Logo

American Heart Association

  102
  0


Final ID: MDP890

The Prognostic Role of Dynamic Cardiopulmonary Exercise Testing Variables: Assessing for Myocardial Reserve to Improve Risk Stratification

Abstract Body (Do not enter title and authors here): Background: Cardiopulmonary exercise testing (CPET) remains an important test for risk assessment in ambulatory heart failure patients to identify those who may benefit from advanced therapies, such as left ventricular assist device (LVAD) or heart transplantation (HT). The prognostic strength of cardiac performance variables at peak exercise, including oxygen consumption (VO2), oxygen pulse (O2 pulse) and circulatory power (CP) is known. We explored the prognostic utility of augmentation of these parameters between resting and peak stress conditions.
Methods: We performed a retrospective analysis of ambulatory heart failure patients from the National Heart, Lung, Blood Institute funded REVIVAL and our institutional PREDICT-HF databases. Patients with heart failure that underwent CPET and ≥ 1-year of follow-up were included. The primary outcome was a composite of death, HT, or LVAD at 1-year following CPET. The absolute change (Δ) in CPET variables was defined as the difference between resting and peak values.
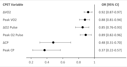
Results: A total of 351 patients from PREDICT-HF (n=110) and REVIVAL (n=241) were included; mean age 58, 70% male, 31% Black, 59% non-ischemic, median NYHA functional class 3, median INTERMACS profile 6, and mean LVEF 26%. At 1-year, there were 61 events (17%), which included 20 deaths, 19 HTs, and 22 LVAD implants. The ΔVO2, ΔO2 pulse, and ΔCP were all higher in the non-event group (all p<0.001). The ΔVO2 (odds ratio [OR]) 0.92; 95% CI 0.87-0.97; p = 0.006), ΔO2 pulse (OR 0.85; 95% CI 0.76-0.93; p = 0.001), and ΔCP (OR 0.48; 95% CI 0.31-0.70; p<0.001) were significant predictors of the primary outcome on univariate analysis. Only ΔO2 pulse (OR 0.85 vs. 0.89) performed better on univariate analysis when compared to its peak counterpart. Peak CP (OR 0.37) remained the strongest predictor overall.
Conclusions: The absolute change between resting and peak VO2, O2 pulse, and CP were predictive of death, HT, or LVAD at 1-year. Further multivariate analysis and comparative statistics assessing the prognostic utility of augmentation of these parameters compared to isolated peak values are needed to determine clinical utility.
  • Olaya, Stephan  ( University of Chicago , Chicago , Illinois , United States )
  • Kalantari, Sara  ( University of Chicago , Chicago , Illinois , United States )
  • Swat, Stanley  ( University of Chicago , Chicago , Illinois , United States )
  • Belkin, Mark  ( University of Chicago , Chicago , Illinois , United States )
  • Grinstein, Jonathan  ( University of Chicago , Chicago , Illinois , United States )
  • Cochran, Matthew  ( University of Chicago , Chicago , Illinois , United States )
  • Acosta, Mary  ( University of Chicago , Chicago , Illinois , United States )
  • Sipiora, Justin  ( University of Chicago , Chicago , Illinois , United States )
  • Poonawalla, Maria  ( University of Chicago , Chicago , Illinois , United States )
  • Siddiqi, Umar  ( University of Chicago , Chicago , Illinois , United States )
  • Hoang, Ryan  ( University of Chicago , Chicago , Illinois , United States )
  • Kanelidis, Anthony  ( University of Chicago , Chicago , Illinois , United States )
  • Gozdecki, Leo  ( University of Chicago , Chicago , Illinois , United States )
  • Author Disclosures:
    Stephan Olaya: DO NOT have relevant financial relationships | Sara Kalantari: No Answer | Stanley Swat: DO NOT have relevant financial relationships | Mark Belkin: DO NOT have relevant financial relationships | Jonathan Grinstein: No Answer | Matthew Cochran: No Answer | Mary Acosta: No Answer | Justin Sipiora: No Answer | Maria Poonawalla: No Answer | Umar Siddiqi: No Answer | Ryan Hoang: DO NOT have relevant financial relationships | Anthony Kanelidis: DO NOT have relevant financial relationships | Leo Gozdecki: No Answer
Meeting Info:

Scientific Sessions 2024

2024

Chicago, Illinois

Session Info:

Cardiomyopathy Mayhem

Sunday, 11/17/2024 , 03:15PM - 04:20PM

Moderated Digital Poster Session

More abstracts on this topic:
A Cardiac Targeting Peptide Linked to miRNA106a Targets and Suppresses Genes Known to Cause Heart Failure: Reversing Heart Failure at the Source

Lu Ming, Deng Claire, Taskintuna Kaan, Ahern Gerard, Yurko Ray, Islam Kazi, Zahid Maliha, Gallicano Ian

Can Stress Echocardiography during Cardiopulmonary Exercise Testing Help Predict Clinical Outcomes in Right-Sided Congenital Heart Disease?

Dizon Samantha, Krishnamurthy Yamini, Kochav Jonathan, Lewis Matthew, Rosenbaum Marlon, Zemer Wassercug Noa

More abstracts from these authors:
Left-Sided and Right-Sided Composite Advanced Hemodynamic Metrics for Prognostication in Heart Failure

Obaoye Joanna, Belkin Mark, Grinstein Jonathan, Randazzo Michael, Kanelidis Anthony, Cochran Matthew, Acosta Mary, Sipiora Justin, Poonawalla Maria, Siddiqi Umar, Hoang Ryan

Myocardial Performance Score: A Novel Marker of Cardiac Power and Efficiency for Prognostication of Advanced Heart Failure

Randazzo Michael, Jeevanandam Valluvan, Kim Gene, Belkin Mark, Grinstein Jonathan, Kanelidis Anthony, Kalantari Sara, Smith Bryan, Nguyen Ann, Chung Bow, Swat Stanley, Sarswat Nitasha, Salerno Christopher

You have to be authorized to contact abstract author. Please, Login
Not Available