Logo

American Heart Association

  104
  0


Final ID: Mo3117

Ultrasonic Vaping Devices Heat at Lower Temperatures than Coiled E-Cigarettes, but can Cause Comparable Levels of Cardiac Fibrosis

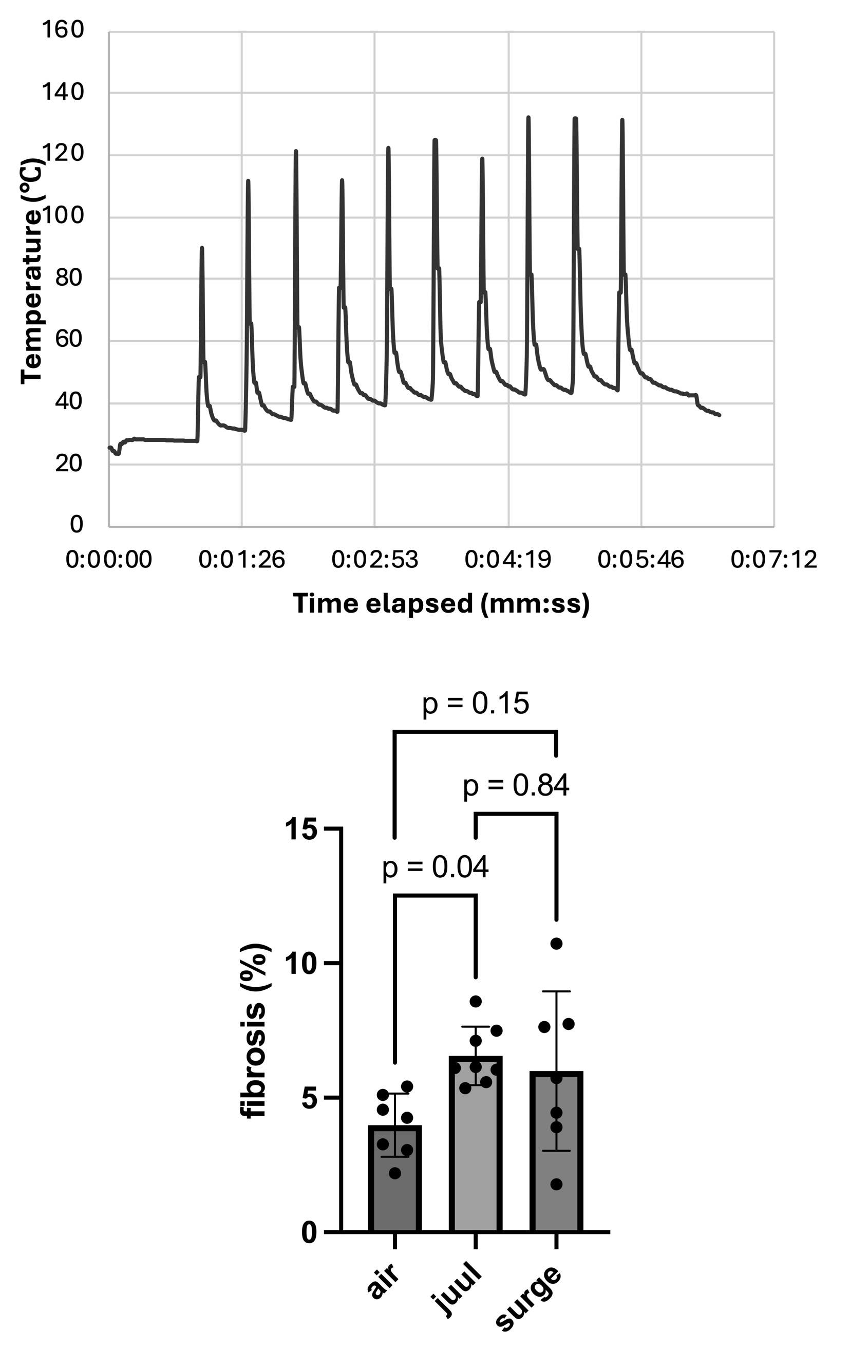
Abstract Body (Do not enter title and authors here): Background: Coil-less ultrasonic vaping devices like Surge use an ultrasonic chip that vibrates at several million Hz, aerosolizing the e-liquid. They are advertised as emitting significantly lower levels of toxins than coiled e-cigs by heating to lower temperatures that produce fewer chemical breakdown products. We tested the hypothesis that ultrasonic e-cigs cause less adverse cardiac effects than coiled e-cigs. Methods: We exposed 3 groups of conscious Sprague Dawley rats (n=8/group) to aerosol from JUUL (Virginia Tobacco 5% nicotine), Surge (Rich Tobacco 18 mg/ml nicotine), or air. Pulsatile exposure consisted of 10 consecutive cycles, each consisting of 2s exposure to aerosol followed by 28s of clean air, over 5 min, for 9 weeks using a Gram Research universal vaping machine. Hearts were then isolated, sectioned, and stained for left and right ventricular fibrosis with Sirius Red. Temperature profiles for the Surge ultrasonic vaping device were obtained at the California Department of Public Health (CDPH) via a single point thermocouple probe. Results: Temperature profiles of Surge during one session of aerosol production (with airflow) showed temperatures not exceeding 132 degrees Celsius. (We previously reported that the USONICIG Zip ultrasonic vaping device with air flow heated to ~77 degrees Celsius; reported temperatures of coiled e-cigs are up to 300 degrees Celsius.) Fibrosis was significantly increased in the JUUL group compared to air (p=0.04). Mean fibrosis in the Surge group was comparable to that in the JUUL group (p=0.84) and was higher than air fibrosis but did not reach significance (p=0.15), potentially due to high variability of Surge values. Conclusion: Temperature profiles of ultrasonic vaping devices are substantially lower than those of coiled vaping devices, with Surge being warmer than USONICIG Zip under airflow conditions. Despite lower temperatures, ultrasonic vaping devices cause a comparable level of cardiac fibrosis to conventional coiled vaping devices. Therefore, Surge does not avoid the increase in cardiac fibrosis that we have reported for coiled e-cigs and for smoke from tobacco or marijuana.
  • Goyal, Natasha  ( UCSF , San Francisco , California , United States )
  • Wang, Ping  ( California Department of Public Health , Richmond , California , United States )
  • Wang, Zhong-min  ( California Department of Public Health , Richmond , California , United States )
  • Kavuri, Maansa  ( UCSF , San Francisco , California , United States )
  • Derakhshandeh, Ronak  ( UCSF , San Francisco , California , United States )
  • Kumagai, Kazukiyo  ( California Department of Public Health , Richmond , California , United States )
  • Springer, Matthew  ( UCSF , San Francisco , California , United States )
  • Author Disclosures:
    Natasha Goyal: DO NOT have relevant financial relationships | Ping Wang: No Answer | Zhong-Min Wang: DO NOT have relevant financial relationships | Maansa Kavuri: No Answer | Ronak Derakhshandeh: No Answer | Kazukiyo Kumagai: No Answer | Matthew Springer: DO NOT have relevant financial relationships
Meeting Info:

