Logo

American Heart Association

  136
  0


Final ID: Su1144

Comparison of Short-Term Outcomes after Lower Extremity Bypass versus Peripheral Vascular Intervention in Patients with Chronic Limb-Threatening Ischemia and Diabetes Mellitus

Abstract Body (Do not enter title and authors here): Background: Comorbid diabetes mellitus (DM) is associated with worse outcomes in patients with chronic limb-threatening ischemia (CLTI). Both lower extremity bypass (LEB) and peripheral vascular interventions (PVI) have demonstrated improved outcomes in peripheral artery disease (PAD). However, comparative effectiveness data for LEB versus PVI in patients with CLTI and DM is limited.
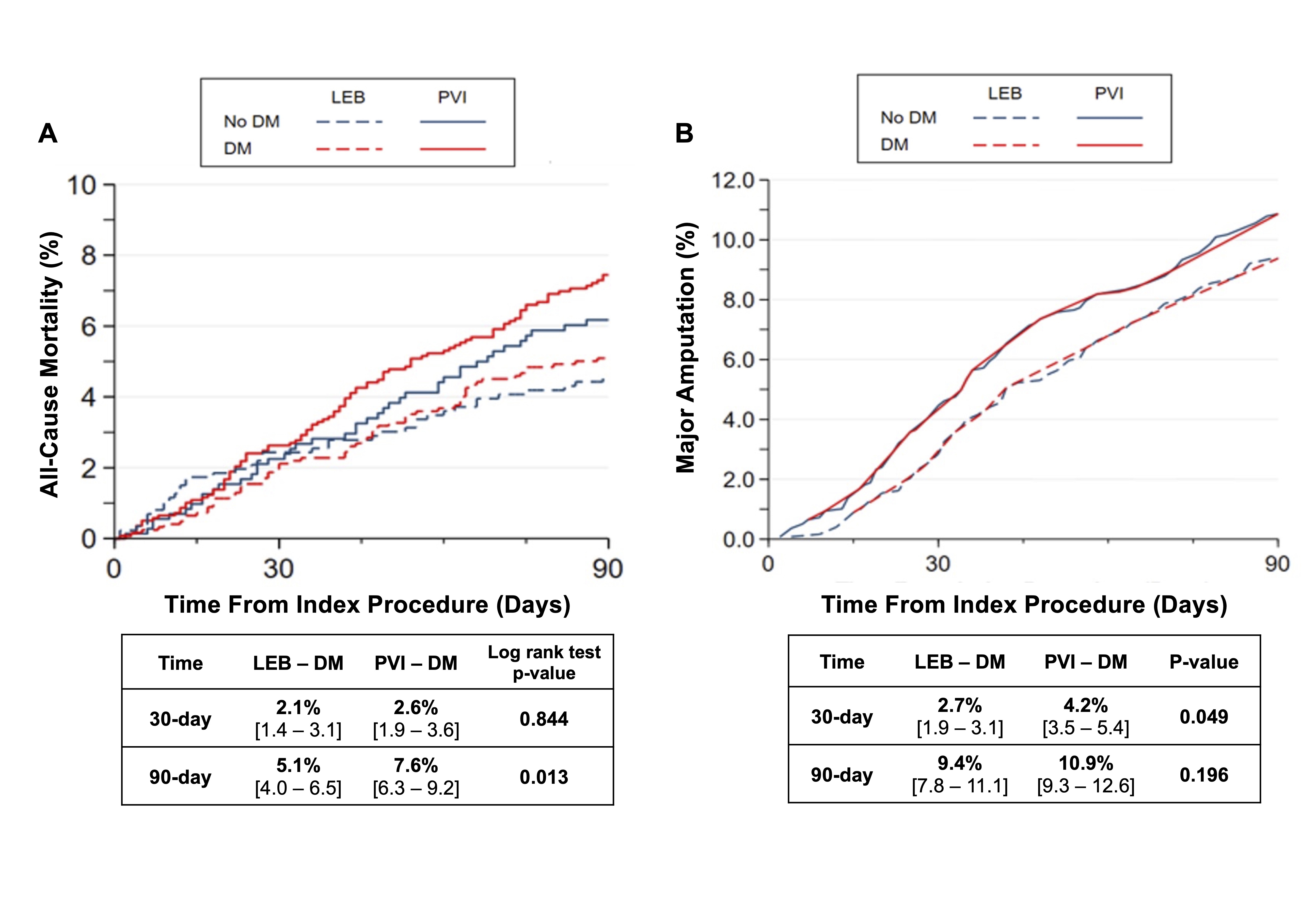
Objective: This study aimed to evaluate and compare 30-day and 90-day (1) all-cause mortality, and (2) major amputation rates among patients with CLTI and comorbid DM undergoing LEB versus PVI.
Methods: Patients undergoing LEB and PVI were identified from the Vascular Quality Initiative registry, linked with Medicare claims outcomes data. Propensity scores were generated using 12 variables, and a 1:1 matching method was employed. The 30-day and 90-day mortality risks for LEB versus PVI were evaluated using Kaplan-Meier survival analysis and Cox proportional hazards models, incorporating interaction terms for DM. For amputation outcomes, cumulative incidence functions and Fine-Gray competing risks models were employed, with interaction terms for DM included.
Results: Among 4,210 patients undergoing LEB or PVI (2,105 in each group), the mean age was 70.9 ± 10.9 years, with 69.3% being male and 76.4% white. DM was present in 62.3% (2,662 patients). In patients with DM, 30-day all-cause mortality rates were comparable between the LEB and PVI groups (2.1% vs. 2.6%; log-rank p-value=0.844). However, LEB was associated with significantly lower 90-day all-cause mortality rates compared to PVI (5.1% vs. 7.6%; log-rank p-value=0.013). Additionally, LEB was associated with a lower risk of 30-day major amputation rates compared to PVI (2.7% vs. 4.2%; p=0.049), though no significant difference was observed in 90-day major amputation rates (9.4% vs. 10.9%; p=0.196).
Conclusion: Among patients with CLTI and comorbid DM, LEB was associated with a lower risk of 30-day major amputation rates and 90-day all-cause mortality compared to PVI. These findings provide contemporary insights into the management of CLTI in diabetic patients, supporting informed shared decision-making for those often considered high-risk for surgical intervention.
  • Aggarwal, Abhinav  ( Yale University , New Haven , Connecticut , United States )
  • Romain, Gaelle  ( Yale University , New Haven , Connecticut , United States )
  • Callegari, Santiago  ( Yale University , New Haven , Connecticut , United States )
  • Cleman, Jacob  ( Yale University , New Haven , Connecticut , United States )
  • Smolderen, Kim  ( Yale University , New Haven , Connecticut , United States )
  • Mena-hurtado, Carlos  ( Yale University , New Haven , Connecticut , United States )
  • Author Disclosures:
    Abhinav Aggarwal: DO NOT have relevant financial relationships | Gaelle Romain: DO NOT have relevant financial relationships | Santiago Callegari: DO NOT have relevant financial relationships | Jacob Cleman: No Answer | Kim Smolderen: DO have relevant financial relationships ; Consultant:Terumo:Active (exists now) ; Consultant:Happify:Active (exists now) ; Research Funding (PI or named investigator):Philips:Active (exists now) ; Research Funding (PI or named investigator):Merck:Active (exists now) ; Research Funding (PI or named investigator):Abbott:Active (exists now) ; Research Funding (PI or named investigator):J&J:Active (exists now) ; Consultant:Cook:Active (exists now) | Carlos Mena-Hurtado: DO have relevant financial relationships ; Consultant:Cook:Active (exists now) ; Research Funding (PI or named investigator):Merck :Active (exists now) ; Research Funding (PI or named investigator):Abbott:Active (exists now) ; Research Funding (PI or named investigator):Shockwave:Active (exists now) ; Consultant:BD:Active (exists now)
Meeting Info:

