-C variability were also associated with a faster decline in global cognition, episodic memory, psychomotor speed, and the composite score (all p<0.001). No strong evidence was found for an association between HDL-C and triglycerides variability with dementia and cognitive change.
Conclusions: Tracking the variability of TC and LDL-C measured annually may serve as a novel biomarker for higher risk of incident dementia and cognitive decline in older adults.
  • Zhou, Zhen  ( Monash University , Melbourne , Victoria , Australia )
  • Moran, Chris  ( Monash University , Melbourne , Victoria , Australia )
  • Murray, Anne  ( Hennepin Health Care , Edina , Minnesota , United States )
  • Zoungas, Sophia  ( Monash University , Melbourne , Victoria , Australia )
  • Nelson, Mark  ( University of Tasmania , Hobart Tas Tas , Tasmania , Australia )
  • Talic, Stella  ( Monash University , Melbourne , Victoria , Australia )
  • Wolfe, Rory  ( Monash University , Melbourne , Victoria , Australia )
  • Ryan, Joanne  ( Monash University , Melbourne , Victoria , Australia )
  • Author Disclosures:
    Zhen Zhou: DO NOT have relevant financial relationships | Chris Moran: DO NOT have relevant financial relationships | Anne Murray: DO NOT have relevant financial relationships | Sophia Zoungas: DO have relevant financial relationships ; Research Funding (PI or named investigator):NHMRC:Active (exists now) ; Employee:Monash University:Active (exists now) ; Consultant:Sanofi:Past (completed) ; Consultant:Moderna:Past (completed) ; Consultant:CSL Sequirus:Past (completed) ; Consultant:Astra Zeneca:Past (completed) ; Consultant:Eli Lilly Australia Ltd:Active (exists now) ; Consultant:Boehringer Ingelheim:Active (exists now) ; Consultant:Novo Nordisk:Active (exists now) ; Research Funding (PI or named investigator):Ian Potter Foundation:Active (exists now) ; Research Funding (PI or named investigator):Medical Research Future Fund:Active (exists now) ; Research Funding (PI or named investigator):JDRF Centre of Excellence:Active (exists now) ; Research Funding (PI or named investigator):Australian Government - Department of Health and Aged Care:Active (exists now) | Mark Nelson: DO have relevant financial relationships ; Speaker:Medtronic:Past (completed) | Stella Talic: No Answer | Rory Wolfe: DO NOT have relevant financial relationships | Joanne Ryan: DO NOT have relevant financial relationships
Meeting Info:

Scientific Sessions 2024

2024

Chicago, Illinois

Session Info:
More abstracts on this topic:
An Economic Evaluation of Non-HDL-Cholesterol and Apolipoprotein B as Treatment Targets for Lipid-Lowering Therapy in Primary Prevention

Luebbe Samuel, Wilkins John, Moran Andrew, Sniderman Allan, Kohli-lynch Ciaran

A transformative LDL cholesterol–lowering in vivo CRISPR gene editing medicine that functionally upregulates LDLR in mice and non-human primates

Newmark Judith, Raghav Jimit, Jaskolka Michael, Diner Benjamin, Soman Vikram, Jinadasa Tushare, Apte Ameya, Wu Meng, Bottega Steve, Thakkar Mansi, Agosto Luis, Wrighton Paul, Majithia Deep, Jambard Shreya, Jansson-fritzberg Linnea, Jones Mark, Fletcher Jillian, Weiss Mckenzie, Kaye Emily, Steward Briana, Bochicchio James, Pietrasiewicz Stephen, Iovino Salvatore, Marco Rubio Eugenio, Trong Phan Huu, Chander Nisha, Kazemian Mohammadreza, Lam Kieu, Reid Steve, Dinsmore Michael, Teslovich Tanya, Xie Jenny, Gupta Anshul, Amin Parth, Burkly Linda, Thompson Morgan, Rizal Salu, Bilodeau Maxime, Dong Ruhong, Zhen Wei

More abstracts from these authors:
Long-Term Blood Pressure Variability and Physical Performance Measures in Community-Dwelling Older Adults

Ernst Michael, Wolfe Rory, Murray Anne, Ryan Joanne, Shah Raj, Polkinghorne Kevan, Reid Christopher, Webb Katherine, Sheets Kerry, Woods Robyn, Fravel Michelle, Beilin Lawrence, Espinoza Sara, Orchard Suzanne, Owen Alice

Short- and long-term impact of aspirin cessation in older adults: a target trial emulation.

Zhou Zhen, Webb Katherine, Nelson Mark, Woods Robyn, Ernst Michael, Wolfe Rory

You have to be authorized to contact abstract author. Please, Login
Not Available