Scientific Sessions 2024

2024

Chicago, Illinois

Session Info:

Substance Use and Cardiovascular Risk 2

Monday, 11/18/2024 , 01:30PM - 02:30PM

Abstract Poster Session

More abstracts on this topic:
Assessment of Adverse Left Ventricular Remodeling Following Ischemia Reperfusion Injury with SPECT Imaging Agent Targeting Fibroblast Activation Protein

Thorn Stephanie, Duncan James S, Spinale Francis, Luna Gutierrez Myrna, Ferro-flores Guillermina, Sinusas Albert, Porcaro Olivia, Burns Rachel, Zohora Fatema Tuj, Guerrera Nicole, Jang Sun-joo, Vermillion Billy, Lima Moroni, Liu Chi

Adipocyte Enhancer Binding Protein 1 (AEBP1) Inhibition as a Potential Anti-Fibrotic Therapy in Heart Failure

Shankar Thirupura S, Calder Dallen, Sachse Frank, Kyriakopoulos Christos, Maneta Eleni, Srinivasan Harini, Tseliou Eleni, Navankasattusas Sutip, Selzman Craig, Boudina Sihem, Seidel Thomas, Visker Joseph, Lavine Kory, Drakos Stavros, Amrute Junedh, Polishchuk Georgiy, Lunde J Ty, Ling Jing, Ferrin Peter, Hamouche Rana, Feigle Dominik

More abstracts from these authors:
Impairment of Vascular Endothelial Function by Inhalation of Smoke or Aerosol from Tobacco and Marijuana Products is Dependent on Vagus Nerve Input from the Airway

Wang Xiaoyin, Cheung Christian, Goyal Natasha, Punnati Chaitanya, Abdelaal Shadi, Derakhshandeh Ronak, Springer Matthew

Repeated Exposure to Tobacco Smoke/Aerosol Reduces Myocardial Tissue Preservation after Subsequent Acute Myocardial Infarction in Rats

Punnati Chaitanya, Wang Xiaoyin, Goyal Natasha, Parangan Alyssa, Mukunda Jayita, Tabibiazar Parmis, Tran Lam, Derakhshandeh Ronak, Springer Matthew

You have to be authorized to contact abstract author. Please, Login
Not Available