Scientific Sessions 2024

2024

Chicago, Illinois

Session Info:

PVD Potpourri 2

Sunday, 11/17/2024 , 11:30AM - 12:30PM

Abstract Poster Session

More abstracts on this topic:
Antihypertensive Medication Prescription Patterns at Baseline in the LINKED-HEARTS Program: A Comparative Analysis with American Heart Association Guidelines

Adomako Nana Ofori, Chen Yuling, Demarco Samantha, Chepkorir Joyline, Owusu Nti Kezia, Slone Sarah, Commodore-mensah Yvonne, Himmelfarb Cheryl

A Contemporary Machine Learning-Based Risk Stratification for Mortality and Hospitalization in Heart Failure with Preserved Ejection Fraction Using Multimodal Real-World Data

Fudim Marat, Weerts Jerremy, Patel Manesh, Balu Suresh, Hintze Bradley, Torres Francisco, Micsinai Balan Mariann, Rigolli Marzia, Kessler Paul, Touzot Maxime, Lund Lars, Van Empel Vanessa, Pradhan Aruna, Butler Javed, Zehnder Tobias, Sauty Benoit, Esposito Christian, Balazard Félix, Mayer Imke, Hallal Mohammad, Loiseau Nicolas

More abstracts from these authors:
Association Between Diabetes and 5-year Mortality and Major Amputation Outcomes After Revascularization in Chronic Limb-threatening Ischemia

Callegari Santiago, Cleman Jacob, Rahman Mufti, Aggarwal Abhinav, Smolderen Kim, Mena-hurtado Carlos, Romain Gaelle

Association Between Guideline-directed Medical Therapy and Reintervention Risk at 2 Years Following Peripheral Vascular Interventions

Callegari Santiago, Cleman Jacob, Rahman Mufti, Capuano Isabella, Smolderen Kim, Mena-hurtado Carlos, Romain Gaelle

You have to be authorized to contact abstract author. Please, Login
Not Available